动态监测甘氨酸结晶过程采用低功率超声波反射光谱法
摘要
结晶过程在食品和制药工业中普遍存在,开发用于在线、原位监测的过程分析技术(PAT)对于确保工艺效率和优化产品质量至关重要。目前的PAT技术大多基于电磁波,存在一系列局限性,例如无法准确测量不透明溶液。低功率(<10 W·m−2)脉冲声学技术,如超声反射和速度测量,具有不改变物质、成本低廉、无创且无需稀释即可研究不透明系统的优势。本文提出了一种改进的原位超声技术,并通过与光学浊度法对比,对水中甘氨酸的亚稳区宽度(MSZW)进行了测量,结果具有良好一致性。经曼‐惠特尼U检验,两种技术在MSZW测量上无显著差异。利用该改进技术获得的声速测量值结合密度数据,计算了甘氨酸溶液的绝热压缩性,这是研究相变时一个重要且有用的物理性质。此外,对声学时域测量数据进行了频域分析,结果表明在亚稳区内存在散射体。
1. 引言
从溶液中结晶是一种重要的纯化和分离技术。它能够将溶质从溶液中分离出来,从而获得高纯度产品。因此,结晶过程在许多工业中普遍存在。高纯度晶体对制药、化学和食品行业等多个行业都具有重要意义。晶体除了本身是有价值的产品外,当其被包含在更大的基质中时,还能赋予重要的特性,例如为食品提供质地、为金属提供硬度和脆性,以及决定药品的溶解度和生物利用度。其他晶体性质,如粒径和形貌分布以及多晶型,也可能显著影响颗粒产品的质量。
晶体成核与生长控制对产品的质量和纯度至关重要。饱和点是指在给定溶质浓度下溶剂无法再溶解更多溶质的温度。当温度高于饱和点时,溶液处于未饱和状态,此时无法发生成核和晶体生长。通过降低温度、增加浓度或加入抗溶剂,可实现过饱和,即提供驱动力用于晶体成核和生长的过饱和溶液,处于亚稳区或不稳定区。在亚稳区内,体系处于过饱和状态,但浓度不足以引发晶体的自发初级成核。在低过饱和度下,可通过向溶液中加入晶体来实现结晶,该过程称为接种或二次成核。
浊点是指在生成过饱和时首次检测到稳定晶核的温度。浊点是确定成核动力学的重要参数。它通常与溶解度数据结合使用,以确定特定结晶条件下物质的亚稳区宽度(MSZW)。亚稳区宽度是每个晶体系统的重要且独特的特征。亚稳区宽度不仅取决于体系(溶质/溶剂组合和溶液纯度),还取决于过饱和的方法、过饱和产生的速率以及流体力学条件(例如搅拌速率)。Borji和Jourani (2018)将亚稳区宽度(ΔTmax)定义为;
$$
ΔT_{max} = T_0 - T_c \tag{1}
$$
其中 $T_0$ 为饱和温度,$T_c$ 为浊点。
了解亚稳区的宽度对于工业结晶过程的设计至关重要。亚稳区宽度描述了体系在不同溶剂和特定温度下成核的难易程度。该信息对于控制结晶过程中的粒径和形貌分布以及晶体纯度至关重要。事实上,大多数工业结晶过程采用加晶种法,并在亚稳区内操作,以促进受控的晶体生长和二次成核,而非不受控的初级成核。因此,充分理解亚稳区宽度有助于更轻松地优化晶体粒度分布、晶习和纯度(Ulrich和Strege,2002)。
过程分析技术(PAT)是指可通过分析、设计或控制制造过程来优化制造过程的技术(Simon et al., 2015)。目前有许多技术被用于监测结晶过程并估算成核动力学,其中主要是利用电磁波长的技术(例如,紫外/可见光或红外光谱)。常用于确定浊点的技术包括粒子计数器,如:聚焦光束反射测量(FBRM)(Burbidge et al., 1995;Fujiwara et al., 2002;Barrett and Glennon, 2002)、傅里叶变换红外光谱(FTIRS)(Fujiwara et al., 2002)和光学浊度(Marciniak, 2002;Parsons et al., 2003;Hennessy et al., 2004;Liang et al., 2004;Correia et al., 2006;Callahan and Ni, 2012)。一些较少使用的技术包括密度测定(Marciniak, 2002)和电导率(Lyczko et al., 2002)。部分研究曾使用肉眼作为判断手段(Sangwal et al., 2014;Rahman and Rahman, 2015);然而,该方法不适用于需要高精度和可重复性的工作。
