✅作者简介:热爱科研的Matlab仿真开发者,擅长数据处理、建模仿真、程序设计、完整代码获取、论文复现及科研仿真。
🍎 往期回顾关注个人主页:Matlab科研工作室
🍊个人信条:格物致知,完整Matlab代码获取及仿真咨询内容私信。
🔥 内容介绍
在科技飞速发展的当下,无人机技术已成为众多领域的关键支撑力量,从军事侦察到民用领域的物流配送、灾害救援等,无人机都展现出了巨大的应用价值。随着需求的不断增长,单架无人机的能力逐渐难以满足复杂任务的要求,多无人机协同作业应运而生,开启了无人机应用的新篇章。
以低空物流场景为例,密集部署的配送无人机需实时回传位置、电量、货物状态等数据,并接收调度中心的路径规划指令,海量无人机并发通信极易引发频率资源争抢,导致通信延迟或中断,直接影响配送效率与飞行安全;在城市低空巡检场景中,无人机需高清传输巡检影像,对通信带宽提出极高要求,同时城市高楼、桥梁等建筑物的遮挡会造成信号衰减,叠加周边WiFi、蓝牙等无线信号的干扰,进一步降低通信质量;在应急救援场景下,灾区低空可能聚集多架侦察、救援无人机及指挥直升机,复杂的电磁环境易导致通信链路混乱,无法保障救援指令的精准传达与灾情数据的实时回传,错失救援黄金时间。这些场景充分印证,无人机通信的稳定性与抗干扰能力,直接决定了低空经济应用场景的落地成效与规模化推广潜力。
当前无人机通信方案难以适配低空经济发展需求,核心痛点集中在三大方面。一是通信带宽与容量不足,传统无人机多采用单天线窄带通信或简单的WiFi、专网通信方案,传输速率有限,无法满足多无人机并发通信及高清影像、三维建模数据等大容量数据传输需求;二是干扰抑制能力薄弱,低空环境中存在无人机间同频干扰、地面无线设备交叉干扰、电磁散射干扰等多重干扰源,传统通信方案缺乏有效的干扰感知与抑制机制,易导致信号失真、通信中断;三是动态适应性欠佳,无人机飞行姿态多变、位置实时移动,会引发信道衰落、链路切换频繁等问题,传统固定参数的通信方案无法实时适配信道变化,通信可靠性难以保障。此外,低空通信缺乏统一的技术标准,不同厂商、不同类型的无人机通信协议不兼容,也加剧了通信混乱与干扰问题。
传统集中式通信架构在支撑低空无人机规模化应用时,同样暴露出显著短板。集中式架构依赖单一基站或控制中心进行通信调度与数据处理,当无人机数量增多时,基站的信号处理与数据转发压力呈指数级增长,极易出现处理延迟、带宽拥堵等问题;同时,集中式架构的抗毁性较差,一旦核心基站或控制中心出现故障,整个通信网络将陷入瘫痪,导致所有无人机失去通信支撑,引发飞行安全事故;此外,集中式架构下,无人机与基站间的远距离传输易受地形、建筑物遮挡影响,信号衰减严重,且无法灵活适配无人机的动态移动需求,进一步降低了通信系统的稳定性与覆盖范围。因此,突破传统通信架构与技术方案的局限,构建基于MIMO蜂窝系统的联合通信与干扰控制体系,成为破解无人机通信难题、助力低空经济发展的必然选择。
