导读: 在无人机(UAV)领域,复杂动态环境下的障碍物避让是一个巨大的挑战。传统的障碍物避让技术大多只适用于静态环境或少数动态物体的环境。然而,当环境中动态物体成为主导时,无人机的感知和规划任务变得更加困难。动态物体的多样化运动轨迹使得使用单一运动模型预测其运动变得极为复杂。 为了应对这一挑战,本文提出了一种名为“快速与自适应感知规划”(FAPP)的新策略,用于在复杂动态环境中指导无人机飞行。作者开发了一种新颖且高效的点云分割技术,能够区分静态和动态物体。此外,本文还提出了一种自适应的估算方法,通过协方差适应机制,快速且准确地预测多动态物体的运动。 通过在模拟环境和现实世界中进行广泛的测试验证,该的系统在处理高度动态和拥挤环境方面展示了显著的有效性。这一技术不仅能够提高无人机的飞行安全,还能在复杂环境中提高其运行效率和稳定性。这对于未来无人机在复杂城市环境中的应用提供了重要的技术支持。
©️【深蓝AI】编译
论文标题:FAPP: Fast and Adaptive Perception and Planning for UAVs in Dynamic Cluttered Environments
论文作者:Minghao Lu, Xiyu Fan, Han Chen, and Peng Lu
论文地址:https://arxiv.org/abs/2312.08743
论文视频:https://youtu.be/4DXBuKpqQk4
引入
机器人技术的发展一直致力于提高机器人的智能水平并将其融入人们的日常生活中。无人机(UAV)因其运动灵活性和成本效益而日益普及。近年来,空中自主技术的进步使无人机在多种智能任务中表现出色,包括导航、在静态环境中的探索以及自主摄影等。
然而,让无人机在复杂且动态拥挤的环境中无需人类指挥地飞行,仍然是一项具有挑战性且潜在危险的任务。例如,设想一架无人机被指派在繁忙的城市人行道或拥挤的室内狭小空间中进行近距离摄影。在这种情况下,无人机需要在完成任务的同时,智能地应对不断变化的环境。
目前最先进的无人机障碍物避让技术主要集中在静态环境中。动态环境在感知和路径规划方面带来了更大的挑战。动态物体,尤其是快速移动的物体,会造成运动模糊,使得传统视觉传感器难以检测到这些物体。路径规划算法必须足够高效,以避开快速移动的物体。为此,已经开发了基于事件的检测方法来应对快速移动的物体。然而,事件相机价格昂贵,对于低成本的无人机来说并不经济。因此,无人机在动态环境中的导航挑战仍然存在。近期,虽然有几种方法被提出用于解决无人机的动态障碍物问题,但所有这些研究都仅考虑了环境静态且仅存在少数(一两个)动态物体的情况。它们要么使用恒定速度或加速度模型来估计和预测物体的运动,要么让物体以恒定速度移动。这些研究并未探讨估计的速度是否足够快或精确,以及这对成功避开动态障碍的影响。
本文考虑了一种更为复杂的环境:动态拥挤环境,其中动态物体是环境中的主要对象。这种环境会加剧感知和规划的难度。在感知方面,检测和跟踪多个物体比检测单个物体更加具有挑战性。在动态障碍物避让方面,有必要估计和预测物体的速度。由于不同物体具有不同的运动模型,这也变得更加困难。使用单一模型来估计不同物体的运动是不容易的。在路径规划方面,多个物体增加了碰撞的概率,进一步增加了挑战。此外,在动态拥挤的环境中,路径规划可能无法找到可行的解决方案,这种情况可能经常发生。所有这些挑战使得在动态拥挤环境中的障碍物避让变得极为困难。
本文提出了FAPP(快速与自适应感知与规划)系统,旨在帮助无人机在动态拥挤环境中飞行。首先,提出了一种新颖且高效的点云分割策略,能够有效地区分静态和动态物体。开发了一种独特的数据关联方法,将检测到的动态簇分配给现有簇。为应对多个动态物体,提出了一种新颖的自适应估算方法,能够快速估计和预测它们的速度,从而促进多物体的避让。在路径规划方面,进一步改进了之前的规划方法,无需使用前端路径搜索和安全走廊生成。此外,提出了一种自适应重新规划策略,以应对在动态拥挤环境中常见的无法找到可行路径的情况。最后,通过在模拟环境和现实世界中的各种飞行测试,验证了所提出的FAPP系统的性能,无论是在室内还是室外环境中。
本文的主要创新点如下:
1)提出了一种新颖且高效的点云分割策略,能够有效地区分静态和动态物体。
2)提出了一种新颖的协方差适应方法,以应对具有不同运动模式的多个动态物体。这种方法克服了现有研究中采用恒定速度或加速度假设的局限性,能够快速估计和预测物体的位置和速度,从而促进多个动态物体的避让。
3)提出了一种自适应重新规划方法,以应对轨迹优化无法找到可行路径的情况。这对于动态拥挤环境中常见的无可行解决方案的情况尤为重要。
4)这是少数考虑无人机在高度拥挤和动态环境中进行障碍物避让的研究之一。通过各种模拟和实验测试,验证了FAPP的性能。整个感知和规划过程可以在几毫秒内完成,具有高度的效率。