光学和光谱技术由于波长限制,其可检测的晶体尺寸受到限制,同时对不透明系统敏感(Povey, 1997;Povey, 2013)。低功率声学技术具有非破坏性、经济的优点,并且能够测量比大多数光学方法更小的粒径(Povey, 1997)。超声波在制造中的应用主要与高功率声学以及瞬态空化有关,用于诱导晶体成核和生长(声致结晶)。通过将来自声振子(一种产生驻波的谐振器)的高功率超声波导入正在结晶的溶液中,可带来诸多益处,例如控制多晶型、获得更高纯度的晶体以及实现更快的结晶(Nalesso等,2019)。然而,声致结晶是一种改变材料的技术,由于声振子表面降解会导致污染并产生异味,因此通常不适适用于食品级应用(Povey, 1997;Povey, 2013;Povey, 2016)。相关的空化效应还会导致含脂系统发生氧化酸败。低功率、非空化的超声波作为一种不改变材料的技术,具有非破坏性、无创的特点,能够在无需稀释的情况下研究不透明物质(Awad等,2012;Blitz和Simpson,1995)。
尽管声学技术作为结晶过程中的PAT尚未广泛应用,但已有部分研究利用这些技术测定了多种物质(包括水性和非水性)的亚稳区宽度:三氯乙烯中的荧蒽(Marciniak, 2002)、七水硫酸镁(Al-Jibbouri等,2002)、十水硼砂(Gürbüz和Özdemir,2003)、硝酸钾(Titiz-Sargut和Ulrich,2003)、椰子油(Chaleepa等,2010)以及硫酸钾(Nemdili等,2018)。这些声学技术测量的参数包括超声波速度(声波在物质中传播的速度)和超声波衰减(样品传播路径中能量损失和/或散射的程度),二者均依赖于物质的物理性质。将速度测量与密度测量相结合,可进一步测定绝热压缩性。由于溶液中出现固体会整体降低溶液的压缩性,因此绝热压缩性可用于确定成核和结晶的起始点。超声衰减测量则观察振幅的变化,且具有频率依赖性。
在浊点处,通常超声波速度和超声波衰减都会发生显著变化,这与溶液中分散出现的固相有关,该固相的物理性质与悬浮液的物理性质不同。在结晶过程中,溶液浓度发生变化,从而进一步改变超声波速度和衰减。速度的变化是由于在结晶系统的相变过程中,热声性质(如热扩散率、体密度和绝热压缩性)发生变化所致(Akulichev和Bulanov,1983)。这些先前的研究缺乏严谨的信号和数据处理方法,而本研究正是在此方面进行了拓展。此外,这些研究使用了非专用仪器,掩盖了声学技术作为过程分析技术应用的全部优势。
超声波反射光谱(URS)(Tong和Povey,2002)由一个在脉冲回波装置中的换能器组成(图1)。有关脉冲回波装置及其内部工作原理的详细说明,请参见García-Álvarez等人(2013)。多位作者已证明了URS技术在监测结晶过程中的有效性,但其作为原位过程分析技术的应用演示仍有限,且尚未得到优化(Dickinson等人,1993;Hindle等人,2002;Kulmyrzaev等人,2000;Povey,2014;Povey等人,2006)。本研究开发的URS系统,即改进的URS,采用了一种构建为探头的浸入式脉冲回波换能器。通过使用特殊设计的探头,改进的URS可原位应用于实验室和工厂规模(Francis等,2019)。
本研究选择甘氨酸作为模型晶体体系,以证明URS的有效性。甘氨酸是结构最简单的氨基酸,具有三种已知的多晶型,即α, β和γ。通过调节溶液的pH值,可以控制成核的多晶型。在pH 4–9范围内,α多晶型成核并生长,而在pH <4 和>9 时,则有利于γ多晶型。α和γ甘氨酸的溶解度均已明确(Yang等,2008)。
