摘 要
随着互联网技术的不断发展,健康管理和中医药知识的普及也逐渐成为人们关注的焦点。为了更好地推广中医药文化并提供科学的健康养生指导,本论文设计并实现了一个基于Python的中医药科普网站,网站采用Django框架进行开发,数据存储和管理使用MySQL数据库,旨在为用户提供丰富的中医药知识、个性化的养生保健推荐以及便捷的互动交流平台。
本系统的主要功能包括普通用户和管理员两大模块。普通用户通过注册和登录功能可以访问首页、浏览中医知识和养生保健内容、获取个性化推荐、参与交流社区讨论、管理个人健康档案等。网站的个性化推荐功能基于用户行为数据,如点击、评论、收藏等,采用决策树算法进行智能推荐,帮助用户获得与其兴趣和健康需求相关的内容。
管理员则可以通过后台系统管理平台的各项内容,包括中医知识、养生保健、用户信息、留言反馈等。管理员还可以进行敏感词、公告、轮播图等管理操作,确保网站内容的合规性和及时性。此外,系统还具备健康档案、健康计划、体质类型等个性化健康管理功能,为用户提供全方位的健康管理服务。
本网站的设计与实现不仅为用户提供了一个便捷的中医药学习和健康管理平台,还为中医药知识的传播与普及提供了有效的技术支持。通过该平台,用户能够获得更科学、个性化的健康指导,促进了中医药文化的传承与创新。
关键词:中医药科普;Python;Django;MySQL;个性化推荐;健康管理
Abstract
With the continuous development of Internet technology, health management and the popularization of TCM knowledge have gradually become the focus of attention. In order to better promote traditional Chinese medicine culture and provide scientific guidance on health preservation, this paper designs and implements a Python based traditional Chinese medicine popularization website. The website is developed using the Django framework, and data storage and management are done using MySQL database. The aim is to provide users with rich knowledge of traditional Chinese medicine, personalized health recommendations, and a convenient interactive communication platform.
The main functions of this system include two modules: ordinary users and administrators. Ordinary users can access the homepage, browse traditional Chinese medicine knowledge and health care content, obtain personalized recommendations, participate in community discussions, and manage personal health records through registration and login functions. The personalized recommendation function of the website is based on user behavior data, such as clicks, comments, favorites, etc., using decision tree algorithm for intelligent recommendation, helping users obtain content related to their interests and health needs.
Administrators can manage various contents of the platform through the backend system, including traditional Chinese medicine knowledge, health care, user information, and feedback. Administrators can also perform management operations such as sensitive words, announcements, and slideshows to ensure the compliance and timeliness of website content. In addition, the system also has personalized health management functions such as health records, health plans, and physical fitness types, providing users with comprehensive health management services.
The design and implementation of this website not only provides users with a convenient platform for learning traditional Chinese medicine and health management, but also provides effective technical support for the dissemination and popularization of traditional Chinese medicine knowledge. Through this platform, users can receive more scientific and personalized health guidance, promoting the inheritance and innovation of traditional Chinese medicine culture.
Keywords: popular science of traditional Chinese medicine; Python; Django; MySQL; Personalized recommendation; Health management
目 录
1绪论
1.1 研究背景和意义
随着信息化时代的到来,互联网成为人们获取知识、交流思想的重要平台。在这种背景下,传统的中医药文化面临着传承与创新的双重挑战。中医药作为中华文化的重要组成部分,具有深厚的理论体系和丰富的治疗经验,但由于其专业性强、信息不对称等原因,普及和学习的难度较大。因此,开发一个便捷、高效的中医药科普平台,成为提升中医药文化传播的重要手段。
中医药作为一种独特的医学体系,不仅涉及到丰富的理论知识,还涵盖了药物、疗法、诊断等多个方面,学习和掌握中医药知识需要专业的教育和系统的学习。当前,传统中医药教育和知识传播渠道较为单一,难以满足日益增长的学习需求。借助互联网技术,能够实现信息的广泛传播和便捷获取。通过平台化的建设,结合现代技术手段,可以为大众提供更加科学、系统的中医药学习和健康管理服务,推动中医药文化的现代化转型。
随着健康管理逐渐成为社会关注的热点,越来越多的人开始重视中医药在养生保健中的作用。尤其是在疾病预防、体质调理和日常养护等方面,中医药理论提供了独特的思路和方法。然而,由于信息量庞大且碎片化,如何有效筛选和传播与用户健康需求相关的中医药知识,成为了一个重要的课题。通过设计一个功能全面的中医药科普网站,能够根据用户的健康状况、兴趣偏好等进行个性化推荐,帮助用户获取最合适的健康信息。
此外,网站的交互功能不仅能够让用户学习中医药知识,还能通过社区互动、评论、反馈等方式增加用户的参与感和归属感。平台的建设不仅有助于提高用户对中医药的认知,也为推广中医药文化提供了有力支持。在这种平台的支持下,用户不仅可以学习理论知识,还可以根据个人健康状况管理健康档案,定制健康计划,增强自我保健意识和能力。
通过Django框架和MySQL数据库的技术架构,可以有效实现网站的功能需求,保证数据的安全性和系统的高效运行。Django作为一种高度可扩展的Web框架,能够支持各种复杂的业务逻辑和数据管理需求,MySQL数据库则提供了稳定的存储和查询支持,确保了系统的稳定性和可靠性。
在社会对中医药文化重视程度日益提升的今天,设计和实现这样一个基于Python的中医药科普网站,不仅能够促进中医药文化的传承,也能够为用户提供科学的健康管理工具,推动健康养生理念的普及。这一平台的建设,不仅是对中医药知识传播形式的一种创新,也是对现代健康管理需求的一种回应,有助于提高公众的整体健康水平。
1.2 国内外研究现状
随着互联网技术的发展,越来越多的领域开始通过网络平台进行知识的普及和教育。在中医药领域,国内外也出现了许多相关的研究与应用,旨在利用现代技术推动中医药知识的传播和健康管理的普及。近年来,基于Web平台的中医药科普网站逐渐成为了传播中医药文化和健康知识的有效方式,尤其是在国内,随着健康意识的提高和中医药文化的复兴,相关的研究和应用得到了广泛关注。
在国内,中医药科普网站的研究主要集中在中医药知识的整理、展示和传播方面。许多学者提出了通过互联网平台传播中医药知识的可行性与必要性,研究内容涉及中医药知识体系的结构化、信息化管理等问题。通过建立中医药科普网站,能够有效将传统的中医药理论与现代网络技术相结合,达到知识共享与传播的目的。此外,国内不少机构和企业也积极开展相关平台的建设,如中医药知识数据库的搭建、在线中医咨询和健康管理服务等,通过Web平台为大众提供更多元的中医药服务。
在技术层面,国内的中医药科普网站设计与实现中,Django框架和MySQL数据库的应用逐渐得到广泛的认可。Django因其高效的开发效率和完善的功能模块,成为中医药科普平台开发中的常用技术栈,MySQL则在数据存储与管理方面表现出色,能够高效处理大量用户数据和内容信息。在一些具体案例中,Django被用来构建网站的前后端逻辑,MySQL则承担着存储用户数据、健康档案、知识库信息等任务,二者的结合提高了系统的稳定性和响应速度。
在国外,类似的中医药科普网站多聚焦于中医药在全球范围内的推广,尤其是在欧美等地区,研究者和开发者多通过在线平台向外国受众介绍中医药的基本理论、常见治疗方法以及养生保健的知识。随着全球健康意识的提升,中医药被越来越多的非中国籍民众所接受,许多在线平台开始专注于中医药的科普与教育。国外的一些平台除了提供中医药知识的基础信息外,还通过与医生在线互动、定制化的健康建议等方式,帮助用户更好地了解和应用中医药理论。
然而,国外的中医药科普平台在技术实现上与国内相似,也大量采用Web技术进行信息的展示和管理。例如,部分网站使用PHP、Node.js等技术来实现前端展示与后端数据处理,同时利用数据库进行信息存储。尽管技术路径有所不同,但都依赖于强大的数据库支持和清晰的功能模块设计,以确保用户能够获得准确、及时的信息。
总体而言,国内外在中医药科普网站的研究和应用方面已有一定成果,技术应用逐渐成熟。Django和MySQL作为Web开发中常见的技术栈,已经在中医药领域的相关平台中得到广泛应用。随着技术的不断进步,未来中医药科普网站有望更好地满足用户需求,提升中医药知识的普及效率和准确性。同时,随着人们健康意识的提高,线上中医药服务的需求将不断增长,这也促使了更多中医药科普平台的开发与研究。
1.3 论文组成结构
第一章是绪论,本文章的开头部分,对本题目的研究背景和意义及研究现状等一些做文字性的描述。