因此,深入开展基于MIMO蜂窝系统的无人机联合通信与干扰研究,探索适配低空经济的通信技术对策,具有极强的现实意义与应用价值。这不仅能够突破无人机通信带宽、抗干扰能力、动态适应性等核心技术瓶颈,保障无人机规模化、高密度作业的通信安全与高效,更能推动低空通信技术标准化建设,构建兼容、协同的低空通信生态,为低空经济各应用场景的规模化落地提供核心技术支撑,助力低空经济成为推动经济高质量发展的新增长极。
无人机通信:低空经济的核心支撑与场景赋能
稳定、高效的无人机通信系统是低空经济的“神经网络”,其性能直接决定了低空经济各应用场景的作业效率、安全水平与规模化潜力。基于MIMO蜂窝系统的联合通信与干扰技术,凭借其超大带宽、抗干扰能力强、动态适配性好等优势,能够深度赋能低空经济多元场景,推动各领域作业模式的革新与升级。
在军事低空作战与侦察领域,无人机通信的保密性、抗干扰性与实时性至关重要。基于MIMO蜂窝系统的联合通信技术,可通过多天线空间分集与波束赋形技术,实现无人机与地面指挥中心、无人机之间的高速保密通信,同时有效抵御敌方电磁干扰、电子压制,保障侦察影像、目标数据的实时回传与作战指令的精准传达。例如,在集群无人机作战场景中,MIMO蜂窝系统能够支持数十架甚至上百架无人机的并发通信与协同组网,通过联合干扰抑制算法,规避敌方干扰信号,确保集群无人机的协同作战能力,提升作战效能与生存能力。此外,MIMO技术的多链路冗余设计,还能保障在部分通信链路受损时,无人机仍可通过其他链路维持通信,提升系统的抗毁性。
在低空物流配送领域,MIMO蜂窝系统为规模化无人机配送提供了核心通信支撑。传统物流无人机通信方案难以满足多架无人机同时作业的带宽需求,而MIMO蜂窝系统通过多天线并行传输,可实现单基站对多架无人机的并发接入,大幅提升通信带宽与接入容量,保障每架配送无人机与调度中心之间的实时数据交互。例如,在城市密集配送场景中,数十架配送无人机可通过MIMO蜂窝网络,实时回传自身位置、电量、货物状态等数据,并接收调度中心的路径优化、避障提醒等指令,同时高清回传配送区域的实时环境影像。联合干扰抑制算法能够有效规避无人机间的同频干扰及地面无线信号干扰,确保通信链路稳定,避免因通信中断导致的配送延误或飞行碰撞事故。此外,MIMO蜂窝系统的广覆盖特性,还能支持偏远地区的无人机配送通信,解决偏远地区物流配送“最后一公里”的通信难题。
在低空应急救援领域,基于MIMO蜂窝系统的无人机通信技术能够大幅提升救援效率与安全性。灾害发生后,灾区地面通信基础设施往往受损瘫痪,无人机可作为临时通信中继,通过MIMO蜂窝系统快速搭建应急通信网络,实现救援人员、指挥中心与受灾群众之间的通信联络。同时,救援无人机可通过MIMO技术高速传输灾区高清影像、三维地形数据等大容量信息,为指挥中心制定救援方案提供精准依据;在人员搜救场景中,搭载热成像仪、生命探测仪的无人机可通过稳定的通信链路,实时回传搜救数据,引导救援人员快速定位被困人员。联合干扰抑制技术能够抵御灾区复杂电磁环境的干扰,确保应急通信链路的稳定可靠,为救援黄金时间内的高效作业提供保障。此外,多架救援无人机可通过MIMO蜂窝网络实现协同组网,分工开展侦察、搜救、物资投送等任务,提升救援的协同性与全面性。
