【问题描述】
最近对问题要求在包含有n个点的集合S中,找出距离最近的两个点。设 p1(x1,y1),p2(x2,y2),……,pn(xn,yn)是平面的n个点。

严格地将,最近点对可能不止一对,此例输出一对即可。
【基本算法思想】
暴力法:
在蛮力法实现最近点对问题中,将问题简化:距离最近的点对可能多于一对,找出一对即可,另外只考虑二维平面中的情况。此处考虑到
直接用公式计算其距离(欧几里得距离):

通过遍历所有点集,计算出每一个点对的距离,计算出最近的距离并输出。避免同一对点计算两次,只考虑i<j的点对(pi,pj)。
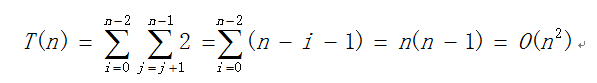
其主要循环的步骤就是求出平方值,执行的次数为:

分治法:
在利用分治法思想解决此问题时,首先考虑将最近对问题进行分治,设计其分治策略。将集合S分成两个子集S1和S2,根据
平衡子问题原则,每个子集中的点数大致都为n/2。这样分治后,最近点对将会出现三种情况:在S1中,在S2中或者最近
点对分别在集合S1和S2中。利用递归分析法分别计算前两种情况,第三种方法另外分析。求解出三类子情况后,
再合并三类情况,比较分析后输出三者中最小的距离。
复杂度分析: 在分治算法中,当求解n个点的集合的最近点对时,对于上述三类情况中的前两者可由递归算得,
而分析可得第三类情况的时间代价 ,合并后问题求解的总的时间按复杂度可由下列公式来:

//分治法求解最近点对问题(C++)
#include<stdio.h>
#include<math.h>
#include<string.h>
#include<algorithm>
#include<iostream>
using namespace std;
struct point{
//点结构
double x,y;
};
double Distance(point a,point b){
return sqrt((a.x-b.x)*(a.x-b.x)+(a.y-b.y)*(a.y-b.y));
}
bool cmp(point a,point b){
//按y升排序辅助函数
return a.y<b.y;
}
bool cmp2(point a,point b){
//按x升排序辅助函数
return a.x<b.x;
}
double closestPoint(point s[],int low,int high,point rec[]){
double d1,d2,d3,d;
int mid,i,j,index;
double x1,y1,x2,y2; //记录点对的位置
point P[high-low+1],temp1[2

该博客介绍了如何使用递归和分治策略解决在二维平面上找到一组点中最接近的点对的问题。作者首先阐述了暴力法的思路,即遍历所有点对计算距离,然后详细解释了分治法的实施过程,将点集分为两部分,通过递归处理子集并分析三种可能的情况。最后,讨论了算法的时间复杂度分析。
最低0.47元/天 解锁文章
1万+

被折叠的 条评论
为什么被折叠?



