✅作者简介:热爱科研的Matlab仿真开发者,擅长数据处理、建模仿真、程序设计、完整代码获取、论文复现及科研仿真。
🍎 往期回顾关注个人主页:Matlab科研工作室
🍊个人信条:格物致知,完整Matlab代码获取及仿真咨询内容私信。
🔥 内容介绍
在海洋资源勘探、海上搜救、港口安防等海事场景中,多欠驱动自主水面船舶(USV)编队的分布式路径跟踪与控制一直是海洋工程领域的核心技术难题。想象一下,5艘USV组成编队执行远海勘探任务,需要精准跟踪直线、圆周、组合曲线等复杂预设轨迹,同时保持固定编队形态;更要抵御风浪、海流等外部扰动的影响,确保任务稳定推进。这一过程中,如何让每艘欠驱动USV在信息交互受限的情况下自主协同,如何精准预测轨迹偏差并及时修正,直接决定了编队任务的成败。
针对这一难题,基于数据驱动神经预测器和分布式通信网络的解决方案脱颖而出。该方案通过数据驱动神经预测器精准捕捉USV动力学特性与外部扰动规律,提前预判轨迹偏差;借助分布式通信网络实现5艘USV间的局部信息交互,无需中心节点即可完成编队协同控制,完美适配欠驱动USV的控制特性与复杂海事场景需求。这套“预测-协同”双核心方案究竟如何突破传统控制方法的局限?又如何实现复杂轨迹下的稳定编队与抗扰跟踪?让我们深入拆解其技术原理与实现逻辑。
核心技术原理:数据驱动预测与分布式通信的协同机制
技术起源与发展历程
多USV编队控制技术的发展经历了从集中式到分布式、从模型驱动到数据驱动的迭代过程。早期集中式控制方案依赖中心节点统一规划与指令下发,虽控制逻辑简单,但存在单点故障风险,且随着USV数量增加,通信压力呈指数级增长,无法适配5艘及以上编队的灵活协同需求。传统模型驱动控制方法则需建立精确的USV动力学模型,而欠驱动USV存在输入约束(如无法直接控制横向速度),且海洋环境中风浪、海流等外部扰动具有强随机性,导致模型精度难以保证,控制效果易受影响。
为突破上述局限,分布式通信网络与数据驱动控制技术逐步融合应用于USV编队控制领域。分布式通信网络通过无中心节点的局部信息交互架构,让每艘USV仅需与相邻同伴共享位置、速度等关键信息,即可完成全局编队协同,大幅提升了系统的可靠性与扩展性。数据驱动神经预测器则借助神经网络的强拟合能力,无需精确数学模型,通过挖掘历史运行数据中的动力学规律与扰动特征,实现对USV轨迹偏差的精准预测,为抗扰控制提供提前量。
随着技术发展,科研人员不断优化两者的融合机制:一方面,通过改进分布式通信协议(如一致性协议、事件触发通信机制),降低通信延迟与能耗,适配海洋复杂通信环境;另一方面,提出深度学习预测模型(如LSTM、Transformer),提升对非线性动力学特性与随机扰动的预测精度。这套融合方案已逐步应用于多USV编队勘探、搜救等实际任务,成为解决欠驱动USV复杂轨迹跟踪与编队控制难题的主流技术路径。
核心原理大剖析
本方案的核心思想是通过“数据驱动预测补偏差、分布式通信保协同”的双机制,实现5艘欠驱动USV的精准轨迹跟踪与稳定编队控制。数据驱动神经预测器负责提前捕捉USV动力学偏差与外部扰动影响,为控制决策提供预判依据;分布式通信网络负责实现各USV间的局部信息交互,确保编队形态保持一致。两者协同完成“预测-决策-协同-控制”的闭环流程,具体工作机制拆解如下:
1.初始化阶段:系统参数与编队配置:首先,完成5艘欠驱动USV的系统初始化,包括设定预设编队形态(如直线队列、菱形编队、圆形编队)、复杂轨迹参数(直线的起止点、圆周的圆心与半径、组合曲线的分段参数);配置分布式通信网络参数,确定各USV的通信拓扑(如相邻USV的通信距离、信息交互频率);初始化数据驱动神经预测器,导入历史运行数据(含不同海况下的动力学数据、扰动数据、轨迹跟踪数据)完成模型预训练。这一阶段为编队控制任务奠定基础,确保各模块参数适配任务需求。
2.数据驱动预测阶段:偏差与扰动预判:在轨迹跟踪过程中,数据驱动神经预测器实时采集每艘USV的当前状态数据(位置、速度、姿态角)、控制输入数据(推进器推力、舵角)以及环境感知数据(风速、波高、海流速度)。通过预训练的神经网络模型,挖掘数据间的关联规律,提前预测未来短时间内(如0.5s-1s)USV的轨迹偏差(与预设轨迹的位置差、姿态差)以及外部扰动(风浪、海流)对轨迹跟踪的影响程度。例如,当检测到海流速度增大时,预测器可提前预判USV将产生的横向偏移量,为控制补偿提供数据支撑。