尽管基于MIMO蜂窝系统的无人机通信技术展现出巨大优势,但在适配低空经济发展时,仍面临诸多技术挑战。从通信链路构建角度来看,无人机飞行高度低、姿态多变、移动速度快,导致通信信道呈现快时变、大衰落、多径效应显著等特性,如何构建适配低空动态信道的MIMO通信模型,实现信道状态的精准估计与跟踪,是保障通信质量的关键。同时,无人机平台载荷有限,无法搭载体积过大、功耗过高的多天线设备,如何设计小型化、低功耗的无人机MIMO天线阵列,平衡通信性能与平台载荷限制,成为技术落地的重要难题。
在联合通信与干扰控制方面,核心挑战在于多无人机并发通信场景下的干扰抑制与资源分配。低空环境中,多架无人机、地面通信设备、其他无线终端等形成了复杂的干扰网络,干扰源具有动态性、随机性、多样性等特点,如何精准感知各类干扰信号的特征,设计高效的联合干扰抑制算法,实现干扰的自适应抵消,是提升通信可靠性的核心。同时,MIMO蜂窝系统的频率资源有限,多无人机并发接入时,如何基于无人机的通信需求、信道状态、干扰情况,实现频率、功率、天线资源的动态优化分配,在保障各无人机通信质量的前提下,提升资源利用效率,避免资源浪费与过度竞争,也是亟待解决的关键问题。
在系统兼容性与标准化方面,当前不同厂商的无人机通信协议、接口不统一,基于MIMO蜂窝系统的无人机通信技术缺乏统一的技术标准与规范,导致不同类型的无人机无法实现无缝协同通信,影响了低空通信网络的规模化构建。同时,MIMO蜂窝系统与现有地面蜂窝网络(如5G、6G)的融合适配也存在挑战,如何实现无人机通信网络与地面蜂窝网络的资源共享、协同调度,避免网络冲突,构建天地一体化的低空通信生态,是推动技术规模化应用的重要前提。此外,无人机通信的安全性与隐私保护也不容忽视,低空通信网络易遭受恶意干扰、数据窃取、虚假指令注入等攻击,如何构建基于MIMO技术的安全通信机制,保障通信数据的机密性、完整性与可用性,是保障低空经济安全发展的关键。
基于MIMO蜂窝系统的无人机通信技术是赋能低空经济发展的核心支撑,但当前面临的动态信道适配、干扰抑制、资源分配、标准化融合等技术挑战不容忽视。只有通过持续的技术研发与创新,攻克这些核心难题,完善技术标准与安全体系,才能充分发挥MIMO蜂窝系统的技术优势,构建稳定、高效、安全、兼容的低空通信网络,为低空经济各应用场景的规模化落地提供坚实保障,推动低空经济实现高质量发展。
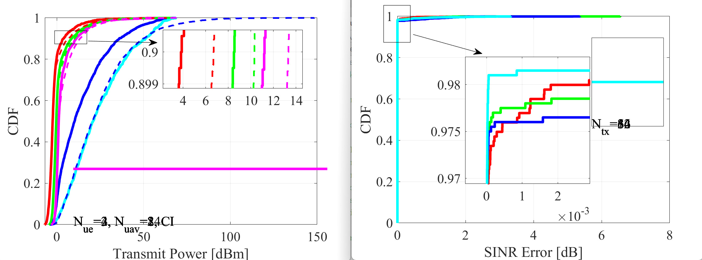
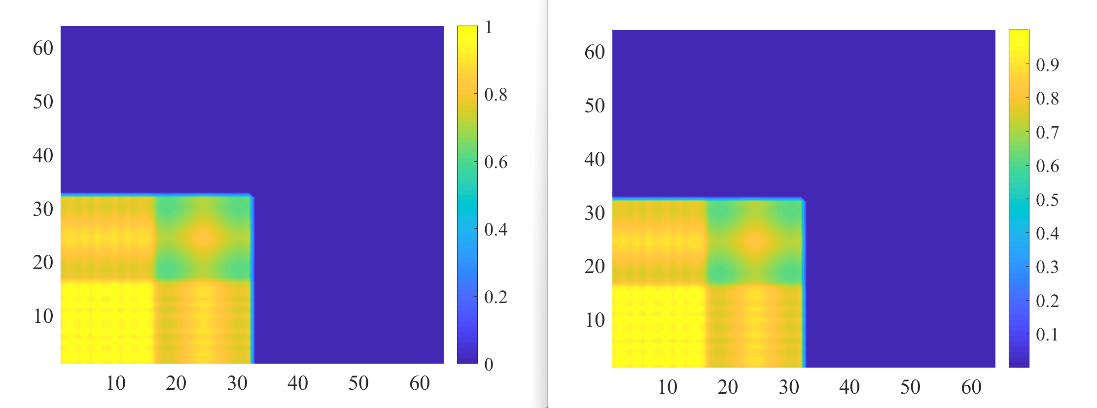
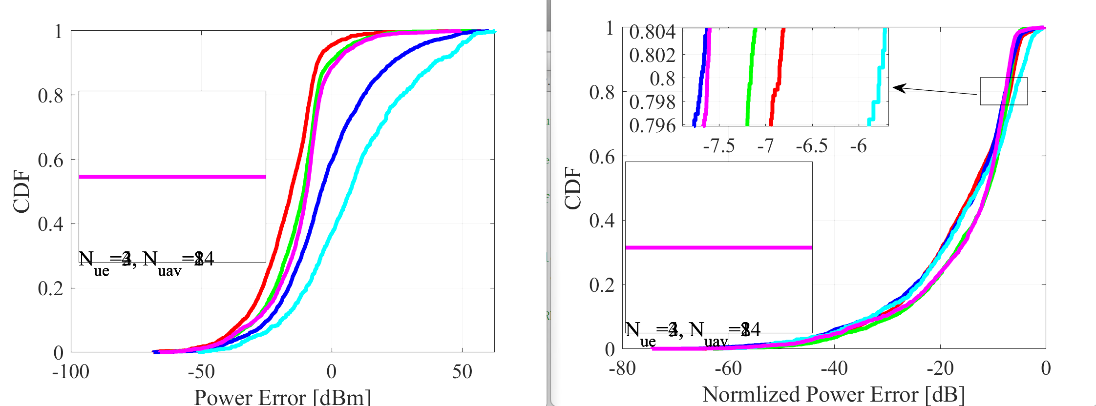
⛳️ 运行结果






📣 部分代码
🔗 参考文献
🎈 部分理论引用网络文献,若有侵权联系博主删除
👇 关注我领取海量matlab电子书和数学建模资料
🏆团队擅长辅导定制多种科研领域MATLAB仿真,助力科研梦:
🌟 各类智能优化算法改进及应用