▲图1|全文方法总览©️【深蓝AI】编译
具体方法与实现
如图1 所示:本文方法的输入分别是无人机自身的位姿以及当前的激光雷达扫描数据,随后通过一系列的算法将点云的数据进行自适应的分割,从而得到最终的物体状态估计和占据网格地图,系统中的Planning模块会根据动态物体的状态估计和占据网格地图实时调整机器人当前的运动状态,从而实现动态环境下的避障。
基于IKD Tree的点云集建立
首先我们介绍本文方法中是如何维护一个low cost的点云集的,这里作者巧妙地利用了IKD Tree来进行维护。假设在第k个时间戳tk,无人机可以通过本地坐标系中的传感器扫描获取一个三维点云。首先,将本地传感器坐标系B通过SE(3)变换转换到全局坐标系。这里的外参可以通过使用如LIO算法获得。接着,创建一个增量kd树(I-KD Tree)来维护最近的前F帧点集ξ,通过动态添加和删除点,其中ξ包含前F帧扫描得到的点集。利用I-KD树,可以保持点集ξ的适当大小,并使ξ中的点在三维空间中均匀分布,从而有效地表示前几帧扫描中障碍物的空间分布信息。。
快速动态物体分割
为了实现动态障碍物避让,识别动态障碍物至关重要。虽然已有研究使用基于学习的方法来区分静态和动态物体,但这些方法计算量大,难以应用于小型低成本的无人机。最先进的无人机动态障碍物避让方法首先过滤点云,然后使用DBSCAN算法将其聚类为不同的物体。通过为每个簇设计卡尔曼滤波器,可以通过估计其速度来检测动态物体。这种方法在稀疏环境中效果良好,但在包含许多物体的拥挤环境中计算量会显著增加。如图2所示,本文提出了一种快速动态物体检测和跟踪算法,首先设计了一种新颖高效的算法,能够在不使用神经网络的情况下分割静态和动态物体,然后仅为动态物体设计了跟踪器,从而在拥挤环境中高效地检测和跟踪动态物体。
具体来说,首先使用DBSCAN对当前帧的点云进行聚类,得到一组m个簇。对于每个簇,可以将其分类为以下三种情况之一:
1.持续移动的物体。
2.静止物体。
3.未知物体。
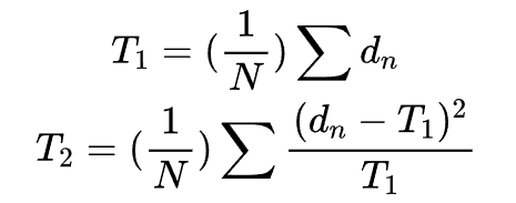
对于未知物体,包含之前被移动物体遮挡的静止物体以及视野中新出现的物体。通过测量每个点pn与前一帧点集ξ的全局最近距离dn,提出以下两个函数来描述簇的分类:

其中,T1表示簇中点到前一帧点集的平均最小距离,T2表示dn的归一化平均方差。通过设定两个阈值h1和h2,可以将簇分类为:
-
移动物体:T1 > h1 且 T2 < h2
-
静止物体:T1 < h1
-
未知物体:T1 > h1 且 T2 > h2
该算法高效且适用于高度拥挤的环境,能够实现点云的聚类和动态物体的分割。动态簇的集合dCk及其几何中心odk可以进一步用于动态点群的表示和处理。

▲图2|快速动态物体分割图示©️【深蓝AI】编译
动态物体跟踪及局部建图
为了实现动态障碍物避让,需要在分割后跟踪和估计移动物体的运动状态。运动状态的估计和预测将用于快速和自适应规划。
运动估计:采用恒速模型,通过卡尔曼滤波器估计移动物体的状态向量ẋẏżXi=[xi,yi,zi,ẋi,ẏi,żi]T。卡尔曼滤波器根据预测和测量更新状态,并输出估计的状态。
数据关联:通过计算检测到的物体与现有跟踪器预测位置之间的马氏距离,创建分配矩阵H,并使用匈牙利算法进行最优分配。如果匹配成本低于阈值,则拒绝该配对。在分割出动态点后,从当前帧的点云中消除动态点,得到静态点云。静态点云包含了自由空间的完整信息,用于构建占用网格地图,以进行障碍物避让。
在动态拥挤的环境中,存在多个具有不同运动的动态物体。现有的无人机动态障碍物避让研究通常假设物体的速度或加速度是恒定的,但这在实际中并不总是适用。本文提出了一种协方差适应方法,通过更新过程噪声协方差矩阵Qk,能够快速且准确地估计和预测动态物体的运动,即使在物体运动发生显著变化时也能保持高精度。这一方法克服了使用单一模型估计多物体运动的局限性,显著提升了动态障碍物避让的成功率。随后作者采用图3所示的轨迹生成策略来生成,轨迹,对动态目标进行轨迹优化时,如果轨迹存在安全隐患,就会在每个采样点(黑色点)添加惩罚项。该惩罚项纳入了对动态目标预测不确定性的考虑(红色虚线圆)。完成优化后,轨迹将能与动态目标保持无碰撞。在此过程中,优化会改变中间航点 q(黄色点)的位置以及轨迹各段的时间分配。