3.分布式通信与信息交互阶段:协同状态同步:基于预设的通信拓扑,每艘USV通过分布式通信网络将自身的状态信息(当前位置、姿态、预测偏差)与相邻USV进行交互。通过一致性协议,各USV对交互信息进行融合处理,明确自身在编队中的相对位置要求,判断是否存在编队形态偏差。例如,若USV1检测到相邻的USV2位置偏移预设编队位置,立即将相关信息共享给USV2及其他相邻USV,为协同调整提供依据。此阶段无需中心节点干预,确保系统具有较强的容错性与扩展性。
4.分布式控制决策阶段:轨迹跟踪与编队修正:结合数据驱动预测器输出的轨迹偏差预判结果与分布式通信获得的编队状态信息,各USV独立完成控制决策。针对欠驱动USV的输入约束,设计分层控制策略:上层为编队保持控制器,根据相对位置偏差调整自身运动状态,确保编队形态稳定;下层为轨迹跟踪控制器,结合预测的扰动与轨迹偏差,生成推进器推力与舵角控制指令,修正轨迹偏差。例如,当预测到海流导致横向偏移时,控制器提前调整舵角产生转向力矩,同时协调推进器推力,在抵消扰动影响的同时保持编队位置。
5.闭环更新与迭代优化:各USV执行控制指令后,实时采集新的状态数据与轨迹跟踪结果,反馈至数据驱动神经预测器与分布式通信系统。预测器根据实际跟踪误差更新模型参数,提升后续预测精度;通信系统持续同步各USV状态,动态调整控制策略。重复上述“预测-通信-决策-控制”流程,形成闭环迭代,确保5艘USV在复杂轨迹跟踪过程中始终保持预设编队,同时有效抵抗外部扰动。
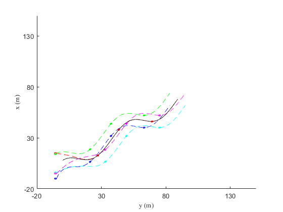
⛳️ 运行结果



📣 部分代码
🔗 参考文献
🎈 部分理论引用网络文献,若有侵权联系博主删除
👇 关注我领取海量matlab电子书和数学建模资料
🏆团队擅长辅导定制多种科研领域MATLAB仿真,助力科研梦:
🌟 各类智能优化算法改进及应用
生产调度、经济调度、装配线调度、充电优化、车间调度、发车优化、水库调度、三维装箱、物流选址、货位优化、公交排班优化、充电桩布局优化、车间布局优化、集装箱船配载优化、水泵组合优化、解医疗资源分配优化、设施布局优化、可视域基站和无人机选址优化、背包问题、 风电场布局、时隙分配优化、 最佳分布式发电单元分配、多阶段管道维修、 工厂-中心-需求点三级选址问题、 应急生活物质配送中心选址、 基站选址、 道路灯柱布置、 枢纽节点部署、 输电线路台风监测装置、 集装箱调度、 机组优化、 投资优化组合、云服务器组合优化、 天线线性阵列分布优化、CVRP问题、VRPPD问题、多中心VRP问题、多层网络的VRP问题、多中心多车型的VRP问题、 动态VRP问题、双层车辆路径规划(2E-VRP)、充电车辆路径规划(EVRP)、油电混合车辆路径规划、混合流水车间问题、 订单拆分调度问题、 公交车的调度排班优化问题、航班摆渡车辆调度问题、选址路径规划问题、港口调度、港口岸桥调度、停机位分配、机场航班调度、泄漏源定位、冷链、时间窗、多车场等、选址优化、港口岸桥调度优化、交通阻抗、重分配、停机位分配、机场航班调度、通信上传下载分配优化
🌟 机器学习和深度学习时序、回归、分类、聚类和降维
2.1 bp时序、回归预测和分类
2.2 ENS声神经网络时序、回归预测和分类
2.3 SVM/CNN-SVM/LSSVM/RVM支持向量机系列时序、回归预测和分类
2.4 CNN|TCN|GCN卷积神经网络系列时序、回归预测和分类
2.5 ELM/KELM/RELM/DELM极限学习机系列时序、回归预测和分类
2.6 GRU/Bi-GRU/CNN-GRU/CNN-BiGRU门控神经网络时序、回归预测和分类
2.7 ELMAN递归神经网络时序、回归\预测和分类
2.8 LSTM/BiLSTM/CNN-LSTM/CNN-BiLSTM/长短记忆神经网络系列时序、回归预测和分类
2.9 RBF径向基神经网络时序、回归预测和分类
2.10 DBN深度置信网络时序、回归预测和分类
2.11 FNN模糊神经网络时序、回归预测