本研究中,将改进的URS技术与标准光学浊度法进行比较,以确定该技术在水溶液中甘氨酸结晶研究中的适用性,包括测量浊点和亚稳区宽度。通过使用快速傅里叶变换(FFT)和频谱分析进行信号处理,展示了声学方法相较于标准光学方法能够获取更广泛的信息。本文研究了甘氨酸的浓水溶液。最近一篇论文引用了稀溶液(0.05至0.38 mol kg−1)甘氨酸的声速和密度数据(Sharma等,2020),这些数据与我们的数据并不完全可比。
2. 物质和方法
2.1. 样品和样品制备
250 mL的>99%纯度α-甘氨酸(英国格洛索普Fluorochem公司)溶液样品在一系列浓度下配制:3.71 mol kg−1、3.51 mol kg−1、3.31 mol kg−1,3.11 mol kg−1、2.93 mol kg−1。溶液在夹套烧杯中用磁力搅拌器以200转/分钟的速度配制,并加热至高于其饱和温度至少5°C,持续30分钟。溶液用塑料薄膜覆盖以减少蒸发并保持溶液浓度恒定。在开始降温程序之前,使用HI 208型pH计(美国罗德岛Hanna Instruments公司)测量每种澄清溶液的pH值。
甘氨酸多晶型物在水中的溶解度由杨等人(2008)描述。为了确定α多晶型物的溶解度,对已发表的数据拟合了二次曲线,并通过以下方式表示
$$
S = 0.0003T^2 + 0.0482T + 1.6043 \tag{2}
$$
其中 S 是甘氨酸在水中的溶解度 (mol kg−1),T是温度 (°C)。
2.2. 改进的URS
改进的URS采用了一个0.25英寸直径50 MHz U8411023宽带换能器(奥林巴斯泛美公司,美国马萨诸塞州沃尔瑟姆),该换能器带有粘附的石英缓冲杆,并封装在SAE 304不锈钢外壳中。该装置配备了一块可调节与缓冲杆之间距离的反射板,以便针对不同物质调整光程长度。测量原理见佟和波维(2002)。
在图1中,换能器在X₀处产生强度为I₀的超声脉冲。UTEX向换能器发射100 V,2 ns脉冲,从而产生宽带超声脉冲。该脉冲传播距离ΔXb,并在时间Δtb到达Xbs处的样品。Xbs是样品的位置到缓冲杆界面。在Xbs处,部分声波被反射,部分被透射。反射信号在时间Δtb内穿过缓冲杆传播距离ΔXb。当到达X₀时,检测到振幅为BR1、时间为2Δtb的脉冲。随后该脉冲继续在缓冲杆内振铃,并在各界面处反射,产生进一步的强度BR2, 、BR3和BR4。后续的振铃仍然存在,但在图1中未显示。与缓冲杆振铃同时发生的是,透射脉冲穿过样品传播距离ΔXs,直到在时间Δtb + Δts到达Xbr处的反射器。反射器的设计使其阻抗严重不匹配,因此R ≈ 1。脉冲传播距离ΔXs,直到到达Xbs,在此处部分信号进入缓冲杆,部分被反射(图1中未显示)。样品中的第一次振铃随后穿过Xbs进入缓冲杆,并再传播ΔXb,直到在时间2Δtb + 2Δts到达X₀。公式(3)和(4)展示了如何利用这两个测量值确定样品中声波的飞行时间C。
$$
C = \frac{\Delta x_b + \Delta x_s}{\Delta t_b + \Delta t_s} - \frac{\Delta x_b}{\Delta t_b} \tag{3}
$$
$$
= \frac{\Delta x_s}{\Delta t_s} \tag{4}
$$
图2展示了由示波器测得的波形。为了量化飞行时间,将波形从示波器导出至MATLAB进行后期处理。采用阈值法找到脉冲中第一个达到<−0.01 V的点,低于该阈值的所有点均被记录。对应样品脉冲起始点的值即为式(5)中的飞行时间值Δts。这种方法有时也称为“前沿”法。