▲图3|避障轨迹生成图示©️【深蓝AI】编译
快速与自适应规划
本文提出的快速与自适应规划方法包括轨迹优化和自适应重新规划策略。轨迹优化不需要前端路径搜索,并考虑了动态物体状态估计的不确定性。此外,自适应重新规划方法能够在找不到可行解时,允许无人机继续执行任务而不发生碰撞。
轨迹定义:将无人机的运动定义为分段的三维五次多项式,通过最小控制方法实现时空解耦优化,生成动态可行且安全的轨迹。
问题表述:通过最小化控制努力和总轨迹时间,结合动力学可行性、静态障碍物避让和动态障碍物避让的惩罚函数,形成优化问题,并通过梯度传播法则高效求解。
自适应重新规划策略:在复杂动态环境中,当轨迹优化失败时,提出了一种自适应重新规划策略,通过计算临时目标位置,避免无人机停留带来的碰撞风险,确保任务的持续执行,具体可通过图4所示,当无法找到从无人机当前所在位置到目标点的可行无碰撞轨迹时,方法会规划一个临时目标点。此时,排斥力向量会将无人机推向空旷区域。如果无人机速度向量在相对位置向量方向上的投影越大,那么其产生的排斥效应也就越显著。通过以上方法,FAPP系统能够在动态拥挤的环境中高效地进行感知和规划,显著提升无人机的避障能力和飞行安全性。

▲图4|无人机避障运动策略©️【深蓝AI】编译
实验
作者首先进行了动态环境中的实验,采用了下图所示的无人机平台,只采用了一个livox的雷达作为核心的感知原件。如图6所示,作者首先进行了动态物体的状态估计实验,这个实验用于验证本文方法中提出的 点云分割策略是否能够准确的分割出环境中的动静态物体,并且对其做出准确的状态估计。随后作者进行了避障轨迹相关的实验验证,目的是验证在本文的自适应更新策略实施之下,无人机可否产生平滑的避障轨迹,顺利避开障碍物。同时作者也在最后展示了在室内外真实环境之中的避障实验,来体现本文算法的有效性。

▲图5|无人机实验平台©️【深蓝AI】编译

▲图6|动态物体状态估计实验©️【深蓝AI】编译

▲图7|动态物体状态估计实验©️【深蓝AI】编译
随后作者进行了图7所示的速度估计实验,这个实验需要结合图8,可以看到在采用了本文的自适应更新策略之后,机器人的避障路更加丝滑,并且速度的输出更加线性,能够更好的产生一个平滑的避障轨迹避开障碍物。

▲图8|自适应更新效果实验©️【深蓝AI】编译


▲图9|室内外场景无人机避障实验©️【深蓝AI】编译
最后,作者在室内外的场景进行了无人机的运动避障实验,图9第一行所示为室内场景,第二行所示为室外场景,可以看到不管是在哪个场景之中,无人机都可以在有多个行人移动,并且存在空间障碍物的环境之中顺利实现避障,能够取得非常优秀的效果。
总结
在本论文中,作者研究了无人机在复杂动态且拥挤环境中的障碍物避让问题,并提出了 FAPP 系统来应对由动态拥挤物体所带来的感知与规划挑战。所提出的快速感知系统能够高效地将静态与动态物体进行分割。为克服恒速或恒加速度模型的局限性,作者设计了一种自适应估计方法,可以快速且准确地预测多个动态物体的运动,这对动态障碍物避让有很大帮助。此外,提出的快速与自适应规划还可以在轨迹优化无法找到可行解的情况下继续进行飞行任务,这在动态拥挤环境中十分重要。
实验证明,该系统在动态拥挤的环境中具有良好的表现。然而,如果在无人机进行激进机动时机载定位出现故障,偶尔会发生失败。未来工作将探讨如何在机载定位失效的情况下,仍能避免这类故障的发生。
2354