第二章研究了基于Python的中医药科普网站的所采用的开发技术和开发工具。
第三章是系统分析部分,包括系统总体需求描述、功能性角度分析系统需求、非功能性等各个方面分析系统是否可以实现。
第四章是系统设计部分,本文章的重要部分,提供了系统架构的详细设计和一些主要功能模块的设计说明。
第五章是系统的具体实现,介绍系统的各个模块的具体实现。
第六章在前几章的基础上对系统进行测试和运行。
最后对系统进行了认真的总结,以此对未来有一个新的展望。
2开发工具及相关技术介绍
2.1 B/S体系工作原理
B/S(Browser/Server)架构是一种基于浏览器和服务器的应用架构模式。它以Web浏览器作为客户端,服务器端通过Web技术提供应用服务。客户端通过浏览器与服务器进行交互,用户无需安装专门的客户端应用程序,只需要通过互联网连接即可访问应用程序[1]。在B/S架构中,客户端主要承担用户界面的呈现和基本的输入输出功能,而核心的业务处理、数据存储等操作则由服务器端完成。这种架构的核心优势在于无需在每个客户端机器上安装或更新软件,只要用户的浏览器符合要求,就可以使用系统。
B/S(Browser/Server)架构是一种网络架构模型,其主要特点是客户端通过浏览器与服务器进行通信,所有的业务逻辑和数据处理都在服务器端完成,客户端仅负责展示数据[2]。B/S架构本质上是一种客户端-服务器模式的变体,它通过将传统的C/S(Client/Server)架构中的客户端功能移到浏览器中,简化了客户端的开发和维护工作。在B/S架构中,用户通过浏览器发送请求,浏览器负责展示从服务器获取的数据,服务器则处理请求并返回响应。该架构避免了安装和配置客户端软件的麻烦,也减少了对客户端硬件的依赖,适合于需要大规模部署和跨平台支持的应用系统。
2.2 Django框架介绍
Django是高水准的Python编程语言驱动的一个开源模型.视图,控制器风格的Web应用程序框架,它起源于开源社区。使用这种架构,程序员可以方便、快捷地创建高品质、易维护、数据库驱动的应用程序。这也正是OpenStack的Horizon组件采用这种架构进行设计的主要原因[3]。另外,在Django框架中,还包含许多功能强大的第三方插件,使得Django具有较强的可扩展性[4]。Django 项目源自一个在线新闻 Web 站点,于 2005 年以开源的形式被释放出来。Django 框架的核心组件有:
(1)用于创建模型的对象关系映射;
(2)为最终用户设计较好的管理界面;
(3)URL 设计;
(4)设计者友好的模板语言;
(5)缓存系统。
Django(发音:[`dʒæŋɡəʊ]) 是用python语言写的开源web开发框架(open source web framework),它鼓励快速开发,并遵循MVC设计。Django遵守BSD版权,初次发布于2005年7月, 并于2008年9月发布了第一个正式版本1.0 。
Django 根据比利时的爵士音乐家Django Reinhardt命名,他是一个吉普赛人,主要以演奏吉它为主,还演奏过小提琴等。
由于Django在近年来的迅速发展,应用越来越广泛,被著名IT开发杂志SD Times评选为2013 SD Times 100,位列“API、库和框架”分类第6位,被认为是该领域的佼佼者。
2.3Vue技术
Vue.js是一款用于构建用户界面的渐进式JavaScript框架,提供一种灵活而高效的方式来开发单页面应用(SPA)。Vue的设计理念是通过尽量简化开发过程,提供一种声明式的方式来构建用户界面[5]。Vue.js通过数据驱动的视图模型,允许开发者以声明式语法绑定数据与视图,使得应用的状态和界面表现更加简洁和可维护。它的核心思想是通过组件化开发将复杂的UI拆分为可重用的独立模块,从而提升了代码的模块化、可维护性和可扩展性。
Vue.js具备响应式数据绑定和虚拟DOM的特性。响应式数据绑定意味着当数据变化时,Vue会自动更新与之绑定的DOM元素,从而实现视图的实时更新。虚拟DOM则是Vue.js的一种优化手段,通过将对DOM的操作抽象为一个虚拟的DOM树来提高性能,减少实际DOM操作的开销[6]。Vue还提供了丰富的插件和工具,如Vue Router用于路由管理,Vuex用于状态管理,方便开发者构建复杂的前端应用。Vue的灵活性和简洁性使其成为现代Web开发中常用的前端框架之一。
2.4 MySQL数据库
MySQL是一种开源的关系型数据库管理系统(RDBMS),基于SQL(结构化查询语言)进行数据操作。作为一个被广泛使用的数据库系统,MySQL具有高度的性能、可扩展性和可靠性。MySQL使用表格结构来存储数据,每个表由多个列和行组成,数据通过SQL查询语言进行操作[7]。MySQL支持多种数据类型,如整数、浮动小数、字符串、日期等,以满足不同应用场景对数据存储的需求。在实际应用中,MySQL通常用于存储和管理结构化数据,通过索引、视图、触发器等功能提升数据查询的效率和数据的完整性。
MySQL支持ACID事务特性(原子性、一致性、隔离性、持久性),确保数据库操作的可靠性和数据的一致性。它还支持多种存储引擎,其中InnoDB是最常用的存储引擎,具备事务支持、行级锁定和外键约束等特性,适用于高并发、高可靠性的数据存储需求。MySQL可以通过主从复制、分区和分库分表等技术实现横向扩展,以应对大规模数据存储和高负载的应用需求。MySQL还具有灵活的权限管理机制,支持用户角色管理、细粒度的权限控制等,保障数据的安全性。
2.5python语言
Python是一种简洁易读、跨平台且功能强大的编程语言。它拥有庞大而活跃的社区,提供了丰富的第三方库和框架,如NumPy、Pandas和Django,使开发人员能够快速构建各种应用程序。Python在数据处理和科学计算方面表现出色,通过相关库和工具,可以进行数据分析、机器学习和科学计算等任务。此外,Python广泛应用于Web开发、自动化脚本、网络爬虫等领域,其多样性使其成为一个全能的编程语言。无论你是初学者还是有经验的开发者,Python的简单语法、跨平台性以及强大的社区支持都能为你提供高效、优雅和可靠的编程体验。总之,Python是一个强大而灵活的编程语言,深受开发人员喜爱,并在各个领域得到广泛应用。
3系统分析
3.1 可行性分析
在软件开发的过程中,可行性分析是至关重要的,它旨在评估问题的可行性,以便尽可能快地解决,同时也要考虑到不同的解决方案的优势和劣势,以及实施这些方案所带来的经济效益。通过对基于Python的中医药科普网站的可行性分析,我们可以从技术、操作和经济三个方面来评估其可行性,从而为其提供有效的支持和保障。
3.1.1 技术可行性
系统采用Python语言、Django框架和MySQL数据库构建系统具有较高的可行性。Python作为流行的编程语言,具有强大的生态系统和丰富的库支持,适合快速开发和易维护。Django框架提供了快速开发和强大功能,可加快系统搭建速度,而MySQL作为稳定可靠的数据库,能够满足系统的数据存储和管理需求,保证数据安全和稳定性。
3.1.2 经济可行性
基于Python的中医药科普网站的开发主要依赖于Django框架、Python编程语言和MySQL数据库,这些技术都具备良好的开源特性,能够有效降低软件许可费用。系统的硬件需求相对较低,主要包括服务器和存储设备。选择云服务提供商可以降低初期投资,并根据实际使用情况灵活调整资源,进一步提升经济效益。
3.1.3 操作可行性
基于Python的中医药科普网站在操作可行性方面具备显著优势。系统采用用户友好的界面设计,使得用户能够轻松地进行操作,无需具备专业的技术背景。同时,系统支持多种设备访问,包括电脑、手机和平板等,满足用户在不同场景下的使用需求。此外,系统还提供了详细的操作指南,帮助用户快速掌握使用技巧,解决在使用过程中遇到的问题。因此,基于Python的中医药科普网站 在操作层面是完全可行的。
3.2 功能需求分析
中医药科普网站的设计与实现主要基于Python、Django、MySQL等技术,旨在为用户提供丰富的中医药知识、个性化的养生保健推荐以及便捷的互动交流平台。系统分为用户端和管理员端,各自具备不同的功能。
1.普通用户功能分析
登录与注册功能:用户可以通过注册账户并进行登录,系统会根据用户的注册信息来提供个性化服务。登录注册不仅是身份认证的手段,还为后续的个性化推荐、行为数据统计提供基础。
首页功能:首页是用户进入网站后的第一站,设计合理的首页结构能极大地提高用户体验。系统基于用户的兴趣和行为数据(如点击、评论、收藏、点赞等),通过决策树算法推荐相关的中医知识和养生保健信息。系统根据用户的历史行为来分析其兴趣点,为用户提供更相关的文章或信息。
交流社区:用户可以在社区中发帖、回复、评论,与其他用户分享健康经验,讨论中医药相关内容。社区的设计应保证用户可以轻松参与讨论和获取信息,同时也能参与到某些知识分享和互动中。
网站公告:网站公告模块用于发布平台的最新信息,如活动通知、系统更新、合作信息等,确保用户获取到网站的重要信息和通知。
新闻资讯:提供最新的中医药相关新闻、资讯以及行业动态,帮助用户了解相关的行业发展趋势和最新的健康信息。
中医知识:提供详细的中医药知识,如中药介绍、常见的治疗方法、诊疗技术等,用户可以通过此模块了解更多专业的中医药知识。
养生保健:该模块提供与健康、养生、饮食、运动等相关的内容,旨在提高用户的整体健康素养。
我的账户与个人中心:用户可以在个人中心管理自己的账户信息,并查看健康相关的资料。主要包括:
个人首页:显示用户的基本信息以及最新的活动记录。
健康档案:记录用户的健康信息,如体检报告、健康状况等。
健康计划:为用户定制个性化的健康计划,帮助其按计划管理健康。
情况反馈:用户可以提交健康反馈,系统会根据反馈内容为用户提供进一步的指导。
在线留言:用户可以通过留言功能与网站管理员进行沟通,反馈问题或提出建议。
收藏与评论管理:用户可以收藏感兴趣的内容并对其进行评论,以便后续查看和讨论。
2.管理员功能分析
后台首页:后台首页是管理员管理和查看平台各项功能的核心界面,提供对系统各项管理功能的快速访问。
系统用户管理:管理员可以查看和管理平台的所有用户信息,进行用户的权限控制、禁用账户、删除账户等操作,保障系统的安全性和用户的正常体验。
知识分类管理:中医药知识的分类管理功能允许管理员对知识内容进行分类和整理,便于用户更快捷地查找所需知识。
中医知识管理:管理员可以对平台上的中医药相关知识进行增、删、改操作,确保内容的更新和质量。包括文章内容的审核、编辑和发布等。
内容标签管理:该功能允许管理员为中医知识、养生保健等内容设置标签,帮助用户更快速地找到相关内容。
养生保健管理:管理员可以对养生保健内容进行管理,包括添加新的健康养生建议、删除过时的内容、更新信息等。
体质类型管理:中医理论中提到不同的体质类型,管理员可以管理并更新体质类型的相关信息,为用户提供更加个性化的健康推荐。
健康档案管理:管理员有权限查看和管理用户的健康档案数据,保障数据的安全性,并根据需要为用户提供健康建议或信息。
健康计划管理:管理员可以定制和管理用户的健康计划,确保每个用户根据个人情况得到合适的健康指导。
情况反馈管理:管理员可以查看用户提交的健康反馈,并根据反馈内容进行相应处理,进一步完善用户体验和服务。
轮播图管理:该功能允许管理员管理网站首页的轮播图内容,确保展示最新的广告或重要信息。
敏感词管理:为保障平台内容的合规性和安全性,管理员可以管理敏感词,防止不适当内容的发布。
留言管理:管理员可以查看和回复用户在平台上留下的留言,及时解决用户问题并进行沟通。
网站公告管理:管理员可以编辑、发布、删除网站公告,确保用户能够及时获得平台的重要通知。
资源管理:管理员可以管理平台的新闻资讯模块,发布新的行业新闻、资讯等,并对资讯进行分类管理,确保信息更新及时。
交流管理:管理员可以管理平台的交流社区,包括删除不当言论、维护社区秩序、分类管理社区帖子等。
权限管理:该功能允许管理员设置不同的用户角色及权限,确保各类用户只能访问和操作自己有权限的内容,保障系统安全。
通过以上分析,可以看出该中医药科普网站设计与实现的功能布局非常全面,不仅涵盖了普通用户所需的中医药知识、健康养生内容、互动交流功能,还包括了管理员所需的各种管理功能。这些功能的实现将为用户提供更加便捷的中医药科普服务,并促进中医药知识的传播和用户的健康管理。
根据以上功能需求,得出以下用例图,普通用户用例图如下所示。

