✅作者简介:热爱科研的Matlab仿真开发者,擅长数据处理、建模仿真、程序设计、完整代码获取、论文复现及科研仿真。
🍎 往期回顾关注个人主页:Matlab科研工作室
🍊个人信条:格物致知,完整Matlab代码获取及仿真咨询内容私信。
🔥 内容介绍
在科技飞速发展的当下,无人机技术已成为众多领域的关键支撑力量,从军事侦察到民用领域的物流配送、灾害救援等,无人机都展现出了巨大的应用价值。随着需求的不断增长,单架无人机的能力逐渐难以满足复杂任务的要求,多无人机协同作业应运而生,开启了无人机应用的新篇章。
以物流配送为例,在繁华的城市中,多架无人机需要从仓库出发,穿梭于高楼大厦之间,避开电线杆等静态障碍,还要应对鸟类、其他飞行器等动态干扰,最终精准地将货物送达不同的配送点 。在应急救援场景下,当灾害突然降临,如地震、洪水等,无人机群需迅速响应,快速覆盖灾区。它们一边实时回传灾区画面,为救援决策提供依据,一边动态调整路径以应对余震导致的建筑物倒塌、道路堵塞等障碍物移位情况。在农业领域,无人机编队可协同完成大面积农田的农药喷洒、种子播种以及农作物生长监测等任务,大大提高农业生产效率。在测绘领域,多无人机协同能够快速、全面地获取地形地貌信息,绘制高精度地图。
然而,动态环境的复杂性为多无人机协同作业带来了前所未有的挑战。环境中的不确定性因素众多,突发障碍物可能毫无预兆地出现,例如在城市飞行时,突然升起的吊车臂;气流变化也会对无人机飞行产生影响,像强风可能改变无人机的飞行轨迹。这些情况使得传统的静态路径规划方法无法适应,因为传统方法是基于预先设定的环境信息进行路径规划,一旦环境发生变化,规划好的路径就可能不再适用。
同时,集中式控制架构在应对动态环境时也暴露出诸多问题。集中式控制需要将所有无人机的信息集中处理,计算压力巨大,难以满足实时性要求。当无人机数量增多时,数据量呈指数级增长,中央处理器可能因不堪重负而出现处理延迟。而且,这种架构灵活性不足,一旦中央控制单元出现故障,整个无人机系统就可能陷入瘫痪,就如同人体的大脑如果出现问题,身体各部分就无法正常运转一样。
因此,深入研究动态环境下的多无人机协同路径规划与防撞技术迫在眉睫,这不仅是提升无人机系统安全性的关键,更是提高任务效率、拓展无人机应用领域的核心所在,对于推动无人机技术迈向新的高度具有重要意义 。
无人机协同:多领域的闪耀新星
多无人机协同作业凭借其独特的优势,在众多领域展现出了巨大的应用潜力,成为推动各行业发展的重要力量。
在军事领域,无人机协同的作用举足轻重。在战场侦察方面,多架无人机组成的侦察集群能够从不同角度、不同高度对目标区域进行全方位侦察,获取更全面、更准确的情报信息。与单架无人机相比,它们可以覆盖更大的范围,大大提高侦察效率,减少侦察盲区。在目标跟踪任务中,多无人机协同能够通过信息共享和协同计算,更精准地锁定目标的位置和运动轨迹,即使目标试图通过复杂的地形或环境进行躲避,也难以逃脱无人机群的追踪。在电子干扰任务中,无人机集群可以同时从多个方向对敌方的通信、雷达等电子设备进行干扰,形成强大的干扰合力,使敌方的电子系统陷入混乱,无法正常工作,从而为己方的军事行动创造有利条件。在协同打击任务中,多架无人机能够根据战场态势和目标情况,进行合理的任务分配和协同作战,有的负责吸引敌方火力,有的负责实施精确打击,大大提高打击的成功率和效果 。