在URS装置中,使用UTEX UT320脉冲发射/接收器(UTEX科学仪器公司,加拿大安大略省)产生声学信号。该脉冲发射/接收器生成一个持续时间为2纳秒、幅值为100伏、重复频率为200赫兹的脉冲。连接至脉冲发射/接收器的HDO4034数字示波器(美国纽约Teledyne Lecroy公司)进行设置,使缓冲杆和样品回波在波形轨迹上清晰可见(图2),并设置适当的窗口以适应温度变化引起的飞行时间改变。波形以矩阵形式保存在MATLAB 2020a(美国马萨诸塞州MathWorks公司)中,并以直角坐标形式绘图。样品的温度通过夹套容器进行控制,M40.165.10硅油(德国奥芬堡Huber Kältemaschinenbau AG公司)由Huber Pilot One Ministat 125恒温器(德国奥芬堡Huber Kältemaschinenbau AG公司)循环至夹套容器中。样品温度由连接至恒温器的PT100温度探头(英国曼彻斯特Omega Engineering公司)监测。样品温度反馈至恒温器,实现精确的温度控制(±0.1°C准确度,±0.01°C精度)。在夹套烧杯下方放置一台mix control eco 1磁力搅拌板(德国慕尼黑2mag公司),内置磁性搅拌子用于搅拌样品(200转/分钟),以保持均匀性。在溶液中,浊度探头和URS探头尽可能靠近放置,所有溶液均持续搅拌以确保均匀性。使用MATLAB 2020a实时导出和处理数据。图3显示了完整的URS装置示意图。
2.3. 飞行时间测量
使用MATLAB 2020a每10秒从示波器导出一次样品脉冲的波形,并附带温度和时间戳。通过“find”函数绘制波形并确定飞行时间,阈值设定为−0.05 V。
2.4. 样品路径长度的校准
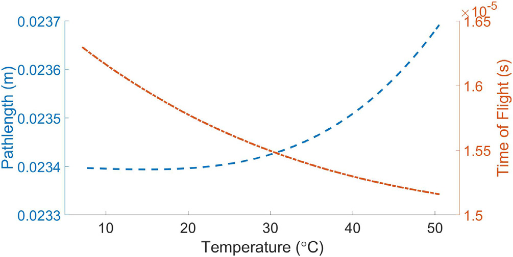
由于石英缓冲杆的热膨胀,URS的样品路径长度随温度变化。为了实现高测量精度,必须考虑这一因素。为测量设定的路径长度,进行了水校准。将水放入夹套容器中并加热至50°C。将URS探头浸入水中,并静置1小时以达到热平衡。以−0.1°C min−1的速率冷却水,并每隔60秒采集一次波形,导出至MATLAB 2020a。将公式(3)重新排列以计算距离参数X,即样品路径长度。使用第2.3节中描述的方法计算飞行时间。将飞行时间作为公式(3)中的时间参数t。使用文献中的水中声速数据(查韦斯等人,1985;比拉纽克和黄,1993)作为公式(3)中的声速参数C。将路径长度绘制为温度的函数,并对数据拟合五次函数。使用水作为校准物质以及文献中水的超声波速度数据(查韦斯等人,1985;比拉纽克和黄,1993)可提供高度准确的超声波速度测量。拟合数据生成了每个温度下路径长度的精确方程。缓冲杆到反射器的距离是可调节的,以适应广泛的样品衰减值,但在任何一次实验中保持固定。所确定的路径长度与使用数字游标卡尺测得的结果在测量误差范围内一致。
2.5. 振幅与衰减测量
在绘制波形(振幅作为时间的函数)后,使用MATLAB 2020a中的“peak2peak”函数测量脉冲的峰峰值幅度。记录初始振幅和实时振幅后,通过公式(2)计算超声波衰减。
$$
\alpha = 20 \cdot \log_{10} \left(\frac{A_0}{A}\right) \tag{5}
$$
其中 A₀为初始振幅,而 A 为实时振幅。
2.6. 速度与绝热压缩性测量
通过测量声脉冲穿过样品并反射回换能器的飞行时间来计算超声波速度。在使用MATLAB 2020a绘制波形后,将样品脉冲与初始激发脉冲之间的时间延迟作为飞行时间进行测量。声速C由公式(3)给出。
$$
C = \frac{X}{t} \tag{6}
$$
其中X为声程(缓冲杆样品界面与样品反射器界面之间距离的两倍),通过已知的水中声速进行校准,t为实验测得的飞行时间。一旦已知密度和声速,即可使用伍德方程(公式(3))计算绝热压缩性。