生产调度、经济调度、装配线调度、充电优化、车间调度、发车优化、水库调度、三维装箱、物流选址、货位优化、公交排班优化、充电桩布局优化、车间布局优化、集装箱船配载优化、水泵组合优化、解医疗资源分配优化、设施布局优化、可视域基站和无人机选址优化、背包问题、 风电场布局、时隙分配优化、 最佳分布式发电单元分配、多阶段管道维修、 工厂-中心-需求点三级选址问题、 应急生活物质配送中心选址、 基站选址、 道路灯柱布置、 枢纽节点部署、 输电线路台风监测装置、 集装箱调度、 机组优化、 投资优化组合、云服务器组合优化、 天线线性阵列分布优化、CVRP问题、VRPPD问题、多中心VRP问题、多层网络的VRP问题、多中心多车型的VRP问题、 动态VRP问题、双层车辆路径规划(2E-VRP)、充电车辆路径规划(EVRP)、油电混合车辆路径规划、混合流水车间问题、 订单拆分调度问题、 公交车的调度排班优化问题、航班摆渡车辆调度问题、选址路径规划问题、港口调度、港口岸桥调度、停机位分配、机场航班调度、泄漏源定位、冷链、时间窗、多车场等、选址优化、港口岸桥调度优化、交通阻抗、重分配、停机位分配、机场航班调度、通信上传下载分配优化
🌟 机器学习和深度学习时序、回归、分类、聚类和降维
2.1 bp时序、回归预测和分类
2.2 ENS声神经网络时序、回归预测和分类
2.3 SVM/CNN-SVM/LSSVM/RVM支持向量机系列时序、回归预测和分类
2.4 CNN|TCN|GCN卷积神经网络系列时序、回归预测和分类
2.5 ELM/KELM/RELM/DELM极限学习机系列时序、回归预测和分类
2.6 GRU/Bi-GRU/CNN-GRU/CNN-BiGRU门控神经网络时序、回归预测和分类
2.7 ELMAN递归神经网络时序、回归\预测和分类
2.8 LSTM/BiLSTM/CNN-LSTM/CNN-BiLSTM/长短记忆神经网络系列时序、回归预测和分类
2.9 RBF径向基神经网络时序、回归预测和分类
2.10 DBN深度置信网络时序、回归预测和分类
2.11 FNN模糊神经网络时序、回归预测
2.12 RF随机森林时序、回归预测和分类
2.13 BLS宽度学习时序、回归预测和分类
2.14 PNN脉冲神经网络分类
2.15 模糊小波神经网络预测和分类
2.16 时序、回归预测和分类
2.17 时序、回归预测预测和分类
2.18 XGBOOST集成学习时序、回归预测预测和分类
2.19 Transform各类组合时序、回归预测预测和分类
方向涵盖风电预测、光伏预测、电池寿命预测、辐射源识别、交通流预测、负荷预测、股价预测、PM2.5浓度预测、电池健康状态预测、用电量预测、水体光学参数反演、NLOS信号识别、地铁停车精准预测、变压器故障诊断
🌟图像处理方面
图像识别、图像分割、图像检测、图像隐藏、图像配准、图像拼接、图像融合、图像增强、图像压缩感知
🌟 路径规划方面
旅行商问题(TSP)、车辆路径问题(VRP、MVRP、CVRP、VRPTW等)、无人机三维路径规划、无人机协同、无人机编队、机器人路径规划、栅格地图路径规划、多式联运运输问题、 充电车辆路径规划(EVRP)、 双层车辆路径规划(2E-VRP)、 油电混合车辆路径规划、 船舶航迹规划、 全路径规划规划、 仓储巡逻、公交车时间调度、水库调度优化、多式联运优化
