✅作者简介:热爱科研的Matlab仿真开发者,擅长数据处理、建模仿真、程序设计、完整代码获取、论文复现及科研仿真。
🍎 往期回顾关注个人主页:Matlab科研工作室
🍊个人信条:格物致知,完整Matlab代码获取及仿真咨询内容私信。
🔥 内容介绍
无人船在海洋探测、环境监测、搜救救援、智能航运等领域的应用日益广泛,相较于单无人船作业,多无人船协同作业具备覆盖范围广、作业效率高、容错性强等显著优势。其中,协同路径跟踪是多无人船完成复杂任务的核心基础,要求多艘无人船在遵循预设参考路径的同时,保持指定的队形姿态,规避海洋环境中的障碍物与同伴碰撞。
但多欠驱动无人船的协同路径跟踪面临多重技术挑战:欠驱动无人船存在控制输入约束(如仅能控制推进力和转向角,无法直接控制横向速度),导致轨迹跟踪的可控性降低;海洋环境存在强干扰(如风浪流扰动),易破坏跟踪精度与队形稳定性;多船协同需解决信息交互延迟、个体动力学差异带来的协同一致性问题。传统控制方法(如PID控制、滑模控制)难以兼顾轨迹跟踪精度、队形稳定性与抗干扰能力,而Lyapunov方法凭借“构造能量函数验证稳定性”的核心特性,能为多欠驱动无人船协同控制提供严格的稳定性保障,有效破解上述痛点。本文将深入拆解“基于Lyapunov方法的多欠驱动无人船协同路径跟踪控制”的核心逻辑,从问题本质、控制原理到稳定性验证完整呈现。
基础认知:先搞懂多欠驱动无人船协同路径跟踪的核心逻辑
1. 核心概念与控制目标
首先明确三个核心概念:① 欠驱动无人船:指控制输入个数小于自由度个数的无人船,典型的水面无人船通常为3自由度(横荡、纵荡、艏摇),仅2个控制输入(推进力、转向力矩),横荡运动无法直接控制,需通过纵荡与艏摇的耦合运动间接调节;② 协同路径跟踪:包含“个体路径跟踪”与“群体协同”两个层面,个体需精准跟踪各自参考路径,群体需保持预设队形(如直线形、三角形、菱形);③ Lyapunov方法:一种基于能量衰减原理的稳定性分析与控制器设计方法,通过构造Lyapunov函数(能量函数),证明系统状态随时间演化趋于目标状态,确保控制过程的稳定性。
多欠驱动无人船协同路径跟踪的核心控制目标分为三层:① 跟踪精度目标:所有无人船的实际位置与姿态需快速逼近各自参考路径,跟踪误差(位置误差、姿态误差)收敛至零或允许范围内;② 协同队形目标:多船之间的相对距离、相对角度需保持预设值,避免碰撞与队形溃散;③ 抗干扰鲁棒目标:在风浪流等外部干扰下,仍能维持跟踪精度与队形稳定性,不出现发散现象。
2. 核心挑战与Lyapunov方法的适配性
多欠驱动无人船协同路径跟踪的核心挑战集中在三个维度:① 欠驱动特性带来的控制耦合:横荡运动无法直接控制,需通过纵荡与艏摇的耦合关系间接调控,增加了轨迹跟踪的控制难度;② 多船协同的一致性难题:多船个体存在动力学差异(如载重不同、推进效率差异),且信息交互存在延迟,易导致队形一致性破坏;③ 外部干扰的不确定性:海洋风浪流干扰具有随机性、时变性,会直接影响无人船的运动状态,降低跟踪精度。
Lyapunov方法之所以能适配这些挑战,核心优势在于:① 稳定性保障严格:通过构造Lyapunov函数并证明其导数小于零,可严格保证控制系统的渐进稳定性,从理论上规避跟踪误差发散、队形溃散的风险;② 抗干扰设计灵活:可将外部干扰纳入Lyapunov函数的设计中,通过自适应律估计干扰幅值,实现抗干扰控制器的精准设计;③ 协同一致性融合便捷:可将多船协同的一致性条件转化为Lyapunov函数的约束项,确保个体跟踪与群体协同的稳定性同步满足。
核心原理:基于Lyapunov方法的协同控制体系构建
基于Lyapunov方法的多欠驱动无人船协同路径跟踪控制体系,核心分为“个体跟踪控制器设计”“协同一致性控制器设计”“Lyapunov稳定性验证”三个层级,通过层级化设计实现“个体精准跟踪+群体稳定协同”的目标。完整控制流程可概括为“动力学建模-参考路径生成-协同信息交互-控制律设计-稳定性验证”五个关键步骤,下面逐一拆解实现逻辑。
1. 第一步:多欠驱动无人船动力学建模
动力学建模是控制设计的基础,需精准描述无人船的运动特性与外部干扰。针对多欠驱动无人船,通常采用“三自由度非线性动力学模型”,并考虑风浪流干扰项,模型表达式如下:
Mν̇ + C(ν)ν + D(ν)ν = τ + τ_d
η̇ = J(η)ν
其中,η = [x, y, ψ]^T 为无人船在大地坐标系下的位置与姿态(x,y为位置坐标,ψ为艏摇角);ν = [u, v, r]^T 为船体坐标系下的线速度与角速度(u为纵荡速度,v为横荡速度,r为艏摇角速度);M为惯性矩阵(含附加质量);C(ν)为科里奥利-离心力矩阵;D(ν)为阻尼矩阵;τ = [τ_u, 0, τ_r]^T 为控制输入(τ_u为推进力,τ_r为转向力矩,横荡方向无直接控制输入,故为0);τ_d为风浪流干扰项;J(η)为坐标变换矩阵,实现船体坐标系与大地坐标系的运动转换。
对于多船系统,需为每艘无人船建立独立的动力学模型,并通过信息交互拓扑(如无向图、有向图)描述多船之间的信息传递关系(如相邻船之间的位置、姿态信息交互)。
2. 第二步:参考路径生成与跟踪误差定义
参考路径生成需兼顾“个体路径”与“群体队形”:首先根据任务需求(如区域探测、路径巡逻)生成全局参考路径,再基于预设队形(如领导者-追随者队形、一致性队形)为每艘无人船分配局部参考路径。例如,领导者-追随者队形中,指定1艘无人船为领导者,跟踪全局参考路径;其余追随者根据领导者的位置与预设相对距离、角度,生成各自的局部参考路径。
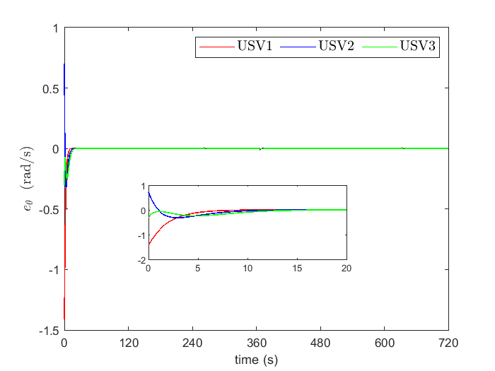
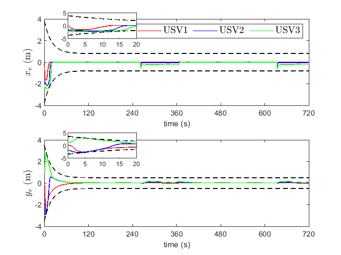
跟踪误差定义是控制器设计的关键,需将位置误差与姿态误差转化为便于控制的形式。考虑到欠驱动特性,通常在“Serret-Frenet坐标系”(路径坐标系)下定义跟踪误差:设参考路径为γ(s)(s为路径参数,代表沿路径的弧长),定义误差向量e = [e₁, e₂, e₃]^T,其中e₁为沿路径方向的跟踪误差,e₂为垂直于路径方向的横向误差,e₃为姿态误差(实际艏摇角与路径切线角的差值)。这种误差定义可将复杂的三维跟踪问题转化为沿路径与垂直路径的二维误差控制问题,适配欠驱动特性的控制需求。
3. 第三步:基于Lyapunov的控制律设计(核心环节)
控制律设计分为“个体跟踪控制律”与“协同一致性控制律”两部分,均以Lyapunov稳定性为核心依据:
① 个体跟踪控制律设计:针对单艘欠驱动无人船的跟踪误差e,构造Lyapunov函数V₁(能量函数),通常采用误差的二次型函数形式:V₁ = (1/2)e₁² + (1/2)e₂² + (1/2)e₃²,其核心思想是“误差越大,能量越高;误差收敛至零,能量降至最低”。对V₁求时间导数V₁̇,根据Lyapunov稳定性条件(V₁>0,V₁̇≤0),设计推进力τ_u与转向力矩τ_r的控制律,确保V₁̇≤0。例如,针对横向误差e₂(欠驱动方向),通过调节转向力矩τ_r控制艏摇角误差e₃,间接抑制e₂的增长,实现横向误差的稳定收敛。
② 协同一致性控制律设计:为保证多船队形稳定,需在个体控制律基础上引入协同项。首先定义多船之间的相对误差(如追随者与领导者的相对位置误差、相对姿态误差),构造协同Lyapunov函数V₂,V₂包含所有无人船的个体跟踪误差能量与多船相对误差能量。对V₂求导后,设计协同控制项(如基于邻居船信息的反馈项),融入个体控制律中,确保V₂̇≤0,实现“个体跟踪误差收敛”与“多船相对误差收敛”的同步满足。例如,领导者-追随者队形中,追随者的控制律不仅包含自身跟踪误差的反馈,还包含与领导者相对误差的反馈,确保追随者能实时跟随领导者的运动状态。
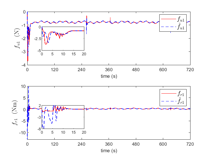
③ 抗干扰自适应控制律优化:针对风浪流干扰τ_d,在Lyapunov函数中引入干扰估计项,设计自适应律估计干扰幅值。将估计的干扰值纳入控制律中,实现“干扰补偿”,确保即使存在外部干扰,Lyapunov函数的导数仍满足V̇≤0,提升系统的抗干扰鲁棒性。
4. 第四步:Lyapunov稳定性验证