$$
C = \frac{1}{\sqrt{K\rho}} \tag{7}
$$
其中 C 是声速,K 是绝热压缩性且 ρ 是密度。
使用MATLAB 2020a实时计算超声波速度和绝热压缩性随温度的变化。对数据拟合二次函数,并计算95%置信区间。95%置信区间也分别绘制在相应的图中。
2.7. 光学浊度
所有透射数据均由配备ASD12-N型近红外传感器(波长约700纳米)的Optek Control 4000光学浊度探头(Optek-Danulat GmBH,德国埃森)测量。数据每10秒采集一次。每次实验开始时,当溶液处于未饱和状态,将透射率设为100%。数据被导出至MATLAB 2020a进行进一步分析。光学透射数据可作为时间的函数与改进的URS数据进行可视化和比较。
2.8. 甘氨酸结晶方案
在所有结晶实验中,甘氨酸溶液以−0.5°C/min的速率冷却,并在最终温度5°C下保持15分钟。随后,溶液以2°C/min的速率重新加热以重新溶解晶体,并在高于饱和温度5°C的条件下保持30分钟。为确保晶体完全溶解,通过目视检查并测量光学透射率。每种溶液至少重复此循环四次以检验重复性。URS和光学浊度测量数据每隔10秒采集一次,并连同实时温度和时间戳导出至MATLAB 2020a。
2.9. 亚稳区宽度和浑浊点的确定
MSZW使用MATLAB 2020a确定在URS和光学浊度数据中疑似发生相变(成核)的时间点。在改进的URS的衰减数据以及光学浊度的光学透射数据上应用了MATLAB 2020a中的“findchangepts”函数,以确定相变发生的温度。光学透射被用作参考,以判断相变的发生。为验证两个探头测量结果的一致性,在Excel 2010(微软,美国华盛顿)中计算了标准差。采用SPSS 26版(IBM,美国纽约)进行曼-惠特尼U检验(n = 46,95%置信区间),以确定改进的URS与光学浊度之间在光学浊点测量温度上的差异。
为了测量亚稳区宽度,浊点数据被平均并用于公式Eq. (1)。
2.10. 密度测定
使用DMA 4500密度计(安东帕,有限公司,奥地利格拉茨)测量甘氨酸溶液的密度。在样品分析之前,通过水的已知密度值(斯皮韦克和贝廷,1992)检查了仪器的准确性,误差范围平均为±3.7 × 10⁻³ kg m⁻³,在仪器误差范围内。将甘氨酸溶液注入样品架中,并将温度升高至高于饱和温度10°C,然后平衡10分钟。使用内置摄像头确保样品室中无气泡或固体颗粒。样品进出口用实验室塑料膜覆盖以减少蒸发。在频繁间隔的温度下采集数据点,直至达到20°C的过冷度。在每个测量温度下,样品需平衡5分钟。这些密度测量重复四次并取平均值。总体的标准偏差在Excel 2010(微软,华盛顿雷德蒙德)中计算得出。
2.11. 频率分析与改进的URS
相对功率谱测量首先通过示波器对脉冲进行快速傅里叶变换(FFT)。存储功能记录了实验起始点的FFT参考帧。实时快速傅里叶变换结果与该参考轨迹相减。每10秒采集一次样本脉冲和光谱,并连同相应的时间和温度信息导出至MATLAB 2020a。功率谱作为频率的函数进行绘图。不同频率的强度(10 MHz–50 MHz)也以10兆赫为间隔绘制了随时间变化的曲线,并与光学透射随时间变化的曲线进行了对比。这些声学数据在MATLAB 2020a中使用稳健二次回归进行了平滑处理。
3. 结果和讨论
3.1. 甘氨酸溶液pH的测定
pH在最高和最低浓度下分别为5.64和6.26。因此,假设在这些实验中α会发生成核,而γ不会发生成核。
3.2. 改进型URS路径长度的确定
每次使用改进的URS之前,需要针对其将使用的温度范围计算光程长度。图4显示了在实验温度范围内通过水校准得到的光程长度和飞行时间的变化。
3.3. 浊点和亚稳区宽度的测定及光学浊度验证
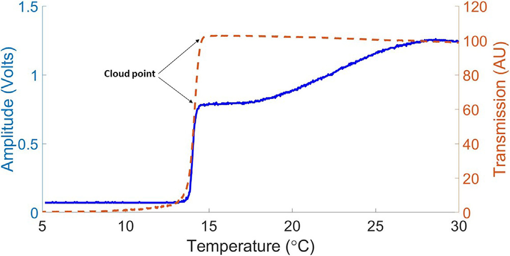