2.12 RF随机森林时序、回归预测和分类
2.13 BLS宽度学习时序、回归预测和分类
2.14 PNN脉冲神经网络分类
2.15 模糊小波神经网络预测和分类
2.16 时序、回归预测和分类
2.17 时序、回归预测预测和分类
2.18 XGBOOST集成学习时序、回归预测预测和分类
2.19 Transform各类组合时序、回归预测预测和分类
方向涵盖风电预测、光伏预测、电池寿命预测、辐射源识别、交通流预测、负荷预测、股价预测、PM2.5浓度预测、电池健康状态预测、用电量预测、水体光学参数反演、NLOS信号识别、地铁停车精准预测、变压器故障诊断
🌟图像处理方面
图像识别、图像分割、图像检测、图像隐藏、图像配准、图像拼接、图像融合、图像增强、图像压缩感知
🌟 路径规划方面
旅行商问题(TSP)、车辆路径问题(VRP、MVRP、CVRP、VRPTW等)、无人机三维路径规划、无人机协同、无人机编队、机器人路径规划、栅格地图路径规划、多式联运运输问题、 充电车辆路径规划(EVRP)、 双层车辆路径规划(2E-VRP)、 油电混合车辆路径规划、 船舶航迹规划、 全路径规划规划、 仓储巡逻、公交车时间调度、水库调度优化、多式联运优化
🌟 无人机应用方面
无人机路径规划、无人机控制、无人机编队、无人机协同、无人机任务分配、无人机安全通信轨迹在线优化、车辆协同无人机路径规划、
🌟 通信方面
传感器部署优化、通信协议优化、路由优化、目标定位优化、Dv-Hop定位优化、Leach协议优化、WSN覆盖优化、组播优化、RSSI定位优化、水声通信、通信上传下载分配
🌟 信号处理方面
信号识别、信号加密、信号去噪、信号增强、雷达信号处理、信号水印嵌入提取、肌电信号、脑电信号、信号配时优化、心电信号、DOA估计、编码译码、变分模态分解、管道泄漏、滤波器、数字信号处理+传输+分析+去噪、数字信号调制、误码率、信号估计、DTMF、信号检测
🌟电力系统方面
微电网优化、无功优化、配电网重构、储能配置、有序充电、MPPT优化、家庭用电、电/冷/热负荷预测、电力设备故障诊断、电池管理系统(BMS)SOC/SOH估算(粒子滤波/卡尔曼滤波)、 多目标优化在电力系统调度中的应用、光伏MPPT控制算法改进(扰动观察法/电导增量法)、电动汽车充放电优化、微电网日前日内优化、储能优化、家庭用电优化、供应链优化\智能电网分布式能源经济优化调度,虚拟电厂,能源消纳,风光出力,控制策略,多目标优化,博弈能源调度,鲁棒优化
电力系统核心问题经济调度:机组组合、最优潮流、安全约束优化。新能源消纳:风光储协同规划、弃风弃光率量化、爬坡速率约束建模多能耦合系统:电-气-热联合调度、P2G与储能容量配置新型电力系统关键技术灵活性资源:虚拟电厂、需求响应、V2G车网互动、分布式储能优化稳定与控制:惯量支撑策略、低频振荡抑制、黑启动预案设计低碳转型:碳捕集电厂建模、绿氢制备经济性分析、LCOE度电成本核算风光出力预测:LSTM/Transformer时序预测、预测误差场景生成(GAN/蒙特卡洛)不确定性优化:鲁棒优化、随机规划、机会约束建模能源流分析、PSASP复杂电网建模,经济调度,算法优化改进,模型优化,潮流分析,鲁棒优化,创新点,文献复现微电网配电网规划,运行调度,综合能源,混合储能容量配置,平抑风电波动,多目标优化,静态交通流量分配,阶梯碳交易,分段线性化,光伏混合储能VSG并网运行,构网型变流器, 虚拟同步机等包括混合储能HESS:蓄电池+超级电容器,电压补偿,削峰填谷,一次调频,功率指令跟随,光伏储能参与一次调频,功率平抑,直流母线电压控制;MPPT最大功率跟踪控制,构网型储能,光伏,微电网调度优化,新能源,虚拟同同步机,VSG并网,小信号模型
🌟 元胞自动机方面
交通流 人群疏散 病毒扩散 晶体生长 金属腐蚀
🌟 雷达方面
卡尔曼滤波跟踪、航迹关联、航迹融合、SOC估计、阵列优化、NLOS识别
🌟 车间调度
零等待流水车间调度问题NWFSP 、 置换流水车间调度问题PFSP、 混合流水车间调度问题HFSP 、零空闲流水车间调度问题NIFSP、分布式置换流水车间调度问题 DPFSP、阻塞流水车间调度问题BFSP
👇
6243

被折叠的 条评论
为什么被折叠?