图3-1 普通用户用例图
管理员用例图如下所示。

图3-2 管理员用例图
3.3 系统操作流程
3.3.1信息添加流程
用户登录系统后,选择要添加的信息类型,填写相应的信息表单并提交。系统对信息进行处理,并给予用户反馈结果。用户可以根据需要返回上级页面或继续操作。

图3-3信息添加流程图
3.3.2信息删除流程
用户登录系统后,导航至相应的信息管理功能入口。选择要删除的信息,并确认删除操作。系统进行删除处理,并给予用户反馈结果。用户可以根据需要返回上级页面或继续操作。

图3-4信息删除流程图
3.4本章小结
本章对基于Python的中医药科普网站的需求进行了详细分析和总结。用户和管理员各有不同的模块和功能。系统操作流程简单易懂,用户通过登录系统,选择功能入口,填写或选择相应信息,并提交操作。系统进行处理并反馈结果,用户可返回上级页面或继续操作。这些需求分析为后续系统设计和实现提供了基础。
4系统设计
4.1 系统架构设计
基于Python的中医药科普网站的架构设计包括客户端、服务器端、第三方集成、安全性和权限控制、扩展性和性能优化、高可用性和容错性等方面。客户端通过Web浏览器或移动应用程序访问系统,而服务器端负责接收和处理请求,并提供功能和数据。系统采用分层架构,包括表现层、业务逻辑层、数据访问层和数据库。同时,系统需考虑与其他系统的集成、安全性和权限控制、扩展性和性能优化、高可用性和容错性等方面的问题。这样的架构设计将确保系统的稳定性、可扩展性和安全性,为用户提供稳定、高效的使用体验。系统架构图如下图所示。

图4-1 系统架构图
4.2 系统功能结构
系统功能结构是将一个系统的各种功能以有组织、结构化的方式描述和组织的过程。它涉及系统中不同组成部分之间的相互关系和交互作用,以及它们如何协同实现整体目标。系统功能结构对于确保系统正常运行和高效性至关重要。通常,系统功能结构包括功能模块、数据流、控制流和界面等几个方面。功能模块是实现特定功能的基本单元,通过数据流进行信息交换,并受到控制流的调度和控制。数据流描述了系统中信息的传递和处理过程,可以是模块间的数据传输或输入输出之间的数据传递。系统的功能结构图如下所示。

图4-2 系统功能结构图
4.3 数据库设计
数据库设计是指在构建和组织数据库系统时,根据实际需求和目标,进行数据模型的设计和规划的过程。它涉及到确定数据库中的表、字段、关系以及约束等方面的设计决策。
4.3.1 数据库实体设计
数据库实体设计是数据库设计的关键步骤,对实际业务逻辑中涉及的实体及其属性进行抽象建模,明确系统中的主要信息对象及其关系[8]。在实体设计中,根据需求分析确定系统的核心实体,如用户、角色、权限等,提取实体的主要属性,如用户的ID、姓名、联系方式,名称、类型等,同时定义各实体之间的关系,包括一对一、一对多、多对多等。在设计过程中,注重实体的完整性、规范性和唯一性,确保设计能够满足系统功能需求,并为后续的表设计提供清晰的结构框架。实体设计需遵循数据库设计的标准化要求,避免数据冗余和不必要的复杂度。
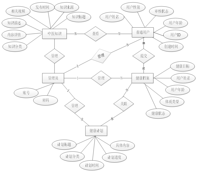
下面是整个系统中主要的数据库表总E-R实体关系图。

