1. 引言
无刷直流电机(BLDC)因其高功率密度、高效率等优点,在工业控制、汽车电子和家电领域得到广泛应用。磁场定向控制(FOC)作为目前最先进的BLDC电机控制技术,能够实现平滑的转矩控制和宽范围调速。本文将深入解析FOC控制的数学原理、实现方案和编程技巧,帮助工程师更好地理解和应用这一技术。
2. FOC控制基本原理
2.1 核心思想
FOC的基本思想是通过坐标变换,将三相交流量转换为旋转坐标系下的直流量,从而实现类似直流电机的控制效果。其核心目标是实现转矩与磁链的解耦控制,使得电机转矩能够快速响应且波动小。
2.2 数学基础
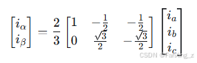
2.2.1 Clarke变换
将三相静止坐标系ABC转换为两相静止坐标系αβ:

在实际应用中,常采用幅值不变变换,系数改为。
2.2.2 Park变换
将两相静止坐标系αβ转换为两相旋转坐标系dq:

其中θ为转子电角度。
2.2.3 反Park变换
将旋转坐标系dq转换回静止坐标系αβ:

2.3 转矩与磁链方程
在dq坐标系下,电磁转矩方程为:

对于表贴式永磁同步电机(SPMSM),,转矩方程简化为:
![]()
这表明通过控制即可线性控制电机转矩。
3. FOC系统架构与实现方案
3.1 系统整体架构
完整的FOC控制系统包含以下模块:
下载
电流采样 → Clarke变换 → Park变换 → PI控制器 → 反Park变换 → SVPWM → 逆变器
↑ |
| ↓
位置/速度反馈 ←------------ 位置/速度估计 ←----------------- 电机
3.2 关键模块实现
3.2.1 电流采样与处理
三相电流采样通常只需两相(

最低0.47元/天 解锁文章
1167

被折叠的 条评论
为什么被折叠?