🌟 无人机应用方面
无人机路径规划、无人机控制、无人机编队、无人机协同、无人机任务分配、无人机安全通信轨迹在线优化、车辆协同无人机路径规划、
🌟 通信方面
传感器部署优化、通信协议优化、路由优化、目标定位优化、Dv-Hop定位优化、Leach协议优化、WSN覆盖优化、组播优化、RSSI定位优化、水声通信、通信上传下载分配
🌟 信号处理方面
信号识别、信号加密、信号去噪、信号增强、雷达信号处理、信号水印嵌入提取、肌电信号、脑电信号、信号配时优化、心电信号、DOA估计、编码译码、变分模态分解、管道泄漏、滤波器、数字信号处理+传输+分析+去噪、数字信号调制、误码率、信号估计、DTMF、信号检测
🌟电力系统方面
微电网优化、无功优化、配电网重构、储能配置、有序充电、MPPT优化、家庭用电、电/冷/热负荷预测、电力设备故障诊断、电池管理系统(BMS)SOC/SOH估算(粒子滤波/卡尔曼滤波)、 多目标优化在电力系统调度中的应用、光伏MPPT控制算法改进(扰动观察法/电导增量法)、电动汽车充放电优化、微电网日前日内优化、储能优化、家庭用电优化、供应链优化\智能电网分布式能源经济优化调度,虚拟电厂,能源消纳,风光出力,控制策略,多目标优化,博弈能源调度,鲁棒优化
电力系统核心问题经济调度:机组组合、最优潮流、安全约束优化。新能源消纳:风光储协同规划、弃风弃光率量化、爬坡速率约束建模多能耦合系统:电-气-热联合调度、P2G与储能容量配置新型电力系统关键技术灵活性资源:虚拟电厂、需求响应、V2G车网互动、分布式储能优化稳定与控制:惯量支撑策略、低频振荡抑制、黑启动预案设计低碳转型:碳捕集电厂建模、绿氢制备经济性分析、LCOE度电成本核算风光出力预测:LSTM/Transformer时序预测、预测误差场景生成(GAN/蒙特卡洛)不确定性优化:鲁棒优化、随机规划、机会约束建模能源流分析、PSASP复杂电网建模,经济调度,算法优化改进,模型优化,潮流分析,鲁棒优化,创新点,文献复现微电网配电网规划,运行调度,综合能源,混合储能容量配置,平抑风电波动,多目标优化,静态交通流量分配,阶梯碳交易,分段线性化,光伏混合储能VSG并网运行,构网型变流器, 虚拟同步机等包括混合储能HESS:蓄电池+超级电容器,电压补偿,削峰填谷,一次调频,功率指令跟随,光伏储能参与一次调频,功率平抑,直流母线电压控制;MPPT最大功率跟踪控制,构网型储能,光伏,微电网调度优化,新能源,虚拟同同步机,VSG并网,小信号模型
🌟 元胞自动机方面
交通流 人群疏散 病毒扩散 晶体生长 金属腐蚀
🌟 雷达方面
卡尔曼滤波跟踪、航迹关联、航迹融合、SOC估计、阵列优化、NLOS识别
🌟 车间调度
零等待流水车间调度问题NWFSP 、 置换流水车间调度问题PFSP、 混合流水车间调度问题HFSP 、零空闲流水车间调度问题NIFSP、分布式置换流水车间调度问题 DPFSP、阻塞流水车间调度问题BFSP
👇
627

被折叠的 条评论
为什么被折叠?