图4-3 系统E-R图
4.3.2 数据库表设计
数据库表设计基于实体设计,将抽象的实体映射为具体的表结构。设计过程中,为每个实体定义表名、字段名及数据类型[9]。根据业务需求,合理定义主键、外键及约束条件,确保表之间的关联性,例如通过外键建立用户表和角色表之间的关系。表设计时注重数据存储的完整性、一致性,并通过索引优化查询效率,最终确保数据库结构能够支持系统的功能需求。以下是系统的数据库表设计展示。
表 4-1-access_token(登陆访问时长)
| 编号 | 字段名 | 类型 | 长度 | 是否非空 | 是否主键 | 注释 |
| 1 | token_id | int | 是 | 是 | 临时访问牌ID | |
| 2 | token | varchar | 64 | 否 | 否 | 临时访问牌 |
| 3 | info | text | 65535 | 否 | 否 | 信息 |
| 4 | maxage | int | 是 | 否 | 最大寿命:默认2小时 | |
| 5 | create_time | timestamp | 是 | 否 | 创建时间 | |
| 6 | update_time | timestamp | 是 | 否 | 更新时间 | |
| 7 | user_id | int | 是 | 否 | 用户编号 |
表 4-2-article(文章)
| 编号 | 字段名 | 类型 | 长度 | 是否非空 | 是否主键 | 注释 |
| 1 | article_id | mediumint | 是 | 是 | 文章id | |
| 2 | title | varchar | 125 | 是 | 是 | 标题 |
| 3 | type | varchar | 64 | 是 | 否 | 文章分类 |
| 4 | hits | int | 是 | 否 | 点击数 | |
| 5 | praise_len | int | 是 | 否 | 点赞数 | |
| 6 | create_time | timestamp | 是 | 否 | 创建时间 | |
| 7 | update_time | timestamp | 是 | 否 | 更新时间 | |
| 8 | source | varchar | 255 | 否 | 否 | 来源 |
| 9 | url | varchar | 255 | 否 | 否 | 来源地址 |
| 10 | tag | varchar | 255 | 否 | 否 | 标签 |
| 11 | content | longtext | 4294967295 | 否 | 否 | 正文 |
| 12 | img | varchar | 255 | 否 | 否 | 封面图 |
| 13 | description | text | 65535 | 否 | 否 | 文章描述 |
表 4-3-article_type(文章分类)
| 编号 | 字段名 | 类型 | 长度 | 是否非空 | 是否主键 | 注释 |
| 1 | type_id | smallint | 是 | 是 | 分类ID | |
| 2 | display | smallint | 是 | 否 | 显示顺序 | |
| 3 | name | varchar | 16 | 是 | 否 | 分类名称 |
| 4 | father_id | smallint | 是 | 否 | 上级分类ID | |
| 5 | description | varchar | 255 | 否 | 否 | 描述 |
| 6 | icon | text | 65535 | 否 | 否 | 分类图标 |
| 7 | url | varchar | 255 | 否 | 否 | 外链地址 |
| 8 | create_time | timestamp | 是 | 否 | 创建时间 | |
| 9 | update_time | timestamp | 是 | 否 | 更新时间 |
表 4-4-auth(用户权限管理)
| 编号 | 字段名 | 类型 | 长度 | 是否非空 | 是否主键 | 注释 |
| 1 | auth_id | int | 是 | 是 | 授权ID | |
| 2 | user_group | varchar | 64 | 否 | 否 | 用户组 |
| 3 | mod_name | varchar | 64 | 否 | 否 | 模块名 |
| 4 | table_name | varchar | 64 | 否 | 否 | 表名 |
| 5 | page_title | varchar | 255 | 否 | 否 | 页面标题 |
| 6 | path | varchar | 255 | 否 | 否 | 路由路径 |
| 7 | parent | varchar | 64 | 否 | 否 | 父级菜单 |
| 8 | parent_sort | int | 是 | 否 | 父级菜单排序 | |
| 9 | position | varchar | 32 | 否 | 否 | 位置 |
| 10 | mode | varchar | 32 | 是 | 否 | 跳转方式 |
| 11 | add | tinyint | 是 | 否 | 是否可增加 | |
| 12 | del | tinyint | 是 | 否 | 是否可删除 | |
| 13 | set | tinyint | 是 | 否 | 是否可修改 | |
| 14 | get | tinyint | 是 | 否 | 是否可查看 | |
| 15 | field_add | text | 65535 | 否 | 否 | 添加字段 |
| 16 | field_set | text | 65535 | 否 | 否 | 修改字段 |
| 17 | field_get | text | 65535 | 否 | 否 | 查询字段 |
| 18 | table_nav_name | varchar | 500 | 否 | 否 | 跨表导航名称 |
| 19 | table_nav | varchar | 500 | 否 | 否 | 跨表导航 |
| 20 | option | text | 65535 | 否 | 否 | 配置 |
| 21 | create_time | timestamp | 是 | 否 | 创建时间 | |
| 22 | update_time | timestamp | 是 | 否 | 更新时间 |
表 4-5-code_token(验证码)
| 编号 | 字段名 | 类型 | 长度 | 是否非空 | 是否主键 | 注释 |
| 1 | code_token_id | int | 是 | 是 | 验证码ID | |
| 2 | token | varchar | 255 | 否 | 否 | 令牌 |
| 3 | code | varchar | 255 | 否 | 否 | 验证码 |
| 4 | expire_time | timestamp | 是 | 否 | 失效时间 | |
| 5 | create_time | timestamp | 是 | 否 | 创建时间 | |
| 6 | update_time | timestamp | 是 | 否 | 更新时间 |
表 4-6-collect(收藏)
| 编号 | 字段名 | 类型 | 长度 | 是否非空 | 是否主键 | 注释 |
| 1 | collect_id | int | 是 | 是 | 收藏ID | |
| 2 | user_id | int | 是 | 是 | 收藏人ID | |
| 3 | source_table | varchar | 255 | 否 | 否 | 来源表 |
| 4 | source_field | varchar | 255 | 否 | 否 | 来源字段 |
| 5 | source_id | int | 是 | 否 | 来源ID | |
| 6 | title | varchar | 255 | 否 | 否 | 标题 |
| 7 | img | varchar | 255 | 否 | 否 | 封面 |
| 8 | create_time | timestamp | 是 | 否 | 创建时间 | |
| 9 | update_time | timestamp | 是 | 否 | 更新时间 |
表 4-7-comment(评论)
| 编号 | 字段名 | 类型 | 长度 | 是否非空 | 是否主键 | 注释 |
| 1 | comment_id | int | 是 | 是 | 评论ID | |
| 2 | user_id | int | 是 | 是 | 评论人ID | |
| 3 | reply_to_id | int | 是 | 否 | 回复评论ID | |
| 4 | content | longtext | 4294967295 | 否 | 否 | 内容 |
| 5 | nickname | varchar | 255 | 否 | 否 | 昵称 |
| 6 | avatar | varchar | 255 | 否 | 否 | 头像地址 |
| 7 | create_time | timestamp | 是 | 否 | 创建时间 | |
| 8 | update_time | timestamp | 是 | 否 | 更新时间 | |
| 9 | source_table | varchar | 255 | 否 | 否 | 来源表 |
| 10 | source_field | varchar | 255 | 否 | 否 | 来源字段 |
| 11 | source_id | int | 是 | 否 | 来源ID |
表 4-8-content_tags(内容标签)
| 编号 | 字段名 | 类型 | 长度 | 是否非空 | 是否主键 | 注释 |
| 1 | content_tags_id | int | 是 | 是 | 内容标签ID | |
| 2 | tag_name | varchar | 64 | 否 | 否 | 标签名称 |
| 3 | create_time | datetime | 是 | 否 | 创建时间 | |
| 4 | update_time | timestamp | 是 | 否 | 更新时间 |
表 4-9-forum(论坛)
| 编号 | 字段名 | 类型 | 长度 | 是否非空 | 是否主键 | 注释 |
| 1 | forum_id | mediumint | 是 | 是 | 论坛ID | |
| 2 | display | smallint | 是 | 否 | 排序 | |
| 3 | user_id | mediumint | 是 | 否 | 用户ID | |
| 4 | nickname | varchar | 16 | 否 | 否 | 昵称 |
| 5 | praise_len | int | 否 | 否 | 点赞数 | |
| 6 | hits | int | 是 | 否 | 访问数 | |
| 7 | title | varchar | 125 | 是 | 否 | 标题 |
| 8 | keywords | varchar | 125 | 否 | 否 | 关键词 |
| 9 | description | varchar | 255 | 否 | 否 | 描述 |
| 10 | url | varchar | 255 | 否 | 否 | 来源地址 |
| 11 | tag | varchar | 255 | 否 | 否 | 标签 |
| 12 | img | text | 65535 | 否 | 否 | 封面图 |
| 13 | content | longtext | 4294967295 | 否 | 否 | 正文 |
| 14 | create_time | timestamp | 是 | 否 | 创建时间 | |
| 15 | update_time | timestamp | 是 | 否 | 更新时间 | |
| 16 | avatar | varchar | 255 | 否 | 否 | 发帖人头像 |
| 17 | type | varchar | 64 | 是 | 否 | 论坛分类 |
| 18 | istop | int | 是 | 否 | 是否置顶 |
表 4-10-forum_type(论坛分类)
| 编号 | 字段名 | 类型 | 长度 | 是否非空 | 是否主键 | 注释 |
| 1 | type_id | smallint | 是 | 是 | 分类ID | |
| 2 | name | varchar | 16 | 是 | 否 | 分类名称 |
| 3 | description | varchar | 255 | 否 | 否 | 描述 |
| 4 | url | varchar | 255 | 否 | 否 | 外链地址 |
| 5 | father_id | smallint | 是 | 否 | 上级分类ID | |
| 6 | icon | varchar | 255 | 否 | 否 | 分类图标 |
| 7 | create_time | timestamp | 是 | 否 | 创建时间 | |
| 8 | update_time | timestamp | 是 | 否 | 更新时间 |
表 4-11-health_plan(健康计划)
| 编号 | 字段名 | 类型 | 长度 | 是否非空 | 是否主键 | 注释 |
| 1 | health_plan_id | int | 是 | 是 | 健康计划ID | |
| 2 | user_account | int | 否 | 否 | 用户账户 | |
| 3 | user_name | varchar | 64 | 否 | 否 | 用户姓名 |
| 4 | health_goals | varchar | 64 | 否 | 否 | 健康目标 |
| 5 | plan_title | varchar | 64 | 否 | 否 | 计划标题 |
| 6 | plan_classification | varchar | 64 | 否 | 否 | 计划分类 |
| 7 | planned_time | datetime | 否 | 否 | 计划时间 | |
| 8 | plan_progress | varchar | 64 | 是 | 否 | 计划进度 |
| 9 | concrete_content | longtext | 4294967295 | 否 | 否 | 具体内容 |
| 10 | situation_feedback_limit_times | int | 是 | 否 | 情况反馈限制次数 | |
| 11 | create_time | datetime | 是 | 否 | 创建时间 | |
| 12 | update_time | timestamp | 是 | 否 | 更新时间 | |
| 13 | source_table | varchar | 255 | 否 | 否 | 来源表 |
| 14 | source_id | int | 否 | 否 | 来源ID | |
| 15 | source_user_id | int | 否 | 否 | 来源用户 |
表 4-12-health_preservation_and_health_care(养生保健)
| 编号 | 字段名 | 类型 | 长度 | 是否非空 | 是否主键 | 注释 |
| 1 | health_preservation_and_health_care_id | int | 是 | 是 | 养生保健ID | |
| 2 | title_name | varchar | 64 | 否 | 否 | 标题名称 |
| 3 | knowledge_classification | varchar | 64 | 否 | 否 | 知识分类 |
| 4 | content_tags | varchar | 64 | 否 | 否 | 内容标签 |
| 5 | cover_photo | varchar | 255 | 否 | 否 | 封面图片 |
| 6 | release_time | datetime | 否 | 否 | 发布时间 | |
| 7 | tutorial_video | varchar | 255 | 否 | 否 | 教程视频 |
| 8 | function_description | text | 65535 | 否 | 否 | 功效描述 |
| 9 | matters_needing_attention | text | 65535 | 否 | 否 | 注意事项 |
| 10 | details_introduction | longtext | 4294967295 | 否 | 否 | 详情介绍 |
| 11 | hits | int | 是 | 否 | 点击数 | |
| 12 | praise_len | int | 是 | 否 | 点赞数 | |
| 13 | collect_len | int | 是 | 否 | 收藏数 | |
| 14 | comment_len | int | 是 | 否 | 评论数 | |
| 15 | recommend | int | 是 | 否 | 智能推荐 | |
| 16 | create_time | datetime | 是 | 否 | 创建时间 | |
| 17 | update_time | timestamp | 是 | 否 | 更新时间 |
表 4-13-health_records(健康档案)
| 编号 | 字段名 | 类型 | 长度 | 是否非空 | 是否主键 | 注释 |
| 1 | health_records_id | int | 是 | 是 | 健康档案ID | |
| 2 | user_account | int | 否 | 否 | 用户账户 | |
| 3 | health_goals | varchar | 64 | 否 | 否 | 健康目标 |
| 4 | user_name | varchar | 64 | 否 | 否 | 用户姓名 |
| 5 | user_gender | varchar | 64 | 否 | 否 | 用户性别 |
| 6 | user_age | varchar | 64 | 否 | 否 | 用户年龄 |
| 7 | user_height | varchar | 64 | 否 | 否 | 用户身高 |
| 8 | current_weight | varchar | 64 | 否 | 否 | 当前体重 |
| 9 | physical_type | varchar | 64 | 否 | 否 | 体质类型 |
| 10 | health_status | varchar | 64 | 否 | 否 | 健康状态 |
| 11 | record_time | datetime | 否 | 否 | 记录时间 | |
| 12 | sports_situation | text | 65535 | 否 | 否 | 运动情况 |
