Python岭回归(Ridge Regression)

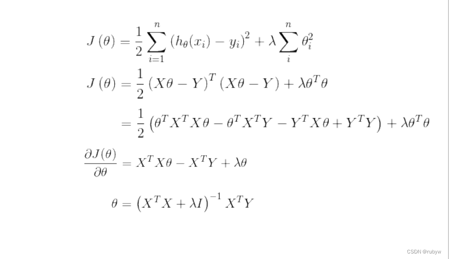
一、岭回归的原理

在这里插入图片描述
在这里插入图片描述
在这里插入图片描述

二、岭回归的一般选择原则

在这里插入图片描述

三、代码实战

# -*- coding: utf-8 -*-
"""
Created on 2024.1.22

@author: rubyw
"""

import numpy as np
from numpy import genfromtxt
from sklearn 
<think>嗯,用户想了解岭回归的概念、实现方法和使用场景。首先,我需要回顾一下岭回归的基本定义。岭回归是一种处理多重共线性数据的回归方法,通过加入L2正则化项来防止过拟合,对吧?记得标准线性回归的解析解是$(X^T X)^{-1} X^T y$,但当数据存在多重共线性时,$X^T X$可能不可逆,导致解不稳定。这时候岭回归就派上用场了,它在代价函数里加了一个$\alpha \|w\|^2$,这样即使$X^T X$不可逆,加上$\alpha I$后矩阵就变成可逆的了。 接下来是实现方法。用户可能想知道如何在Python中实现岭回归,比如用scikit-learn库里的Ridge类。需要提到参数alpha的作用,调整alpha可以控制正则化的强度。可能还要提到交叉验证,比如RidgeCV来自动选择最佳的alpha值。另外,核岭回归也是一个扩展,结合核方法处理非线性问题,这部分可以引用用户提供的引用[4],里面提到了GridSearchCV来寻找最优超参数。 使用场景方面,用户提到的多重共线性数据、特征数多于样本数的情况,以及防止过拟合都是经典的应用场景。需要举一些实际的例子,比如经济数据、基因表达数据等,这样用户更容易理解。另外,对比标准线性回归岭回归在不同场景下的表现也很重要。 用户提供的引用里有几个关键点需要整合。引用[1]和[2]解释了岭回归的基本概念和目的,引用[3]提到了标准线性回归的解析解,而引用[4]给出了核岭回归的实现示例。需要确保在回答中正确引用这些内容,比如在代价函数部分引用[3],在实现部分引用[1]和[4]。 可能还需要考虑用户的实际需求,比如他们是否在处理高维数据,或者是否遇到了过拟合的问题。因此,在回答中应该涵盖如何选择alpha值、模型评估指标(如MSE和R²),以及交叉验证的重要性。用户的问题可能不仅仅停留在理论层面,更关心实际应用,所以代码示例和调参技巧会是重点。 最后,生成的相关问题需要围绕用户可能进一步想了解的内容,比如岭回归与Lasso回归的区别,如何选择alpha值,或者与其他正则化方法的对比。这些问题可以帮助用户深入学习和应用岭回归。</think>### 岭回归Ridge Regression)详解 #### 1. **核心概念** 岭回归是一种线性回归的改进方法,通过引入**L2正则化项**解决多重共线性问题。其代价函数为: $$J(w) = \|y - Xw\|^2 + \alpha \|w\|^2$$ - **$\alpha \|w\|^2$**:L2正则化项,控制参数$w$的复杂度 - **$\alpha$(alpha)**:正则化强度参数,值越大惩罚越强[^2] 当数据中存在多重共线性(特征高度相关)时,标准线性回归的解析解$w = (X^T X)^{-1} X^T y$可能因$X^T X$不可逆而失效,而岭回归通过添加$\alpha I$确保矩阵可逆[^3]。 --- #### 2. **实现方法** ##### Python实现(scikit-learn库): ```python from sklearn.linear_model import Ridge import numpy as np # 生成示例数据 X = np.random.rand(100, 5) y = X @ np.array([1, 2, 3, 4, 5]) + np.random.normal(0, 0.1, 100) # 创建模型(alpha=1.0) model = Ridge(alpha=1.0) model.fit(X, y) # 预测与评估 y_pred = model.predict(X) print("系数:", model.coef_) ``` ##### 关键参数说明: - **alpha**:通过交叉验证(如`RidgeCV`)选择最优值 - **solver**:求解器选择('auto'、'svd'、'cholesky'等) - **normalize**:是否标准化输入数据(已弃用,建议手动预处理) ##### 核岭回归(非线性扩展): 通过引入核函数处理非线性关系(如RBF核)[^4]: ```python from sklearn.kernel_ridge import KernelRidge kr = KernelRidge(alpha=1.0, kernel='rbf') ``` --- #### 3. **使用场景** | 场景类型 | 说明 | |--------------------|----------------------------------------------------------------------| | 多重共线性数据 | 当特征间相关性>0.8时优先使用 | | 高维数据 | 特征数>样本数时(如基因表达数据) | | 防止过拟合 | 当训练集表现远优于测试集时 | | 参数稳定性需求 | 需要更稳定的系数估计(相比标准线性回归) | --- #### 4. **与其他方法对比** | 方法 | 正则化类型 | 特征选择 | 稀疏解 | |---------------|------------|----------|--------| | 标准线性回归 | 无 | 无 | 否 | | 岭回归 | L2 | 无 | 否 | | Lasso回归 | L1 | 有 | 是 | ---
评论
成就一亿技术人!
拼手气红包6.0元
还能输入1000个字符
 
红包 添加红包
表情包 插入表情
 条评论被折叠 查看
添加红包

请填写红包祝福语或标题

红包个数最小为10个

红包金额最低5元

当前余额3.43前往充值 >
需支付:10.00
成就一亿技术人!
领取后你会自动成为博主和红包主的粉丝 规则
hope_wisdom
发出的红包

打赏作者

rubyw

你的鼓励将是我创作的最大动力

¥1 ¥2 ¥4 ¥6 ¥10 ¥20
扫码支付:¥1
获取中
扫码支付

您的余额不足,请更换扫码支付或充值

打赏作者

实付
使用余额支付
点击重新获取
扫码支付
钱包余额 0

抵扣说明:

1.余额是钱包充值的虚拟货币,按照1:1的比例进行支付金额的抵扣。
2.余额无法直接购买下载,可以购买VIP、付费专栏及课程。

余额充值