✅作者简介:热爱科研的Matlab仿真开发者,擅长数据处理、建模仿真、程序设计、完整代码获取、论文复现及科研仿真。
🍎 往期回顾关注个人主页:Matlab科研工作室
🍊个人信条:格物致知,完整Matlab代码获取及仿真咨询内容私信。
🔥 内容介绍
通过 “双虚拟领航 + 链式通信 + 神经网络抗扰” 的三层架构,精准解决了 4 艘欠驱动 USV 在多圆形障碍环境下的 “编队保持 - 障碍规避 - 抗扰稳定” 难题,尤其双领航动态交互与 ESO 抗扰补的结合,能有效应对复杂海洋场景的不确定性。该方案的核心是在分层控制框架下,让各模块各司其职又协同联动,最终实现 USV 在 3 个圆形障碍环境下的安全、精准协同运动。
一、核心模块设计与协同逻辑
整个系统通过 “领航决策 - 通信协调 - 抗扰控制” 三层架构实现功能,各模块的核心设计与交互关系如下:
1. 双虚拟领航器:动态调整的编队 “指挥中枢”
双领航器并非固定分工,而是通过动态交互适配障碍环境,解决传统单领航器 “避障与编队难兼顾” 的问题。
- 动态角色切换
:正常巡航时,“领航器 A” 生成全局编队参考轨迹(如矩形队形的中心路径),“领航器 B” 辅助校准各 USV 的相对位置;当探测到 3 个圆形障碍时,领航器 B 切换为 “障碍决策端”,实时计算障碍与编队的最小安全距离(如设定为障碍半径 + 2m),并将数据反馈给领航器 A。
- 轨迹协同修正
:针对 3 个圆形障碍的分布(如左、中、右各 1 个),双领航器协同生成 “分段绕障轨迹”—— 例如先整体向左侧偏移,避开右侧障碍;再微调航向绕开中间障碍;最后恢复路径避开左侧障碍,同时确保每段轨迹都符合 4 艘 USV 的欠驱动运动特性(仅纵荡、艏摇可控),避免出现无法执行的横荡指令。
- 队形参数同步
:绕障过程中,双领航器会同步更新各 USV 的目标位置(如缩小横向间距以紧凑队形绕障),并将参数下发至每艘 USV,为编队协同提供统一参考。
2. 链式通信:分布式信息交互的 “传输链路”
针对 4 艘 USV 的规模,链式通信(如 USV1→USV2→USV3→USV4)能在降低通信负荷的同时,确保障碍与编队信息的高效传递。
- 信息交互内容
:每艘 USV 仅向相邻艇传递两类核心信息:一是 “自身状态”(位置、速度、艏向角),二是 “障碍感知结果”(是否探测到圆形障碍、障碍相对坐标);同时接收前 / 后邻艇的信息,实现局部数据融合。
- 协同一致性保障
:基于链式通信获取的邻艇数据,各 USV 通过一致性算法调整自身运动 —— 例如 USV2 接收到 USV1 “接近中间障碍” 的信息后,会主动减速并向 USV3 传递 “需同步减速绕障” 的指令,避免编队出现前后脱节。
- 故障冗余设计
:若某一艘 USV(如 USV2)通信中断,USV1 会直接与 USV3 建立临时通信链路,确保信息不中断,提升分布式系统的可靠性。
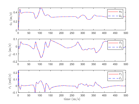
3. 神经网络抗扰 + ESO 状态估计:应对扰动与状态缺失的 “稳定器”
欠驱动 USV 易受海洋风、浪、流扰动,且部分状态(如横荡速度)难以直接测量,该组合模块可同时解决这两个问题。
- 神经网络抗扰补偿
:采用 RBF(径向基函数)神经网络,以 “当前运动误差(位置、航向)、环境扰动观测值(风速、浪高)” 为输入,通过离线训练 + 在线迭代学习,实时输出扰动补偿量,叠加到推进器转速(纵荡控制)和舵角(艏摇控制)指令中,抵消风、浪对运动的干扰。
- ESO 状态估计补全
:将 “未测状态(横荡速度)+ 外部未知扰动” 视为 “总扰动”,通过扩张状态观测器(ESO)实时估计 —— 一方面补全横荡速度数据,用于校准编队相对位置(避免因横荡偏移导致队形散乱);另一方面输出的 “总扰动” 信息可优化神经网络的抗扰策略,提升补偿精度。
二、3 个圆形障碍环境下的控制流程(以矩形编队为例)
假设 4 艘 USV 以矩形编队(USV1 为首艇、USV2/3 为中艇、USV4 为尾艇)巡航,3 个圆形障碍分别位于 “首艇前方 100m”“左中艇(USV2)左侧 50m”“右中艇(USV3)右侧 50m”,具体控制步骤如下:
- 障碍感知与信息上传
:USV1 通过雷达探测到前方障碍,USV2/3 分别探测到左右侧障碍,各艇通过链式通信将障碍信息(中心坐标、半径 5m)传递至所有 USV,同时反馈给双虚拟领航器。