改进的URS与光学浊度对浊点测定的相互验证如图4所示。图5显示,在甘氨酸溶液冷却过程中,声学振幅发生了变化。有趣的是,尽管在结晶(浊点)发生前光学透射保持在约100 AU的相对恒定水平,但超声振幅在结晶事件发生前已发生显著变化(图5)。在30°C和14°C之间是亚稳区,无可见晶体存在。在30°C和14°C之间振幅的降低表明有散射体生成,因此在过饱和溶液中可能发生聚集过程。过饱和溶液的结构甘氨酸溶液存在争议(查托帕迪亚等,2005;黄等,2008;弗里安特-米歇尔和鲁伊斯-洛佩斯,2010;亚尼等,2012;津比塔斯等,2019;迪乔阿基诺等,2020)。
在约14°C时,超声信号的振幅和光学透射均出现突然下降。这是浊点,意味着晶核已可通过光学方法检测到,并导致信号发生散射。在14°C时声学振幅的突然下降是由于成核及随后的晶体生长所致。此时,溶液因存在散射可见光的晶体而变得浑浊。在此下降之后,由于信号完全被散射,因而无法反射回换能器,导致振幅进入平台期。
将这种衰减的降低与出现的固态物质的性质和数量相关联仍是一个尚未解决的挑战,因为散射过程的复杂性源于晶体物质在尺寸、形态和数量上的同时变化(Mougin等,2002)。衰减突然增加的点被确定为浊点,即首个晶体出现的时刻。进一步冷却后衰减趋于平缓,这是由于大量晶体对声波的散射所致,且可能同时存在多重散射效应。
亚稳区宽度通过测量浊点并结合α-甘氨酸在水中的溶解度数据(公式(2))利用公式(1)计算得出。对这些数值的验证表明,改进的URS与光学浊度在测定亚稳区宽度时具有良好的一致性。图6显示,所有测量结果均在标准偏差范围内一致。在较低浓度下,亚稳区宽度增大,这一现象被两种设备均识别到。因此,这是实验条件所致,而非测量能力的问题。
采用曼-惠特尼U检验来确定两种测量技术的一致性。改进的URS与光学浊度测量之间的光学浊点温度差异无统计学显著性,曼-惠特尼U检验得分= 251.000,Z分数= −0.297,效应量r = 0.044。因此,可以认为这两种技术具有良好的一致性。
本研究决定仅在一种降温速率下测定亚稳区宽度,以验证这两种技术。未来的研究建议采用多种降温速率进行。
3.4. 密度测定 速度测量 和 绝热压缩性测量
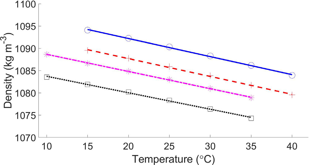
本文展示了通过密度和超声波速度测量来计算绝热压缩性的能力。测量在未饱和和过饱和条件下进行,而不适用于存在分散晶体的情况。在所使用的密度计中结晶溶液是不合适的,因此未来的工作将包括通过改进的URS进行原位密度测量,而无需使用密度计。四种不同浓度的甘氨酸溶液随温度变化的密度如图7所示。
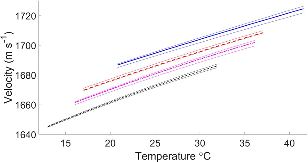
发现甘氨酸水溶液的密度随浓度成比例增加,这是由于溶质体积分数增加所致,而溶质的密度高于水的密度。图7显示密度随温度升高而降低。这是由于溶液密度增加时所占体积变小,因此随着溶液体积减小,甘氨酸的体积分数增加。标准偏差的溶液测量值在图7中均在仪器分辨率范围内(±5.00 × 10⁻³ kg m⁻³)。线性函数被拟合到密度测量的平均值上(所有情况下的r² > 0.995)。在完成密度测量后,使用改进的URS对甘氨酸溶液进行了速度测量。这些测量结果在相同的温度范围内的数据如图8所示。
图8展示了超声波速度随温度的变化情况。实验从较高温度开始,以−0.5°C min−1的速率进行冷却。所使用的四种浓度均显示出相同趋势,即超声波速度随温度降低而减小。已有研究显示,在水中声速每摄氏度降低约3 m s−1 °C−1(波维,1997),因此该趋势并不意外。
图7(密度)和图8(超声波速度)的数据被用于通过伍德方程(公式(7))计算样品的绝热压缩性。样品的绝热压缩性如图9所示。
