✅作者简介:热爱科研的Matlab仿真开发者,擅长数据处理、建模仿真、程序设计、完整代码获取、论文复现及科研仿真。
🍎 往期回顾关注个人主页:Matlab科研工作室
🍊个人信条:格物致知,完整Matlab代码获取及仿真咨询内容私信。
🔥 内容介绍
该方法的核心价值的是 “把模糊的协同训练质量变可量化、把主观的评价变客观”,本次聚焦全流程落地工具 + 场景化适配细节,让方法从理论直接落地到实际评价工作中。
一、全维度指标体系(可直接套用,含量化标准)
| 一级指标 | 二级指标 | 指标类型 | 量化分级标准(1-5 分,5 分为优) |
|---|---|---|---|
| 协同效能(30%) | 跨模拟机响应同步率 | 定量 | ≤0.5s=5 分,0.5-1s=4 分,1-2s=3 分,>2s=1-2 分 |
| 指令传达准确率 | 定量 | 100%=5 分,95%-99%=4 分,90%-94%=3 分,<90%=1-2 分 | |
| 协同任务完成时效 | 定量 | 提前完成 = 5 分,按时完成 = 4 分,延迟≤10%=3 分,延迟 > 10%=1-2 分 | |
| 训练效果(25%) | 技能提升幅度 | 定量 | ≥30%=5 分,20%-29%=4 分,10%-19%=3 分,<10%=1-2 分 |
| 故障处理正确率 | 定量 | 100%=5 分,90%-99%=4 分,80%-89%=3 分,<80%=1-2 分 | |
| 操作规范达标率 | 定性 | 完全达标 = 5 分,基本达标 = 4 分,部分达标 = 3 分,未达标 = 1-2 分 | |
| 设备适配(20%) | 模拟机运行稳定性 | 定量 | 故障率 = 0=5 分,≤1%=4 分,1%-3%=3 分,>3%=1-2 分 |
| 数据传输延迟 | 定量 | ≤50ms=5 分,50-100ms=4 分,100-200ms=3 分,>200ms=1-2 分 | |
| 硬件兼容性 | 定性 | 无兼容问题 = 5 分,轻微兼容问题 = 4 分,影响操作 = 3 分,严重影响 = 1-2 分 | |
| 人员适配(25%) | 岗位配合默契度 | 定性 | 高度默契 = 5 分,较默契 = 4 分,一般 = 3 分,不默契 = 1-2 分 |
| 应急协同处置能力 | 定性 | 快速有效 = 5 分,有效 = 4 分,基本有效 = 3 分,无效 = 1-2 分 | |
| 训练参与度 | 定量 | ≥95%=5 分,90%-94%=4 分,85%-89%=3 分,<85%=1-2 分 |
二、数据采集与预处理实操指南
1. 数据采集工具与频率
-
定量数据:直接从模拟机系统导出(每批次训练结束自动生成日志),用 Excel 整理成 “指标 - 数值” 对照表;
-
定性数据:设计评分问卷(含指标定义 + 分级说明),专家 / 参训人员在线填写(问卷星 / 企业微信表单),每批次训练后 1 小时内完成;
-
采集频率:单批次训练对应 1 次完整数据采集,月度汇总分析趋势。
2. 数据预处理技巧
-
缺失值处理:少量缺失(<5%)用同场景训练数据的中位数填充,大量缺失则剔除该指标或重新采集;
-
异常值处理:用 3σ 原则(超出均值 ±3 倍标准差)识别异常值,替换为该指标的 95 分位数(避免极端值影响);
-