在物流配送领域,多无人机协同也展现出了显著的优势。在城市配送场景中,多架无人机可以同时从物流中心出发,根据预设的路径和配送点信息,快速、高效地将货物送达不同的客户手中。它们能够灵活地穿梭于城市的高楼大厦之间,避开交通拥堵,大大缩短配送时间,提高配送效率。在偏远地区配送时,无人机不受地形和道路条件的限制,可以直接飞越山川、河流等复杂地形,将物资及时送达,解决了偏远地区物流配送困难的问题。而且,多无人机协同配送还可以通过合理的路径规划和任务分配,降低物流成本,提高物流配送的经济效益。
在应急救援领域,多无人机协同更是发挥着不可或缺的作用。在灾害发生后的第一时间,无人机群可以迅速抵达灾区,对受灾区域进行全面的侦察和评估。它们能够快速获取灾区的地形、道路、建筑物损毁情况以及人员被困位置等信息,并将这些信息实时传输给救援指挥中心,为救援决策提供重要依据。在人员搜救任务中,多架无人机可以通过搭载热成像仪、生命探测仪等设备,对灾区进行地毯式搜索,提高搜救的效率和准确性,增加被困人员的生存机会。在物资运输方面,无人机可以将急需的救援物资如食品、药品、饮用水等快速送达灾区,为受灾群众提供及时的帮助。在现场环境监控与预警方面,无人机能够实时监测灾区的环境变化,如洪水水位的上涨、山体滑坡的迹象等,及时发出预警信息,保障救援人员和受灾群众的安全。
然而,动态环境下的多无人机协同作业面临着诸多技术挑战。从环境感知角度来看,无人机需要配备高精度的传感器,如激光雷达、视觉相机、毫米波雷达等,以实现对动态环境的实时感知和建模。但不同传感器的测量原理和精度不同,如何有效地融合这些传感器数据,消除数据之间的误差和冲突,构建准确、完整的环境模型,是一个亟待解决的问题。而且,环境中的干扰因素众多,如恶劣的天气条件、复杂的电磁环境等,都可能影响传感器的正常工作,降低环境感知的准确性。
在路径规划方面,传统的路径规划算法大多基于静态环境进行设计,难以适应动态环境中障碍物的快速变化和不确定性。当遇到突发障碍物时,传统算法可能无法及时找到新的可行路径,导致无人机碰撞事故的发生。而且,多无人机之间的路径协调也是一个难题,如何在保证每架无人机安全飞行的前提下,实现多机之间的高效协同,避免路径冲突和碰撞,是路径规划算法需要解决的关键问题。
在防撞策略方面,虽然目前已经提出了多种防撞算法,但在实际应用中仍然存在一些问题。例如,一些算法的计算复杂度较高,需要消耗大量的计算资源和时间,难以满足无人机实时飞行的要求;一些算法对传感器的精度和可靠性要求过高,在实际复杂环境中难以达到理想的效果;还有一些算法在处理多无人机之间的冲突时,缺乏有效的协调机制,容易导致无人机之间的相互干扰和碰撞 。
多无人机协同作业在军事、物流、救援等领域的应用潜力巨大,但动态环境下的技术挑战也不容忽视。只有不断加强技术研发,攻克这些技术难题,才能充分发挥多无人机协同作业的优势,为各行业的发展提供更有力的支持 。
国内外研究大揭秘
国外研究成果
在多无人机协同路径规划与防撞技术的研究领域,国外起步较早,取得了一系列具有开创性的成果 。美国国防部高级研究计划局(DARPA)资助的项目处于世界前沿水平。该项目通过融合激光雷达、毫米波雷达与视觉传感器,构建了一个全方位、高精度的环境感知体系。激光雷达能够快速扫描周围环境,精确测量障碍物的距离和位置;毫米波雷达则在恶劣天气条件下仍能保持稳定的工作性能,有效探测目标;视觉传感器提供了丰富的图像信息,帮助无人机识别不同类型的障碍物和场景特征。