图9显示,甘氨酸的绝热压缩性随着浓度的增加而减小。此外,观察到所有甘氨酸溶液的绝热压缩性在溶液冷却时均有所增加。对于绝热压缩性增加的一种解释是样品的性质主要由水决定,因为水占据了样品体积的大部分。众所周知,水具有不寻常的物质特性,并且由于二十面体水团簇的膨胀,在40°C以下绝热压缩性增加的现象已有文献记载(Fine和Millero,1973;Loboda和Goncharuk,2010)。
3.5. 功率谱分析
尽管峰峰值幅度测量在检测相变温度方面是有用的,但它确实存在局限性。声波脉冲内部可能发生一些变化,而幅度测量无法检测到这些变化。为了更深入地了解甘氨酸溶液在结晶过程中的情况,对其进行了频域分析。甘氨酸溶液的功率谱分析结果如图10所示。
对URS的时间分辨信号进行快速傅里叶变换分析,可以更仔细地检查声脉冲内部发生的变化。频率谱的变化先于峰峰值幅度的变化出现。相较于时域分析,频率空间在声学分析中的应用较少(Reiner等,2018)。
从图10A、B和图11可以看出,样品脉冲频率发生了变化,而仅通过幅度测量无法检测到这些变化。本研究中的幅度测量采用的是峰峰值幅度。在这种分析方法中,仅测量样品脉冲的最高波峰和最低波谷,因此脉冲内较小的峰的任何变化均无法被检测到。这并不被认为是一个严重问题,因为改进的URS与光学透射之间仍然保持较好的一致性;然而,图10突出显示了在幅度测量响应之前,样品脉冲中已经发生了变化。光学浊度探头使用的是近红外区域,波长约为700纳米。晶体只有达到这一尺寸时才会散射光。
图10A和B显示,随着温度降低,较低频率的声波衰减更明显,这体现在其强度的下降上。在图10A中,较低频率出现在波形的较早时间(波形左侧),而较高频率则出现在较晚时间(波形右侧)。这一点在图10B和图11中强度的下降趋势中得以证实。因此,由于较低频率具有更高的强度,它们在峰峰值幅度测量中占主导地位。在图11中,10兆赫的强度下降与光学透射的下降几乎同时发生;而20兆赫、30兆赫、40兆赫和50兆赫的强度下降则早于光学透射的下降。
从图10A可以看出,样品脉冲的波周期数量随温度变化,较高温度下的脉冲比低温度下的脉冲包含更多的周期。脉冲中的较高频率成分比低频率成分出现得更晚,这意味着声速是频率的函数,对频率相关衰减与速度之间关系的详细分析可能需要进一步研究,这超出了本工作的范围。
从图10可以看出,随着时间的推移,样品脉冲的每个组成频率在强度变化上表现出不同的响应。特定频率处的变化是由于样品介质物理性质的改变,例如晶体生长;随着温度进一步降低,晶体变得更大,且在光学透射响应之前就已表现出超声波散射体的特征。这一问题将在后续论文中加以探讨。
4. 结论
工业界对有效的过程分析技术(PAT)有强烈的需求,本文展示的案例表明该技术能够满足这一需求。本文提出的改进的URS是研究水体系冷却结晶的有力工具。它能够精确测量超声波速度和衰减,从而实现对溶液中冷却结晶过程的研究。通过衰减测量确定了甘氨酸的亚稳区宽度(MSZW),在降温速率为−0.5°C min−1时,MSZW约为16°C。通过快速傅里叶变换(FFT)和功率谱测量,可以提取更多信息,这将作为后续论文的主题。
过饱和溶液中甘氨酸分子的结构仍然是一个有争议的话题。在本研究中,没有提出特定自组装的情况,但我们证明了在成核和结晶发生之前,亚稳区内的过饱和溶液中发生了变化。密度测定测量与改进的URS结合可以量化样品的绝热压缩性;然而,仍需要进行原位密度测量。
通过URS测量确定的浊点与光学浊度测量结果非常接近,因此由URS确定的亚稳区宽度与光学浊度测量具有相同数量级的准确性。改进的URS似乎比光学浊度测量和标准时域声学测量更早响应相变。本文结果证实,声学测量适用于结晶过程分析技术。
将该技术的应用范围扩展到晶体相变之外将大有裨益。该技术的应用前景广阔,值得进一步开展后续研究。
1583

被折叠的 条评论
为什么被折叠?