稳定性验证是基于Lyapunov方法控制设计的核心环节,需严格证明所设计的控制律能使系统满足Lyapunov稳定性条件:① 构造的Lyapunov函数V(通常为V=V₁+V₂,融合个体与协同能量)满足V>0(正定);② V对时间的导数V̇≤0(半负定);③ 当V̇=0时,系统状态仅在目标状态(跟踪误差为零、相对误差为零)处保持不变(Lasalle不变集原理)。通过这三步验证,可从理论上严格保证多欠驱动无人船的协同路径跟踪过程是渐进稳定的,即跟踪误差与相对误差最终会收敛至零,队形保持稳定。
5. 第五步:信息交互与控制指令执行
多船协同依赖可靠的信息交互,通过无线通信模块(如WiFi、5G、水声通信)构建信息交互网络,相邻无人船之间实时传递位置、姿态、速度等状态信息。控制单元根据接收的信息与设计的控制律,计算出推进力τ_u与转向力矩τ_r的控制指令,通过执行机构(推进器、舵机)驱动无人船运动,同时实时采集无人船的实际状态信息,形成闭环控制,持续修正跟踪误差与队形偏差。
⛳️ 运行结果








📣 部分代码
%[xd, yd, psid, psif, xe, ye, w] = LOS2( pc, k1, delta, x, y, psi, U, beta, w, ts )
%%%% INPUT:
% pc : chose curved path
% -------------------pc-----------------------------------
% 1: stright line path; 2: sinusoidal path; 3: circle path
% -------------------pc-----------------------------------
% k1 : k1 make xe converge to 0
% delta : look-ahead distance
% x,y,psi : USV position and heading angle in north-east reference frame
% U : USV course speed, U = sqrt(u^2+v^2)
% beta : USV sideslip angle, beta = atan2(v,u)
% w : path parameter, xd = xd(w), yd = yd(w)
% ts : sample time , be used to update path parameter w
% t : simulation time, decide when to change path
%%%% OUTPUT:
% xd,yd : path point, xd = xd(w), yd = yd(w)
% psid : disaired course angle
% psif : path tangent-angle to north-axis
% xe,ye : longitude and latitude error described in SF reference frame
% w : path parameter, xd = xd(w), yd = yd(w)
persistent kxe kye kew kr
if isempty(kr)
kxe = 2;
kye = 1;
kew = 0.5;
kr = 5;
end
% inputs
x = eta(1); y = eta(2); psi= eta(3);
u = nu(1); v = nu(2); r = nu(3);
U = sqrt(u^2+v^2);
beta = atan2(v,u);
% 误差约束
vab = 0.05;
sa = 0.8;
sb = 0.5;
a = 3*exp(-vab*t)+sa;
b = 3*exp(-vab*t)+sb;
adot = -3*vab*exp(-vab*t);
bdot = -3*vab*exp(-vab*t);
% curved path
switch pc
case 1
%---------------直线路径-----------------
xd = 10;
yd = w;
xd_dw = 0;
yd_dw = 1;
xd_ddw = 0; yd_ddw = 0;
case 2