在此基础上,结合分布式冲突检测算法,实现了密集障碍物环境下的高效协同飞行。每架无人机都能通过自身搭载的传感器实时感知周围环境信息,并通过高速通信链路与其他无人机进行信息交互。当检测到潜在碰撞风险时,分布式冲突检测算法会迅速计算出每架无人机的最佳规避动作,各无人机自主调整飞行路径和速度,以避免碰撞发生 。在模拟的复杂战场环境中,多架无人机能够在密集的障碍物和敌方防空火力威胁下,灵活调整飞行路径,实现高效协同飞行,完成侦察、攻击等任务,且碰撞事故发生率显著降低。
德国的研究团队在该领域也成果颇丰,他们提出基于模型预测控制(MPC)的方法。通过建立精确的无人机动态模型,充分考虑无人机的动力学特性、飞行状态以及环境因素,预测无人机在未来一段时间内的飞行状态。根据周围环境信息和其他无人机的状态,在线优化飞行轨迹,以避免碰撞。在实验中,多架无人机在模拟的城市街区环境中执行物流配送任务,面对建筑物、车辆和行人等复杂障碍物,无人机能够提前预测自身轨迹与障碍物或其他无人机的冲突情况,通过 MPC 算法实时调整飞行速度、方向和高度,准确地避开各种障碍物,同时避免无人机之间的碰撞,成功完成配送任务,展示了该方法在复杂城市环境下的有效性和可靠性 。
英国的研究侧重于多无人机系统的分布式控制与协同决策。他们提出了一种基于分布式一致性算法的协同控制策略,使多架无人机能够在无中心控制的情况下,通过局部信息交互达成全局一致的决策。在无人机编队飞行实验中,各无人机能够根据自身获取的信息以及从相邻无人机接收的信息,自主调整飞行姿态和位置,保持紧密而有序的编队飞行,即使在部分无人机出现故障或通信中断的情况下,编队仍能保持一定的完整性,继续执行任务 。
国内研究进展
国内在多无人机协同路径规划与防撞技术方面也取得了长足的进步,众多高校和科研机构积极投入研究,成果斐然 。清华大学在分布式一致性算法、多传感器融合及深度学习决策方面取得了一系列突破。在分布式一致性算法研究中,利用一致性理论实现多机协同控制,使多架无人机在复杂环境下能够快速、准确地达成共识,协同完成任务。在多传感器融合方面,通过创新性的算法将激光雷达、视觉相机、惯性测量单元(IMU)等多种传感器的数据进行有效融合,消除数据之间的误差和冲突,为无人机提供更全面、更准确的环境信息。在深度学习决策方面,构建了基于深度学习的智能决策模型,该模型能够对大量的环境数据和飞行状态数据进行学习和分析,快速识别潜在碰撞风险,并做出最优的决策,指导无人机及时调整飞行路径 。
北京航空航天大学针对多无人机协同作业中的路径规划与防撞问题,提出了一系列创新性的解决方案。在路径规划方面,基于快速探索随机树(RRT)算法进行改进,提出了一种适用于动态环境的快速路径规划算法。该算法能够在复杂的动态环境中快速搜索出一条可行的路径,并根据环境变化实时调整路径,确保无人机始终沿着最优路径飞行。在防撞策略方面,结合人工势场法和博弈论,提出了一种多无人机防撞策略。当检测到潜在碰撞风险时,各无人机根据自身的状态和周围环境信息,通过博弈论的方法进行决策,选择最佳的规避动作,同时利用人工势场法产生的斥力,避免无人机之间以及无人机与障碍物之间的碰撞 。
西北工业大学则专注于多无人机系统的协同控制与优化。他们研发了一套基于分布式协同控制的多无人机系统,该系统能够实现多架无人机之间的任务分配、路径规划和协同飞行的一体化控制。在任务分配方面,采用智能优化算法,根据任务的性质、难度以及无人机的性能和位置,合理分配任务,提高任务执行效率。在路径规划方面,结合全局路径规划和局部路径规划算法,使无人机既能规划出从起点到终点的全局最优路径,又能在遇到突发障碍物时迅速做出反应,规划出局部避障路径。在协同飞行方面,通过建立精确的无人机动力学模型和协同控制算法,实现多架无人机之间的紧密协同,保持稳定的编队飞行 。
