
一、阅读笔记
Alex 的这篇经典论文提出了一下几点重要创新:
ReLU 激活函数
Relu可以加速训练过程,性能损失很小。深卷积神经网络与ReLUs训练的速度比与tanhtanhtanh单位相当的神经网络快几倍。所以,AlexNet中所有的层都采用ReLU作为激活函数。
局部响应归一化
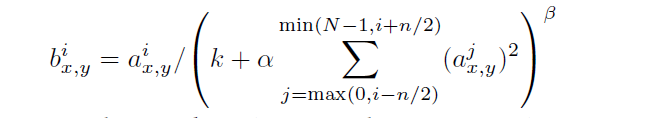
每层的输出,做归一化处理。原文用下面的公式实现归一化:

这个有些不好理解,我举个简单例子,假设通道数N=10,n=3,k=0,α=1,β=0.5N=10,n=3,k=0,\alpha=1,\beta=0.5N=10,n=3,k=0,α=1,β=0.5,则有,
bx,yi=ax,yi/(ax,yi−1)2+(ax,yi)2+(ax,yi+1)2 b_{x,y}^i=a_{x,y}^i/ \sqrt{(a_{x,y}^{i-1})^2+(a_{x,y}^i)^2+(a_{x,y}^{i+1})^2} bx,yi=ax,yi/(ax,yi−1)2+(ax,yi

本文深入探讨AlexNet,一种开创性的深度卷积神经网络,详细介绍了其ReLU激活、局部响应归一化、重叠池化、数据增强及dropout等创新技术,展示了在ImageNet大赛中的卓越表现。
最低0.47元/天 解锁文章
1万+

被折叠的 条评论
为什么被折叠?