%---------------正弦曲线路径--------------
xd = 8*cos(0.1*w);
yd = 5*w;
xd_dw = -0.8*sin(0.1*w);
yd_dw = 5;
xd_ddw = -0.08*cos(0.1*w); yd_ddw = 0;
case 3
%---------------圆形路径------------------
R = 10;
xd = R*cos(w);
yd = R*sin(w);
xd_dw = -R*sin(w);
yd_dw = R*cos(w);
xd_ddw = -R*cos(w); yd_ddw = -R*sin(w);
case 4
%---------------混合路径------------------
xd = 10;
yd = w;
xd_dw = 0; xd_ddw = 0;
yd_dw = 1; yd_ddw = 0;
if w >= 80
R = 10;
xd = R*cos(w-80);
yd = R*sin(w-80)+80;
xd_dw = -R*sin(w-80); xd_ddw = -R*cos(w-80);
yd_dw = R*cos(w-80); yd_ddw = -R*sin(w-80);
end
if w >= 80+pi
xd = -10;
yd = -(w-80-pi)+80;
xd_dw = 0; xd_ddw = 0;
yd_dw = -1; yd_ddw = 0;
end
if w >= 160+pi
xd = R*cos(w-160-pi+pi);
yd = R*sin(w-160-pi+pi);
xd_dw = -R*sin(w-160-pi+pi); xd_ddw = -R*cos(w-160-pi+pi);
yd_dw = R*cos(w-160-pi+pi); yd_ddw = -R*sin(w-160-pi+pi);
end
if w >= 160+2*pi
xd = 10;
yd = w-160-2*pi;
xd_dw = 0; xd_ddw = 0;
yd_dw = 1; yd_ddw = 0;
end
end
%---------------------------------------------------------
kc = abs(xd_dw*yd_ddw-yd_dw*xd_ddw)/sqrt(xd_dw^2+yd_dw^2)^3; % 曲线路径的曲率
psip = atan2(yd_dw,xd_dw); % 路径虚拟参考点切线与x轴夹角
xe = cos(psip) * (x - xd) + sin(psip) * (y - yd); % USV与虚拟参考点的纵向误差
ye = -sin(psip) * (x - xd) + cos(psip) * (y - yd); % USV与虚拟参考点的横向误差
% 路径参数更新
wdot = vs-kew*ew;
w = euler2(wdot, w, ts);
% 制导率设计
ud1 = sqrt(xd_dw^2 + yd_dw^2);
up = wdot*ud1;
ud2 = up*(1-kc*ye*(1-cos(pi*xe^2/2/a^2)^2/cos(pi*ye^2/2/b^2)^2));
Ud = sqrt((ud1*vs)^2+v^2);
kxe0 = sqrt((adot/a)^2+2);
rhoe = bdot/b*Ud;
alphae = kye*b^2*sin(pi*(ye+eps)^2/2/b^2)*cos(pi*ye^2/2/b^2)/pi/(ye+eps);
kye0 = (rhoe^2*alphae*ye+rhoe*sqrt(delta*(1-rhoe^2*ye^2)+alphae^2))/(1-rhoe^2*ye^2);
oe = kye*b^2*sin(pi*(ye+eps)^2/2/b^2)*cos(pi*ye^2/2/b^2)/pi/(ye+eps)+kye0*ye;
alpha_u = 2*u*sin((psi-psip)/2)^2+v*sin((psi-psip)/2)-...