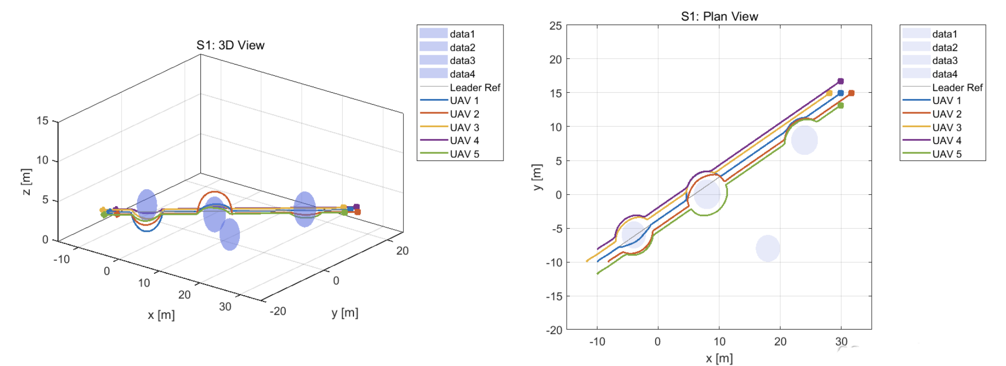
⛳️ 运行结果



📣 部分代码
🔗 参考文献
🎈 部分理论引用网络文献,若有侵权联系博主删除
👇 关注我领取海量matlab电子书和数学建模资料
🏆团队擅长辅导定制多种科研领域MATLAB仿真,助力科研梦:
🌟 各类智能优化算法改进及应用
生产调度、经济调度、装配线调度、充电优化、车间调度、发车优化、水库调度、三维装箱、物流选址、货位优化、公交排班优化、充电桩布局优化、车间布局优化、集装箱船配载优化、水泵组合优化、解医疗资源分配优化、设施布局优化、可视域基站和无人机选址优化、背包问题、 风电场布局、时隙分配优化、 最佳分布式发电单元分配、多阶段管道维修、 工厂-中心-需求点三级选址问题、 应急生活物质配送中心选址、 基站选址、 道路灯柱布置、 枢纽节点部署、 输电线路台风监测装置、 集装箱调度、 机组优化、 投资优化组合、云服务器组合优化、 天线线性阵列分布优化、CVRP问题、VRPPD问题、多中心VRP问题、多层网络的VRP问题、多中心多车型的VRP问题、 动态VRP问题、双层车辆路径规划(2E-VRP)、充电车辆路径规划(EVRP)、油电混合车辆路径规划、混合流水车间问题、 订单拆分调度问题、 公交车的调度排班优化问题、航班摆渡车辆调度问题、选址路径规划问题、港口调度、港口岸桥调度、停机位分配、机场航班调度、泄漏源定位、冷链、时间窗、多车场等、选址优化、港口岸桥调度优化、交通阻抗、重分配、停机位分配、机场航班调度、通信上传下载分配优化
🌟 机器学习和深度学习时序、回归、分类、聚类和降维
2.1 bp时序、回归预测和分类
2.2 ENS声神经网络时序、回归预测和分类
2.3 SVM/CNN-SVM/LSSVM/RVM支持向量机系列时序、回归预测和分类
2.4 CNN|TCN|GCN卷积神经网络系列时序、回归预测和分类
2.5 ELM/KELM/RELM/DELM极限学习机系列时序、回归预测和分类
2.6 GRU/Bi-GRU/CNN-GRU/CNN-BiGRU门控神经网络时序、回归预测和分类
2.7 ELMAN递归神经网络时序、回归\预测和分类
2.8 LSTM/BiLSTM/CNN-LSTM/CNN-BiLSTM/长短记忆神经网络系列时序、回归预测和分类
2.9 RBF径向基神经网络时序、回归预测和分类
2.10 DBN深度置信网络时序、回归预测和分类
2.11 FNN模糊神经网络时序、回归预测
2.12 RF随机森林时序、回归预测和分类
2.13 BLS宽度学习时序、回归预测和分类
2.14 PNN脉冲神经网络分类
2.15 模糊小波神经网络预测和分类
2.16 时序、回归预测和分类
2.17 时序、回归预测预测和分类
2.18 XGBOOST集成学习时序、回归预测预测和分类
2.19 Transform各类组合时序、回归预测预测和分类
方向涵盖风电预测、光伏预测、电池寿命预测、辐射源识别、交通流预测、负荷预测、股价预测、PM2.5浓度预测、电池健康状态预测、用电量预测、水体光学参数反演、NLOS信号识别、地铁停车精准预测、变压器故障诊断
🌟图像处理方面
图像识别、图像分割、图像检测、图像隐藏、图像配准、图像拼接、图像融合、图像增强、图像压缩感知