标准化统一:定量指标用 min-max 归一化(映射到 [0,1]),定性指标直接用 1-5 分的原始得分,无需额外标准化。
三、核心计算步骤(附示例)
1. 组合权重计算示例(以 “协同效能” 下 3 个二级指标为例)
-
专家 AHP 打分后,权重为:同步率 = 0.4,准确率 = 0.3,时效 = 0.3(CR=0.08<0.1,通过一致性检验);
-
熵权法计算后,权重为:同步率 = 0.35,准确率 = 0.35,时效 = 0.3;
-
组合权重(α=0.5):同步率 = 0.375,准确率 = 0.325,时效 = 0.3。
2. 云关联度与综合评价示例
-
某批次训练 “同步率” 标准化后值 = 0.8(对应原始值 0.4s,5 分);
-
优秀等级云参数:Ex=5,En=0.8,He=0.2(迭代后期 He=0.15);
-
关联度计算:K_优秀 = exp [-((0.8×5-5)²)/(2 (0.8+0.15×1.2)²)]≈0.89(ξ 取 1.2,正态随机数);
-
综合关联度:S_优秀 = 0.375×0.89 + 0.325×0.91 + 0.3×0.87≈0.89,为最大关联度,判定为 “优秀”。
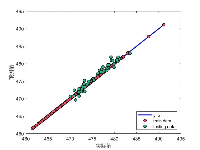
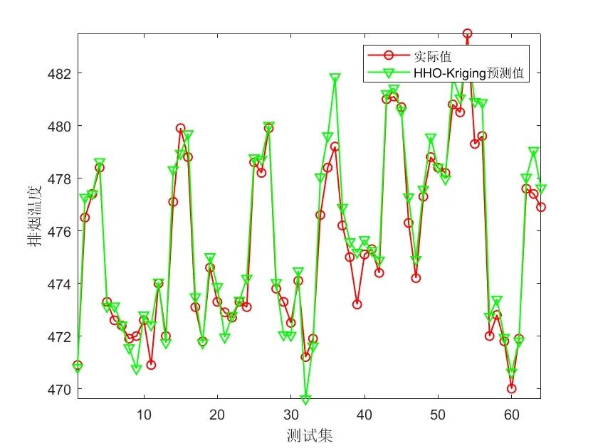
⛳️ 运行结果
测试集-决定系数(R):0.94408





📣 部分代码
🔗 参考文献
🎈 部分理论引用网络文献,若有侵权联系博主删除
👇 关注我领取海量matlab电子书和数学建模资料
🏆团队擅长辅导定制多种科研领域MATLAB仿真,助力科研梦:
🌟 各类智能优化算法改进及应用
生产调度、经济调度、装配线调度、充电优化、车间调度、发车优化、水库调度、三维装箱、物流选址、货位优化、公交排班优化、充电桩布局优化、车间布局优化、集装箱船配载优化、水泵组合优化、解医疗资源分配优化、设施布局优化、可视域基站和无人机选址优化、背包问题、 风电场布局、时隙分配优化、 最佳分布式发电单元分配、多阶段管道维修、 工厂-中心-需求点三级选址问题、 应急生活物质配送中心选址、 基站选址、 道路灯柱布置、 枢纽节点部署、 输电线路台风监测装置、 集装箱调度、 机组优化、 投资优化组合、云服务器组合优化、 天线线性阵列分布优化、CVRP问题、VRPPD问题、多中心VRP问题、多层网络的VRP问题、多中心多车型的VRP问题、 动态VRP问题、双层车辆路径规划(2E-VRP)、充电车辆路径规划(EVRP)、油电混合车辆路径规划、混合流水车间问题、 订单拆分调度问题、 公交车的调度排班优化问题、航班摆渡车辆调度问题、选址路径规划问题、港口调度、港口岸桥调度、停机位分配、机场航班调度、泄漏源定位、冷链、时间窗、多车场等、选址优化、港口岸桥调度优化、交通阻抗、重分配、停机位分配、机场航班调度、通信上传下载分配优化
🌟 机器学习和深度学习时序、回归、分类、聚类和降维
2.1 bp时序、回归预测和分类
2.2 ENS声神经网络时序、回归预测和分类
2.3 SVM/CNN-SVM/LSSVM/RVM支持向量机系列时序、回归预测和分类
2.4 CNN|TCN|GCN卷积神经网络系列时序、回归预测和分类
2.5 ELM/KELM/RELM/DELM极限学习机系列时序、回归预测和分类