| 13 | dietary_situation | text | 65535 | 否 | 否 | 饮食情况 |
| 14 | allergy_taboos | text | 65535 | 否 | 否 | 过敏忌口 |
| 15 | health_plan_limit_times | int | 是 | 否 | 计划推荐限制次数 | |
| 16 | create_time | datetime | 是 | 否 | 创建时间 | |
| 17 | update_time | timestamp | 是 | 否 | 更新时间 |
表 4-14-hits(用户点击)
| 编号 | 字段名 | 类型 | 长度 | 是否非空 | 是否主键 | 注释 |
| 1 | hits_id | int | 是 | 是 | 点赞ID | |
| 2 | user_id | int | 是 | 否 | 点赞人 | |
| 3 | create_time | timestamp | 是 | 否 | 创建时间 | |
| 4 | update_time | timestamp | 是 | 否 | 更新时间 | |
| 5 | source_table | varchar | 255 | 否 | 否 | 来源表 |
| 6 | source_field | varchar | 255 | 否 | 否 | 来源字段 |
| 7 | source_id | int | 是 | 否 | 来源ID |
表 4-15-knowledge_classification(知识分类)
| 编号 | 字段名 | 类型 | 长度 | 是否非空 | 是否主键 | 注释 |
| 1 | knowledge_classification_id | int | 是 | 是 | 知识分类ID | |
| 2 | knowledge_classification | varchar | 64 | 否 | 否 | 知识分类 |
| 3 | create_time | datetime | 是 | 否 | 创建时间 | |
| 4 | update_time | timestamp | 是 | 否 | 更新时间 |
表 4-16-message(留言板)
| 编号 | 字段名 | 类型 | 长度 | 是否非空 | 是否主键 | 注释 |
| 1 | message_id | int | 是 | 是 | 留言板ID | |
| 2 | user_id | int | 是 | 否 | 用户ID | |
| 3 | title | varchar | 64 | 否 | 否 | 标题 |
| 4 | content | longtext | 4294967295 | 是 | 否 | 内容 |
| 5 | nickname | varchar | 32 | 是 | 否 | 昵称 |
| 6 | avatar | varchar | 255 | 否 | 否 | 头像 |
| 7 | | varchar | 125 | 否 | 否 | 留言者邮箱 |
| 8 | phone | varchar | 11 | 否 | 否 | 留言者手机号码 |
| 9 | create_time | timestamp | 是 | 否 | 创建时间 | |
| 10 | update_time | timestamp | 是 | 否 | 更新时间 | |
| 11 | reply | longtext | 4294967295 | 否 | 否 | 回复 |
| 12 | reply_state | tinyint | 否 | 否 | 回复状态 |
表 4-17-notice(公告)
| 编号 | 字段名 | 类型 | 长度 | 是否非空 | 是否主键 | 注释 |
| 1 | notice_id | mediumint | 是 | 是 | 公告ID | |
| 2 | title | varchar | 125 | 是 | 否 | 标题 |
| 3 | content | longtext | 4294967295 | 否 | 否 | 正文 |
| 4 | create_time | timestamp | 是 | 否 | 创建时间 | |
| 5 | update_time | timestamp | 是 | 否 | 更新时间 |
表 4-18-ordinary_users(普通用户)
| 编号 | 字段名 | 类型 | 长度 | 是否非空 | 是否主键 | 注释 |
| 1 | ordinary_users_id | int | 是 | 是 | 普通用户ID | |
| 2 | user_name | varchar | 64 | 否 | 否 | 用户姓名 |
| 3 | user_gender | varchar | 64 | 否 | 否 | 用户性别 |
| 4 | user_age | varchar | 64 | 否 | 否 | 用户年龄 |
| 5 | examine_state | varchar | 16 | 是 | 否 | 审核状态 |
| 6 | user_id | int | 是 | 否 | 用户ID | |
| 7 | create_time | datetime | 是 | 否 | 创建时间 | |
| 8 | update_time | timestamp | 是 | 否 | 更新时间 |
表 4-19-physical_type(体质类型)
| 编号 | 字段名 | 类型 | 长度 | 是否非空 | 是否主键 | 注释 |
| 1 | physical_type_id | int | 是 | 是 | 体质类型ID | |
| 2 | physical_type | varchar | 64 | 否 | 否 | 体质类型 |
| 3 | create_time | datetime | 是 | 否 | 创建时间 | |
| 4 | update_time | timestamp | 是 | 否 | 更新时间 |
表 4-20-praise(点赞)
| 编号 | 字段名 | 类型 | 长度 | 是否非空 | 是否主键 | 注释 |
| 1 | praise_id | int | 是 | 是 | 点赞ID | |
| 2 | user_id | int | 是 | 是 | 点赞人 | |
| 3 | create_time | timestamp | 是 | 否 | 创建时间 | |
| 4 | update_time | timestamp | 是 | 否 | 更新时间 | |
| 5 | source_table | varchar | 255 | 否 | 否 | 来源表 |
| 6 | source_field | varchar | 255 | 否 | 否 | 来源字段 |
| 7 | source_id | int | 是 | 否 | 来源ID | |
| 8 | status | tinyint | 是 | 否 | 点赞状态:1为点赞,0已取消 |
表 4-21-schedule(日程管理)
| 编号 | 字段名 | 类型 | 长度 | 是否非空 | 是否主键 | 注释 |
| 1 | schedule_id | smallint | 是 | 是 | 日程ID | |
| 2 | content | varchar | 255 | 否 | 否 | 日程内容 |
| 3 | scheduled_time | datetime | 否 | 否 | 计划时间 | |
| 4 | user_id | int | 是 | 否 | 用户ID | |
| 5 | create_time | datetime | 否 | 否 | 创建时间 | |
| 6 | update_time | datetime | 否 | 否 | 更新时间 |
表 4-22-score(评分)
| 编号 | 字段名 | 类型 | 长度 | 是否非空 | 是否主键 | 注释 |
| 1 | score_id | int | 是 | 是 | 评分ID | |
| 2 | user_id | int | 是 | 否 | 评分人 | |
| 3 | nickname | varchar | 64 | 否 | 否 | 昵称 |
| 4 | score_num | double | 是 | 否 | 评分 | |
| 5 | create_time | timestamp | 是 | 否 | 创建时间 | |
| 6 | update_time | timestamp | 是 | 否 | 更新时间 | |
| 7 | source_table | varchar | 255 | 否 | 否 | 来源表 |
| 8 | source_field | varchar | 255 | 否 | 否 | 来源字段 |
| 9 | source_id | int | 是 | 否 | 来源ID |
表 4-23-sensitive_vocabulary(敏感词汇)
| 编号 | 字段名 | 类型 | 长度 | 是否非空 | 是否主键 | 注释 |
| 1 | sensitive_vocabulary_id | int | 是 | 是 | 敏感词汇ID | |
| 2 | sensitive_vocabulary | varchar | 64 | 否 | 否 | 敏感词汇 |
| 3 | create_time | datetime | 是 | 否 | 创建时间 | |
| 4 | update_time | timestamp | 是 | 否 | 更新时间 |
表 4-24-situation_feedback(情况反馈)
| 编号 | 字段名 | 类型 | 长度 | 是否非空 | 是否主键 | 注释 |
| 1 | situation_feedback_id | int | 是 | 是 | 情况反馈ID | |
| 2 | user_account | int | 否 | 否 | 用户账户 | |
| 3 | user_name | varchar | 64 | 否 | 否 | 用户姓名 |
| 4 | plan_title | varchar | 64 | 否 | 否 | 计划标题 |
| 5 | planned_time | varchar | 64 | 否 | 否 | 计划时间 |
| 6 | feedback_time | datetime | 否 | 否 | 反馈时间 | |
| 7 | situation_description | text | 65535 | 否 | 否 | 情况描述 |
| 8 | improvement_suggestions | text | 65535 | 否 | 否 | 改善建议 |
| 9 | examine_state | varchar | 16 | 是 | 否 | 审核状态 |
| 10 | examine_reply | varchar | 16 | 否 | 否 | 审核回复 |
| 11 | create_time | datetime | 是 | 否 | 创建时间 | |
| 12 | update_time | timestamp | 是 | 否 | 更新时间 | |
| 13 | source_table | varchar | 255 | 否 | 否 | 来源表 |
| 14 | source_id | int | 否 | 否 | 来源ID | |
| 15 | source_user_id | int | 否 | 否 | 来源用户 |
表 4-25-slides(轮播图)
| 编号 | 字段名 | 类型 | 长度 | 是否非空 | 是否主键 | 注释 |
| 1 | slides_id | int | 是 | 是 | 轮播图ID | |
| 2 | title | varchar | 64 | 否 | 否 | 标题 |
| 3 | content | varchar | 255 | 否 | 否 | 内容 |
| 4 | url | varchar | 255 | 否 | 否 | 链接 |
| 5 | img | varchar | 255 | 否 | 否 | 轮播图 |
| 6 | hits | int | 是 | 否 | 点击量 | |
| 7 | create_time | timestamp | 是 | 否 | 创建时间 | |
| 8 | update_time | timestamp | 是 | 否 | 更新时间 |
表 4-26-traditional_chinese_medicine_knowledge(中医知识)
| 编号 | 字段名 | 类型 | 长度 | 是否非空 | 是否主键 | 注释 |
| 1 | traditional_chinese_medicine_knowledge_id | int | 是 | 是 | 中医知识ID | |
| 2 | knowledge_title | varchar | 64 | 否 | 否 | 知识标题 |
| 3 | knowledge_classification | varchar | 64 | 否 | 否 | 知识分类 |
| 4 | cover_photo | varchar | 255 | 否 | 否 | 封面图片 |
| 5 | source_of_knowledge | varchar | 64 | 否 | 否 | 知识来源 |
| 6 | release_time | datetime | 否 | 否 | 发布时间 | |
| 7 | related_videos | varchar | 255 | 否 | 否 | 相关视频 |
| 8 | knowledge_description | text | 65535 | 否 | 否 | 知识描述 |
| 9 | content_details | longtext | 4294967295 | 否 | 否 | 内容详情 |
| 10 | hits | int | 是 | 否 | 点击数 | |
| 11 | praise_len | int | 是 | 否 | 点赞数 | |
| 12 | collect_len | int | 是 | 否 | 收藏数 | |
| 13 | comment_len | int | 是 | 否 | 评论数 | |
| 14 | recommend | int | 是 | 否 | 智能推荐 | |
| 15 | create_time | datetime | 是 | 否 | 创建时间 | |
| 16 | update_time | timestamp | 是 | 否 | 更新时间 |
表 4-27-upload(文件上传)
| 编号 | 字段名 | 类型 | 长度 | 是否非空 | 是否主键 | 注释 |
| 1 | upload_id | int | 是 | 是 | 上传ID | |
| 2 | name | varchar | 64 | 否 | 否 | 文件名 |
| 3 | path | varchar | 255 | 否 | 否 | 访问路径 |
| 4 | file | varchar | 255 | 否 | 否 | 文件路径 |
| 5 | display | varchar | 255 | 否 | 否 | 显示顺序 |
| 6 | father_id | int | 否 | 否 | 父级ID | |
| 7 | dir | varchar | 255 | 否 | 否 | 文件夹 |
| 8 | type | varchar | 32 | 否 | 否 | 文件类型 |
表 4-28-user(用户账户)
| 编号 | 字段名 | 类型 | 长度 | 是否非空 | 是否主键 | 注释 |
| 1 | user_id | int | 是 | 是 | 用户ID | |
| 2 | state | smallint | 是 | 否 | 账户状态:(1可用|2异常|3已冻结|4已注销) | |
| 3 | user_group | varchar | 32 | 否 | 否 | 所在用户组 |
| 4 | login_time | timestamp | 是 | 否 | 上次登录时间 | |
| 5 | phone | varchar | 11 | 否 | 否 | 手机号码 |
| 6 | phone_state | smallint | 是 | 否 | 手机认证:(0未认证|1审核中|2已认证) | |
| 7 | username | varchar | 16 | 是 | 否 | 用户名 |
| 8 | nickname | varchar | 16 | 否 | 否 | 昵称 |
| 9 | password | varchar | 64 | 是 | 否 | 密码 |
| 10 | | varchar | 64 | 否 | 否 | 邮箱 |
| 11 | email_state | smallint | 是 | 否 | 邮箱认证:(0未认证|1审核中|2已认证) | |
| 12 | avatar | varchar | 255 | 否 | 否 | 头像地址 |
| 13 | open_id | varchar | 255 | 否 | 否 | 针对获取用户信息字段 |
| 14 | create_time | timestamp | 是 | 否 | 创建时间 |
表 4-29-user_group(用户组)
| 编号 | 字段名 | 类型 | 长度 | 是否非空 | 是否主键 | 注释 |
| 1 | group_id | mediumint | 是 | 是 | 用户组ID | |
| 2 | display | smallint | 是 | 否 | 显示顺序 | |
| 3 | name | varchar | 16 | 是 | 否 | 名称 |
| 4 | description | varchar | 255 | 否 | 否 | 描述 |
| 5 | source_table | varchar | 255 | 否 | 否 | 来源表 |
| 6 | source_field | varchar | 255 | 否 | 否 | 来源字段 |
| 7 | source_id | int | 是 | 否 | 来源ID | |
| 8 | register | smallint | 否 | 否 | 注册位置 | |
| 9 | create_time | timestamp | 是 | 否 | 创建时间 | |
| 10 | update_time | timestamp | 是 | 否 | 更新时间 |
5关键模块的设计与实现
基于Python的中医药科普网站的详细设计与实现主要是根据前面的需求分析和总体设计来设计页面并实现业务逻辑。主要从基于Python的中医药科普网站界面实现、业务逻辑实现这两部分进行介绍。
5.1普通用户功能模块
5.1.1 注册界面
注册模块满足普通用户两部分,当普通用户想要进行资料相关信息的查询管理的时候,就必须进行登录,如果没有账号的话,在登录界面,点击“注册”按钮就会跳转到注册的界面,根据提示填写好注册信息,添加提交,注册的信息在数据库中就添加完成了,然后再输入填写好的账号和密码进行登录,其注册主界面展示如下图所示。