🌟 路径规划方面
旅行商问题(TSP)、车辆路径问题(VRP、MVRP、CVRP、VRPTW等)、无人机三维路径规划、无人机协同、无人机编队、机器人路径规划、栅格地图路径规划、多式联运运输问题、 充电车辆路径规划(EVRP)、 双层车辆路径规划(2E-VRP)、 油电混合车辆路径规划、 船舶航迹规划、 全路径规划规划、 仓储巡逻、公交车时间调度、水库调度优化、多式联运优化
🌟 无人机应用方面
无人机路径规划、无人机控制、无人机编队、无人机协同、无人机任务分配、无人机安全通信轨迹在线优化、车辆协同无人机路径规划、
🌟 通信方面
传感器部署优化、通信协议优化、路由优化、目标定位优化、Dv-Hop定位优化、Leach协议优化、WSN覆盖优化、组播优化、RSSI定位优化、水声通信、通信上传下载分配
🌟 信号处理方面
信号识别、信号加密、信号去噪、信号增强、雷达信号处理、信号水印嵌入提取、肌电信号、脑电信号、信号配时优化、心电信号、DOA估计、编码译码、变分模态分解、管道泄漏、滤波器、数字信号处理+传输+分析+去噪、数字信号调制、误码率、信号估计、DTMF、信号检测
🌟电力系统方面
微电网优化、无功优化、配电网重构、储能配置、有序充电、MPPT优化、家庭用电、电/冷/热负荷预测、电力设备故障诊断、电池管理系统(BMS)SOC/SOH估算(粒子滤波/卡尔曼滤波)、 多目标优化在电力系统调度中的应用、光伏MPPT控制算法改进(扰动观察法/电导增量法)、电动汽车充放电优化、微电网日前日内优化、储能优化、家庭用电优化、供应链优化\智能电网分布式能源经济优化调度,虚拟电厂,能源消纳,风光出力,控制策略,多目标优化,博弈能源调度,鲁棒优化
电力系统核心问题经济调度:机组组合、最优潮流、安全约束优化。新能源消纳:风光储协同规划、弃风弃光率量化、爬坡速率约束建模多能耦合系统:电-气-热联合调度、P2G与储能容量配置新型电力系统关键技术灵活性资源:虚拟电厂、需求响应、V2G车网互动、分布式储能优化稳定与控制:惯量支撑策略、低频振荡抑制、黑启动预案设计低碳转型:碳捕集电厂建模、绿氢制备经济性分析、LCOE度电成本核算风光出力预测:LSTM/Transformer时序预测、预测误差场景生成(GAN/蒙特卡洛)不确定性优化:鲁棒优化、随机规划、机会约束建模能源流分析、PSASP复杂电网建模,经济调度,算法优化改进,模型优化,潮流分析,鲁棒优化,创新点,文献复现微电网配电网规划,运行调度,综合能源,混合储能容量配置,平抑风电波动,多目标优化,静态交通流量分配,阶梯碳交易,分段线性化,光伏混合储能VSG并网运行,构网型变流器, 虚拟同步机等包括混合储能HESS:蓄电池+超级电容器,电压补偿,削峰填谷,一次调频,功率指令跟随,光伏储能参与一次调频,功率平抑,直流母线电压控制;MPPT最大功率跟踪控制,构网型储能,光伏,微电网调度优化,新能源,虚拟同同步机,VSG并网,小信号模型
🌟 元胞自动机方面
交通流 人群疏散 病毒扩散 晶体生长 金属腐蚀
🌟 雷达方面
卡尔曼滤波跟踪、航迹关联、航迹融合、SOC估计、阵列优化、NLOS识别
🌟 车间调度
零等待流水车间调度问题NWFSP 、 置换流水车间调度问题PFSP、 混合流水车间调度问题HFSP 、零空闲流水车间调度问题NIFSP、分布式置换流水车间调度问题 DPFSP、阻塞流水车间调度问题BFSP
👇
1033

被折叠的 条评论
为什么被折叠?



