https://leetcode.cn/problems/validate-binary-search-tree/
给你一个二叉树的根节点 root ,判断其是否是一个有效的二叉搜索树。
有效 二叉搜索树定义如下:
- 节点的左子树只包含 严格小于 当前节点的数。
- 节点的右子树只包含 严格大于 当前节点的数。
- 所有左子树和右子树自身必须也是二叉搜索树。
示例 :

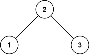
输入:root = [2,1,3] 输出:true
/**
* Definition for a binary tree node.
* public class TreeNode {
* int val;
* TreeNode left;
* TreeNode right;
* TreeNode() {}
* TreeNode(int val) { this.val = val; }
* TreeNode(int val, TreeNode left, TreeNode right) {
* this.val = val;
* this.left = left;
* this.right = right;
* }
* }
*/
public class hot98 {
//时间复杂度O(n)
//空间复杂度O(n)
public boolean isValidBST(TreeNode root) {
// 初始时节点值的有效范围是(Long.MIN_VALUE, Long.MAX_VALUE)
return isValidBST(root, Long.MIN_VALUE, Long.MAX_VALUE);
}
private boolean isValidBST(TreeNode node, long minVal, long maxVal) {
if (node == null) {
return true;
}
// 检查当前节点的值是否超出有效范围
if (node.val <= minVal || node.val >= maxVal) {
return false;
}
// 递归检查左右子树:
// 1. 左子树:所有值必须小于当前节点值,所以更新上界为node.val
// 2. 右子树:所有值必须大于当前节点值,所以更新下界为node.val
return isValidBST(node.left, minVal, node.val) &&
isValidBST(node.right, node.val, maxVal);
}
}
验证二叉搜索树的有效性
897

被折叠的 条评论
为什么被折叠?



