1 研究背景
脑同步性近年来被广泛用于衡量面对面互动中的社会连接质量,如信任、合作与共情。然而,如果合作不再是面对面,而是在虚拟空间中通过AR(设备完成,这种神经同步是否还会发生?虚拟化身是否能像真人一样,激发我们的大脑“同频共振”?
近日,韩国汉阳大学的研究者在IEEE Transactions on Visualization and Computer Graphics (IF=6.5)期刊发表题为“Can People’s Brains Synchronize during Remote AR Collaboration?”的研究论文,旨在探索远程AR环境中合作互动的脑同步机制。

2 研究方法
2.1 被试
本研究包括两个实验:研究一旨在探讨远程增强现实(AR)协作中的脑同步性,研究二则用于与传统面对面(Face-to-Face, FTF)协作进行对比。实验使用OBELAB公司生产的NIRSIT LITE脑成像设备,基于功能性近红外光谱成像技术(fNIRS),对被试的前额叶皮层(prefrontal cortex)进行双人同步记录。实验任务采用七巧板拼图任务(Tangram puzzle task),任务设置包括合作与个体两种条件,分别模拟协作与独立完成情境。研究一共招募46名大学生参与远程AR实验,研究二则有48名大学生参与面对面实验,两组均为性别匹配的好友组合。

图1 远程AR空间由Unity软件控制,被试通过两部智能手机和Nreal眼镜进入AR环境,佩戴NIRSIT LITE设备记录脑信号,所有数据通过网络实现同步
2.2 实验流程
实验共包含两个任务模块,每个模块包括四轮交替进行的任务与休息阶段,顺序为:任务–休息–任务–休息–任务–休息–任务,总共完成两轮合作任务和两轮个体任务。在每轮任务中,被试需在规定的120秒内尽可能多地完成拼图任务。合作条件下,两名被试通过语音交流,协同操作虚拟化身,在共享的AR空间中配合完成拼图;而在个体条件下,他们被虚拟屏障隔开,不能看到对方,也不能交流,只能各自独立完成任务。每轮任务结束后,进入为时80秒的休息阶段,在此期间被试被要求闭眼、保持放松,并完成NASA-RTLX认知负荷问卷。

图2 (a)合作条件(红色):被试通过虚拟化身在共享空间中协同完成拼图任务;(b)个体条件(绿色):被试被虚拟隔板隔开,独立完成各自的拼图任务;(c)实验流程示意
3 实验结果
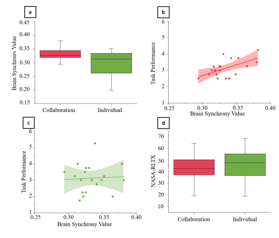
实验结果显示,合作条件下的脑同步性显著高于个体条件,FTF组的脑同步水平高于AR组,主要差异集中在前额极皮层(FPC)与眶额皮层(OFC),而双侧背外侧前额叶皮层(DLPFC)未见组间差异。在脑同步与任务表现的关系方面,合作条件下脑同步水平与完成拼图数量呈显著正相关,而在个体条件下未发现显著相关性。主观认知负荷方面,合作任务认知负荷显著低于个体任务,且AR组的认知负荷普遍低于FTF组。

图3 (a)合作条件下的脑同步性(红)显著高于个体条件(绿);(b)合作条件下脑同步性与任务表现呈正相关;(c)个体条件下两者无显著相关;(d)合作条件下主观认知负荷低于个体条件
4 结论
本研究首次实证表明:即使在远程增强现实(AR)环境中,人类在协作任务中依然能够产生显著的脑同步性,这种同步不仅与任务表现正相关,也有助于降低认知负荷。尽管相比面对面互动,AR情境在部分脑区(如OFC与FPC)中的同步水平略有下降,但整体协作质量并未受明显影响。这一发现为理解虚拟协作中的社会神经机制提供了重要依据,也为基于脑同步的远程交互评估、远程教学与数字医疗等应用场景提供了新的技术路径与理论支持。
785

被折叠的 条评论
为什么被折叠?