2.6 GRU/Bi-GRU/CNN-GRU/CNN-BiGRU门控神经网络时序、回归预测和分类
2.7 ELMAN递归神经网络时序、回归\预测和分类
2.8 LSTM/BiLSTM/CNN-LSTM/CNN-BiLSTM/长短记忆神经网络系列时序、回归预测和分类
2.9 RBF径向基神经网络时序、回归预测和分类
2.10 DBN深度置信网络时序、回归预测和分类
2.11 FNN模糊神经网络时序、回归预测
2.12 RF随机森林时序、回归预测和分类
2.13 BLS宽度学习时序、回归预测和分类
2.14 PNN脉冲神经网络分类
2.15 模糊小波神经网络预测和分类
2.16 时序、回归预测和分类
2.17 时序、回归预测预测和分类
2.18 XGBOOST集成学习时序、回归预测预测和分类
2.19 Transform各类组合时序、回归预测预测和分类
方向涵盖风电预测、光伏预测、电池寿命预测、辐射源识别、交通流预测、负荷预测、股价预测、PM2.5浓度预测、电池健康状态预测、用电量预测、水体光学参数反演、NLOS信号识别、地铁停车精准预测、变压器故障诊断
🌟图像处理方面
图像识别、图像分割、图像检测、图像隐藏、图像配准、图像拼接、图像融合、图像增强、图像压缩感知
🌟 路径规划方面
旅行商问题(TSP)、车辆路径问题(VRP、MVRP、CVRP、VRPTW等)、无人机三维路径规划、无人机协同、无人机编队、机器人路径规划、栅格地图路径规划、多式联运运输问题、 充电车辆路径规划(EVRP)、 双层车辆路径规划(2E-VRP)、 油电混合车辆路径规划、 船舶航迹规划、 全路径规划规划、 仓储巡逻、公交车时间调度、水库调度优化、多式联运优化
🌟 无人机应用方面
无人机路径规划、无人机控制、无人机编队、无人机协同、无人机任务分配、无人机安全通信轨迹在线优化、车辆协同无人机路径规划、
🌟 通信方面
传感器部署优化、通信协议优化、路由优化、目标定位优化、Dv-Hop定位优化、Leach协议优化、WSN覆盖优化、组播优化、RSSI定位优化、水声通信、通信上传下载分配
🌟 信号处理方面
信号识别、信号加密、信号去噪、信号增强、雷达信号处理、信号水印嵌入提取、肌电信号、脑电信号、信号配时优化、心电信号、DOA估计、编码译码、变分模态分解、管道泄漏、滤波器、数字信号处理+传输+分析+去噪、数字信号调制、误码率、信号估计、DTMF、信号检测
🌟电力系统方面
微电网优化、无功优化、配电网重构、储能配置、有序充电、MPPT优化、家庭用电、电/冷/热负荷预测、电力设备故障诊断、电池管理系统(BMS)SOC/SOH估算(粒子滤波/卡尔曼滤波)、 多目标优化在电力系统调度中的应用、光伏MPPT控制算法改进(扰动观察法/电导增量法)、电动汽车充放电优化、微电网日前日内优化、储能优化、家庭用电优化、供应链优化
🌟 元胞自动机方面
交通流 人群疏散 病毒扩散 晶体生长 金属腐蚀
🌟 雷达方面
卡尔曼滤波跟踪、航迹关联、航迹融合、SOC估计、阵列优化、NLOS识别
🌟 车间调度
零等待流水车间调度问题NWFSP 、 置换流水车间调度问题PFSP、 混合流水车间调度问题HFSP 、零空闲流水车间调度问题NIFSP、分布式置换流水车间调度问题 DPFSP、阻塞流水车间调度问题BFSP
👇
1314

被折叠的 条评论
为什么被折叠?