图5-1普通用户注册界面图
5.1.2 登录界面
基于Python的中医药科普网站中的普通用户是可以通过自己的账户名和密码进行登录的,当普通用户输入完整的自己的账户名和密码信息并点击“登录”按钮后,将会首先验证输入的有没有空数据,再次验证输入的账户名+密码和数据库中当前保存的普通用户信息是否一致,只有在一致后将会登录成功并自动跳转到基于Python的中医药科普网站的首页中;否则将会提示相应错误信息,普通用户登录界面如下图所示。

图5-2普通用户登录界面图
登录代码:
def Login(self, ctx):
print("===================登录=====================")
ret = {
"error": {
"code": 70000,
"message": "账户不存在",
}
}
body = ctx.body
password = md5hash(body["password"]) or ""
obj = service_select("user").Get_obj(
{"username": body["username"]}, {"like": False}
)
if obj:
user_group = service_select("user_group").Get_obj({'name': obj['user_group']}, {"like": False})
if user_group and user_group['source_table'] != '':
user_obj = service_select(user_group['source_table']).Get_obj({"user_id": obj['user_id']}, {"like": False})
if user_obj['examine_state'] == '未通过':
ret = {
"error": {
"code": 70000,
"message": "账户未通过审核",
}
}
return ret
if user_obj['examine_state'] == '未审核':
ret = {
"error": {
"code": 70000,
"message": "账户未审核",
}
}
return ret
if obj["state"] == 1:
if obj["password"] == password:
timeout = timezone.now()
timestamp = int(time.mktime(timeout.timetuple())) * 1000
token = md5hash(str(obj["user_id"]) + "_" + str(timestamp))
ctx.request.session[token] = obj["user_id"]
service_select("access_token").Add(
{"token": token, "user_id": obj["user_id"]}
)
obj["token"] = token
ret = {
"result": {"obj": obj}
}
else:
ret = {
"error": {
"code": 70000,
"message": "密码错误",
}
}
else:
ret = {
"error": {
"code": 70000,
"message": "用户账户不可用,请联系管理员",
}
}
return ctx.response(json.dumps(ret, ensure_ascii=False))
5.1.3 首页界面
登录系统后,普通用户可以查看系统的轮播图、新闻资讯、中医知识推荐、养生保健推荐等,系统将基于用户的兴趣和行为数据(如点击、评论、收藏、点赞等),通过决策树算法推荐相关的中医知识、养生保健内容。首页界面如下图所示。