kxe0*xe-kxe*a^2*sin(pi*(xe+eps)^2/2/a^2)*...
cos(pi*xe^2/2/a^2)/pi/(xe+eps)+ud2;
alpha_psi = psip-beta-atan2(oe,delta);
persistent alpha_psif Tf
if isempty(Tf)
Tf = 0.1;
alpha_psif = alpha_psi;
end
alpha_psif_dot = -ssa(alpha_psif-alpha_psi)/Tf;
alpha_psif = ts*alpha_psif_dot+alpha_psif;
psie = ssa(psi-alpha_psif);
qpsi = ssa(alpha_psif-alpha_psi);
rho = (cos(alpha_psi-psip+beta)*sin(psie+qpsi+eps)+sin(alpha_psi-psip+beta)*(cos(psie+qpsi+eps)-1))/(psie+qpsi+eps);
alpha_r = -kr*psie+alpha_psif_dot-(ye/cos(pi*ye^2/2/b^2)^2)*U*rho;
🔗 参考文献
🎈 部分理论引用网络文献,若有侵权联系博主删除
👇 关注我领取海量matlab电子书和数学建模资料
🏆团队擅长辅导定制多种科研领域MATLAB仿真,助力科研梦:
🌟 各类智能优化算法改进及应用
生产调度、经济调度、装配线调度、充电优化、车间调度、发车优化、水库调度、三维装箱、物流选址、货位优化、公交排班优化、充电桩布局优化、车间布局优化、集装箱船配载优化、水泵组合优化、解医疗资源分配优化、设施布局优化、可视域基站和无人机选址优化、背包问题、 风电场布局、时隙分配优化、 最佳分布式发电单元分配、多阶段管道维修、 工厂-中心-需求点三级选址问题、 应急生活物质配送中心选址、 基站选址、 道路灯柱布置、 枢纽节点部署、 输电线路台风监测装置、 集装箱调度、 机组优化、 投资优化组合、云服务器组合优化、 天线线性阵列分布优化、CVRP问题、VRPPD问题、多中心VRP问题、多层网络的VRP问题、多中心多车型的VRP问题、 动态VRP问题、双层车辆路径规划(2E-VRP)、充电车辆路径规划(EVRP)、油电混合车辆路径规划、混合流水车间问题、 订单拆分调度问题、 公交车的调度排班优化问题、航班摆渡车辆调度问题、选址路径规划问题、港口调度、港口岸桥调度、停机位分配、机场航班调度、泄漏源定位、冷链、时间窗、多车场等、选址优化、港口岸桥调度优化、交通阻抗、重分配、停机位分配、机场航班调度、通信上传下载分配优化
🌟 机器学习和深度学习时序、回归、分类、聚类和降维
2.1 bp时序、回归预测和分类
2.2 ENS声神经网络时序、回归预测和分类
2.3 SVM/CNN-SVM/LSSVM/RVM支持向量机系列时序、回归预测和分类
2.4 CNN|TCN|GCN卷积神经网络系列时序、回归预测和分类
2.5 ELM/KELM/RELM/DELM极限学习机系列时序、回归预测和分类
2.6 GRU/Bi-GRU/CNN-GRU/CNN-BiGRU门控神经网络时序、回归预测和分类
2.7 ELMAN递归神经网络时序、回归\预测和分类
2.8 LSTM/BiLSTM/CNN-LSTM/CNN-BiLSTM/长短记忆神经网络系列时序、回归预测和分类
2.9 RBF径向基神经网络时序、回归预测和分类
2.10 DBN深度置信网络时序、回归预测和分类
2.11 FNN模糊神经网络时序、回归预测
2.12 RF随机森林时序、回归预测和分类
2.13 BLS宽度学习时序、回归预测和分类
2.14 PNN脉冲神经网络分类
2.15 模糊小波神经网络预测和分类
2.16 时序、回归预测和分类
2.17 时序、回归预测预测和分类