图5-3首页界面图
5.1.4新闻资讯界面
点击系统导航栏上的“新闻资讯”菜单按钮,将进入新闻资讯列表,用户可以查看系统发布的所有新闻资讯内容。点击某新闻资讯后进入详情页,可以查看该资讯的详细内容,用户可以点赞、收藏、评论等。新闻资讯页面如图5-4所示。

图5-4新闻资讯界面图
5.1.5中医知识界面
点击系统导航栏上的“中医知识”菜单按钮,将进入中医知识列表,用户可以浏览所有的中医知识信息,支持根据关键词搜索和下拉搜索、排序。点击某条中医知识可查看该中医知识的详细信息,用户可以进行点赞、收藏、评论等操作。中医知识列表如图5-5所示。中医知识详情如图5-6所示。

图5-5中医知识列表界面图

图5-6中医知识详情界面图
5.1.6养生保健界面
点击系统导航栏上的“养生保健”菜单按钮,将进入养生保健列表,用户可以浏览所有的养生保健信息,支持根据关键词搜索和下拉搜索、排序。点击某条养生保健可查看该养生保健的详细信息,用户可以进行点赞、收藏、评论等操作。养生保健列表如图5-7所示。养生保健详情如图5-8所示。

图5-7养生保健列表界面图

图5-8养生保健详情界面图
5.1.7 交流社区界面
用户点击首页“交流社区”按钮,会进入交流社区列表,支持通过文章名称进行搜索,用户点击可查看其他用户的帖子内容,可以进行点赞、收藏、评论等操作点击“发布内容”,用户可以进行发帖。交流社区列表界面如下图5-9所示。

图5-9交流社区列表界面图
5.1.8个人中心界面
点击系统右上角“个人中心”,用户可以录入自己的健康档案信息,如体检报告、健康状况等。可以查看系统根据健康档案生成的健康计划,执行计划后,用户可以提交健康反馈,系统会根据反馈内容为用户提供进一步的指导。用户还可以通过留言功能与网站管理员进行沟通,反馈问题或提出建议。用户可以查看自己收藏的资讯、文章,并进行管理。可以查看并管理用户对商品的评论。健康档案界面如下图5-10所示。健康计划界面如下图5-11所示。健康反馈界面如下图5-12所示。

图5-10健康档案界面图

图5-11健康计划界面图

图5-12健康反馈界面图
5.2管理员功能模块
5.2.1后台首页界面
管理员登陆系统进入后台首页,可以查看平台的总体运营情况,包括用户统计数据、中医知识统计等。后台首页界面如下图所示。

图5-13后台首页界面图
5.2.2用户管理界面
管理员可以管理系统的普通用户,包括添加新用户、编辑用户信息、修改用户信息等操作,以确保系统的权限管理和安全性。用户管理界面如下图所示。

图5-14用户管理界面图
5.2.3中医知识界面
管理员点击“中医知识管理”这一菜单会显示中医知识列表和中医知识添加两个子菜单,点击“中医知识列表”可以查看所有的中医知识和用户评论,还可以进行重置、查询、删除等操作。点击“中医知识添加”,管理员可以添加新的中医知识。中医知识列表界面如下图所示。

图5-15中医知识列表界面图
5.2.4养生保健界面
管理员点击“养生保健管理”这一菜单会显示养生保健列表和养生保健添加两个子菜单,点击“养生保健列表”可以查看所有的养生保健和用户评论,还可以进行重置、查询、删除等操作。点击“养生保健添加”,管理员可以添加新的养生保健。养生保健列表界面如下图所示。

图5-16养生保健列表界面图
5.2.5 健康计划管理界面
管理员点击“健康计划管理”这一菜单,可以根据用户的健康档案定制和管理用户的健康计划。健康计划生成界面如下图所示。

图5-17健康计划生成界面图
5.2.6 资源管理界面
管理员点击“资源管理”菜单,管理员可以上传、编辑或删除系统的资源,如文章、图片、视频等。这些资源可用于新闻资讯模块的展示。管理员还可以对资讯进行分类和标签化,方便用户查找和使用,界面如下图所示。

图5-18资源管理界面图
5.2.7轮播图管理界面
管理员可以管理网站的轮播图,包括添加、编辑和删除轮播图内容,以吸引用户注意和提升网站视觉效果。界面如下图所示。