2.18 XGBOOST集成学习时序、回归预测预测和分类
2.19 Transform各类组合时序、回归预测预测和分类
方向涵盖风电预测、光伏预测、电池寿命预测、辐射源识别、交通流预测、负荷预测、股价预测、PM2.5浓度预测、电池健康状态预测、用电量预测、水体光学参数反演、NLOS信号识别、地铁停车精准预测、变压器故障诊断
🌟图像处理方面
图像识别、图像分割、图像检测、图像隐藏、图像配准、图像拼接、图像融合、图像增强、图像压缩感知
🌟 路径规划方面
旅行商问题(TSP)、车辆路径问题(VRP、MVRP、CVRP、VRPTW等)、无人机三维路径规划、无人机协同、无人机编队、机器人路径规划、栅格地图路径规划、多式联运运输问题、 充电车辆路径规划(EVRP)、 双层车辆路径规划(2E-VRP)、 油电混合车辆路径规划、 船舶航迹规划、 全路径规划规划、 仓储巡逻、公交车时间调度、水库调度优化、多式联运优化
🌟 无人机应用方面
无人机路径规划、无人机控制、无人机编队、无人机协同、无人机任务分配、无人机安全通信轨迹在线优化、车辆协同无人机路径规划、
🌟 通信方面
传感器部署优化、通信协议优化、路由优化、目标定位优化、Dv-Hop定位优化、Leach协议优化、WSN覆盖优化、组播优化、RSSI定位优化、水声通信、通信上传下载分配
🌟 信号处理方面
信号识别、信号加密、信号去噪、信号增强、雷达信号处理、信号水印嵌入提取、肌电信号、脑电信号、信号配时优化、心电信号、DOA估计、编码译码、变分模态分解、管道泄漏、滤波器、数字信号处理+传输+分析+去噪、数字信号调制、误码率、信号估计、DTMF、信号检测
🌟电力系统方面
微电网优化、无功优化、配电网重构、储能配置、有序充电、MPPT优化、家庭用电、电/冷/热负荷预测、电力设备故障诊断、电池管理系统(BMS)SOC/SOH估算(粒子滤波/卡尔曼滤波)、 多目标优化在电力系统调度中的应用、光伏MPPT控制算法改进(扰动观察法/电导增量法)、电动汽车充放电优化、微电网日前日内优化、储能优化、家庭用电优化、供应链优化\智能电网分布式能源经济优化调度,虚拟电厂,能源消纳,风光出力,控制策略,多目标优化,博弈能源调度,鲁棒优化
电力系统核心问题经济调度:机组组合、最优潮流、安全约束优化。新能源消纳:风光储协同规划、弃风弃光率量化、爬坡速率约束建模多能耦合系统:电-气-热联合调度、P2G与储能容量配置新型电力系统关键技术灵活性资源:虚拟电厂、需求响应、V2G车网互动、分布式储能优化稳定与控制:惯量支撑策略、低频振荡抑制、黑启动预案设计低碳转型:碳捕集电厂建模、绿氢制备经济性分析、LCOE度电成本核算风光出力预测:LSTM/Transformer时序预测、预测误差场景生成(GAN/蒙特卡洛)不确定性优化:鲁棒优化、随机规划、机会约束建模能源流分析、PSASP复杂电网建模,经济调度,算法优化改进,模型优化,潮流分析,鲁棒优化,创新点,文献复现微电网配电网规划,运行调度,综合能源,混合储能容量配置,平抑风电波动,多目标优化,静态交通流量分配,阶梯碳交易,分段线性化,光伏混合储能VSG并网运行,构网型变流器, 虚拟同步机等包括混合储能HESS:蓄电池+超级电容器,电压补偿,削峰填谷,一次调频,功率指令跟随,光伏储能参与一次调频,功率平抑,直流母线电压控制;MPPT最大功率跟踪控制,构网型储能,光伏,微电网调度优化,新能源,虚拟同同步机,VSG并网,小信号模型
🌟 元胞自动机方面
交通流 人群疏散 病毒扩散 晶体生长 金属腐蚀
🌟 雷达方面
卡尔曼滤波跟踪、航迹关联、航迹融合、SOC估计、阵列优化、NLOS识别
🌟 车间调度
零等待流水车间调度问题NWFSP 、 置换流水车间调度问题PFSP、 混合流水车间调度问题HFSP 、零空闲流水车间调度问题NIFSP、分布式置换流水车间调度问题 DPFSP、阻塞流水车间调度问题BFSP
👇
1046

被折叠的 条评论
为什么被折叠?