图5-19轮播图管理界面图
5.2.8网站公告管理界面
管理员可以发布和管理网站公告,确保用户及时获取网站的最新动态和重要通知。界面如下图所示。

图5-20网站公告管理界面图
6.1测试目的
测试的主要目的是确保系统的功能和性能满足预期的需求,同时识别和修复潜在的缺陷。通过系统测试,可以验证各个功能模块的正确性和稳定性,确保系统在不同使用场景下的表现符合设计要求。测试目的包括确认系统功能的完整性、验证数据处理的准确性、评估系统的性能和安全性。测试还可以提高用户满意度,保证用户在使用系统时获得流畅和可靠的体验。通过全面的测试,可以降低后期维护成本,减少系统上线后出现故障的风险,从而保障系统的长期稳定运行。
6.2测试方法
在本系统中,测试方法主要依赖于测试用例的设计与执行。测试用例是根据系统需求文档编写的,覆盖所有功能模块及其边界情况。每个测试用例包含输入数据、预期结果和实际结果的对比,以验证系统的功能是否按预期工作。
常见的测试用例包括功能测试用例、边界测试用例和异常测试用例[10]。功能测试用例针对系统的各项功能进行验证;边界测试用例则侧重于输入数据的边界条件,验证系统在极端情况下是否能够稳定运行;异常测试用例则用于验证系统在处理错误输入或异常情况时的反应。本文选择功能测试用例进行系统测试。
在测试执行过程中,记录每个用例的执行结果,并根据实际结果与预期结果的对比,判断系统是否存在缺陷。通过系统化的测试用例执行,可以有效提高测试的覆盖率和效率,为系统的最终上线提供保障。
6.3测试内容
前台普通用户查看新闻资讯功能测试:
表6-1前台普通用户查看新闻资讯功能测试用例表
| 测试名称 | 测试功能 | 操作 | 操作过程 | 预期结果 | 测试结果 |
| 普通用户查看新闻资讯功能模块测试 | 普通用户查看新闻资讯功能成功 | 点击“新闻资讯” | 点击某一条“新闻资讯”信息,查看新闻资讯详情。 | 成功查看新闻资讯。 | 正确 |
前台普通用户查看中医知识功能测试:
表6-2前台查看中医知识功能测试用例表
| 测试名称 | 测试功能 | 操作 | 操作过程 | 预期结果 | 测试结果 |
| 普通用户查看中医知识功能模块测试 | 普通用户查看中医知识功能成功 | 点击“中医知识” | 点击某一条“中医知识”信息,查看中医知识详情。 | 成功查看中医知识。 | 正确 |
web后台端上管理员发布中医知识功能测试:
表6-3web后台端上管理员发布中医知识功能测试用例表
| 测试名称 | 测试功能 | 操作 | 操作过程 | 预期结果 | 测试结果 |
| 管理员发布中医知识功能测试 | 添加中医知识的情况 | 输入新中医知识的基本信息 | 后台选择“中医知识管理”菜单后,填写新中医知识后点击“提交”按钮 | 新中医知识发布成功 | 正确 |
6.4测试结果
通过编写了基于Python的中医药科普网站的测试用例,已经检测完毕了6章节中的3大模块,它为基于Python的中医药科普网站系统的后期推广运营提供了强力的技术支撑。
结 论
本论文基于Python的Django框架和MySQL数据库设计与实现了一个中医药科普网站,旨在通过互联网平台传播中医药知识,提供个性化的健康管理服务,并促进用户与中医药的互动与交流。系统设计结合了中医药的专业性和现代互联网技术,成功实现了普通用户和管理员两大功能模块,涵盖了中医药知识的学习、健康保健的个性化推荐、健康档案的管理以及互动交流等功能。
通过本系统的开发,用户能够在平台上轻松访问到丰富的中医药知识、养生保健内容,并根据自己的兴趣和健康需求获得个性化的推荐。系统采用决策树算法对用户行为数据进行分析,精准预测用户的偏好,为用户提供更加贴合的内容。这一设计提升了用户体验,增强了平台的互动性和智能性。
对于管理员而言,后台管理系统为平台内容的更新、用户管理、反馈处理等提供了高效的管理工具,确保平台内容的及时性和合规性,促进了平台的正常运营与维护。
综上所述,本系统不仅为用户提供了一个集成中医药知识、健康管理和互动交流的平台,还为中医药文化的传承与普及提供了有效的技术支持。通过该平台,用户能够实现更科学、个性化的健康管理,提升对中医药知识的认知和应用。未来,随着技术的不断进步和用户需求的多样化,本系统还有很大的改进空间,特别是在智能推荐算法、用户行为分析等方面,可以进一步提升平台的智能化水平,提供更精准、更个性化的服务。
参考文献
- 郦昕昕.基于B/S模式的人事管理系统设计与实现[J].集成电路应用,2024,41(05):246-247.DOI:10.19339/j.issn.1674-2583.2024.05.112.
- 赵惠.基于B/S模式的实验室管理系统设计和实现[J].中国新通信,2023,25(21):72-74.
- 曹雪朋.基于Django的数据分析系统设计与实现[J].信息与电脑(理论版),2023,35(15):141-143.
- 郭显娥.Django实现ORM模型数据查询优化[J].山西大同大学学报(自然科学版),2019,35(03):27-31+36.
- 赵媛.基于Vue的Web系统前端性能优化分析[J].电脑编程技巧与维护,2024,(09):44-46.
- 秦冬.浅析Vue框架在前端开发中的应用[J].信息与电脑(理论版),2024,36(13):61-63.
- 李艳杰.MySQL数据库下存储过程的综合运用研究[J].现代信息科技,2023,7(11):80-82+88.
- 马艳艳,吴晓光.计算机软件与数据库的设计策略分析[J].电子技术,2024,53(05):104-105.
- 李俊萌.计算机软件测试技术与开发应用策略分析[J].信息记录材料,2023,24(03):50-52.
- 李俊萌.计算机软件测试技术与开发应用策略分析[J].信息记录材料,2023,24(03):50-52.
- 丁可.基于中医养生康复学的现代中医养生理论体系的构建研究[J].中国全科医学,2023,26(27):3464.
- 张克辉,曹燕燕,刘昌朴,等.基于移动互联网的健康养生平台设计与实现[J].河北建筑工程学院学报,2021,39(02):162-166.
- 张一帆,朱赠桦,钟方榕,等.基于知识图谱的中医智能养生系统的设计与应用[J].中国数字医学,2023,18(10):77-82.
- 刘旭.中医在线养生服务系统创新设计研究[D].华东理工大学,2021.DOI:10.27148/d.cnki.ghagu.2021.000478.
- Zhang J .Teaching Reform of Java Program Design Based on Vocational Education Cloud Platform[J].Journal of Higher Education Teaching,2024,1(5):
- 冰谦.基于节气养生的在线商品体验设计研究——以“膳图”APP为例[J].设计,2024,37(12):26-29.DOI:10.20055/j.cnki.1003-0069.001778.
- 高翔,黄文康,商志浩,等.基于大数据的中医养生保健平台构建研究[J].医学信息学杂志,2020,41(03):75-77+81.
- Wai H K ,Funabiki N,Aung T S, et al.Answer Code Validation Program with Test Data Generation for Code Writing Problem in Java Programming Learning Assistant System[J].Engineering Letters,2024,32(5):
- Ullenboom C .Java Programming Exercises:Volume Two: Java Standard Library[M].CRC Press:2024-03-30.
- Aung T S ,Aung H L,Funabiki N, et al.An Implementation of Web-based Personal Platform for Programming Learning Assistant System with Instance File Update Function[J].Engineering Letters,2024,32(2):
致谢
在这篇论文的撰写过程中,我深感“砥砺前行,勇往直前”的道理。正如成语所说,“千里之行,始于足下”。无论面对多么艰难的挑战,只要我们保持坚定的信念和努力的态度,就能够攻克困难,实现自己的目标。
同时,我们也要明白“世上无难事,只怕有心人”的道理。通过不断学习和积累知识,我们能够拓展自己的视野,提升自己的能力。正如一句古训所说:“读书破万卷,下笔如有神”,只有通过不断学习和锤炼才能够成为真正的专家和领导者。
在攻克困难的过程中,我们也要保持“与时俱进”的意识。正如成语所说:“时不我待”。在一个日新月异的时代,只有跟上时代的步伐,不断更新自己的知识和技能,才能立于不败之地。
最后,我要引用一句励志的名言:“成功源于自信,自信源于经验,经验源于失败”。在追求梦想的道路上,我们可能会遇到许多挫折和失败,但正是通过这些经历,我们能够积累宝贵的经验,提升自己的能力,并最终实现自己的目标。
在本文的写作过程中,这些励志的成语和名言一直激励着我,让我坚持不懈,追求卓越。希望这些励志的言辞也能够激励和鼓舞其他人,在追逐自己的梦想的道路上勇往直前,不断超越自我!
点赞+收藏+关注 →私信领取本源代码、数据库
关注博主下篇更精彩
一键三连!!!
一键三连!!!
一键三连!!!
感谢一键三连!!!
783

被折叠的 条评论
为什么被折叠?