- 双领航器轨迹规划
:领航器 B 计算出 “安全绕障路径”:编队先向右偏移 15m(避开右侧障碍),再以 20° 艏向角左转(绕开前方障碍),最后向左微调 5m(避开左侧障碍);领航器 A 根据该路径,生成 4 艘 USV 各自的目标位置序列,确保绕障过程中矩形队形间距(前后 20m、左右 15m)不变。
- 编队协同与抗扰控制
:
-
各 USV 接收目标位置后,通过链式通信比对邻艇状态(如 USV4 与 USV3 的相对位置误差),利用一致性算法计算自身的速度、舵角调整量。
-
ESO 实时估计横荡速度和总扰动,神经网络根据该结果输出抗扰补偿量(如遇 5m/s 侧风,补偿舵角 + 3°),修正控制指令。
-
推进器与舵机执行指令,驱动 USV 按规划轨迹行驶,同时通过传感器实时反馈位置误差,动态调整控制量。
-
- 避障后队形恢复
:当 4 艘 USV 均通过 3 个障碍(如 USV4 远离左侧障碍 20m),双领航器切换回正常巡航模式,重新生成原矩形编队的参考轨迹,各 USV 通过一致性算法调整位置,恢复初始队形,继续巡航。
⛳️ 运行结果






📣 部分代码
% 此处显示详细说明persistent p_i Kgif isempty(p_i)p_i = p_i0;Kg = diag([0.1 0.1]);endpi_dot = (-Kg*(eF+pi_o+pi_usv)+pj_dot+vs)/di;% if norm(pi_dot) >= 0.5% pi_dot = 0.5*pi_dot/norm(pi_dot);% endp_i = ts*pi_dot+p_i;pio = p_i;end
🔗 参考文献
[1]向先波.二阶非完整性水下机器人的路径跟踪与协调控制研究[D].华中科技大学[2025-11-03].DOI:10.7666/d.d153157.
🎈 部分理论引用网络文献,若有侵权联系博主删除
👇 关注我领取海量matlab电子书和数学建模资料
🏆团队擅长辅导定制多种科研领域MATLAB仿真,助力科研梦:
🌟 各类智能优化算法改进及应用
生产调度、经济调度、装配线调度、充电优化、车间调度、发车优化、水库调度、三维装箱、物流选址、货位优化、公交排班优化、充电桩布局优化、车间布局优化、集装箱船配载优化、水泵组合优化、解医疗资源分配优化、设施布局优化、可视域基站和无人机选址优化、背包问题、 风电场布局、时隙分配优化、 最佳分布式发电单元分配、多阶段管道维修、 工厂-中心-需求点三级选址问题、 应急生活物质配送中心选址、 基站选址、 道路灯柱布置、 枢纽节点部署、 输电线路台风监测装置、 集装箱调度、 机组优化、 投资优化组合、云服务器组合优化、 天线线性阵列分布优化、CVRP问题、VRPPD问题、多中心VRP问题、多层网络的VRP问题、多中心多车型的VRP问题、 动态VRP问题、双层车辆路径规划(2E-VRP)、充电车辆路径规划(EVRP)、油电混合车辆路径规划、混合流水车间问题、 订单拆分调度问题、 公交车的调度排班优化问题、航班摆渡车辆调度问题、选址路径规划问题、港口调度、港口岸桥调度、停机位分配、机场航班调度、泄漏源定位、冷链、时间窗、多车场等、选址优化、港口岸桥调度优化、交通阻抗、重分配、停机位分配、机场航班调度、通信上传下载分配优化
🌟 机器学习和深度学习时序、回归、分类、聚类和降维
2.1 bp时序、回归预测和分类
2.2 ENS声神经网络时序、回归预测和分类
2.3 SVM/CNN-SVM/LSSVM/RVM支持向量机系列时序、回归预测和分类
2.4 CNN|TCN|GCN卷积神经网络系列时序、回归预测和分类
2.5 ELM/KELM/RELM/DELM极限学习机系列时序、回归预测和分类
2.6 GRU/Bi-GRU/CNN-GRU/CNN-BiGRU门控神经网络时序、回归预测和分类
2.7 ELMAN递归神经网络时序、回归\预测和分类
2.8 LSTM/BiLSTM/CNN-LSTM/CNN-BiLSTM/长短记忆神经网络系列时序、回归预测和分类
2.9 RBF径向基神经网络时序、回归预测和分类
2.10 DBN深度置信网络时序、回归预测和分类
2.11 FNN模糊神经网络时序、回归预测
2.12 RF随机森林时序、回归预测和分类
2.13 BLS宽度学习时序、回归预测和分类
2.14 PNN脉冲神经网络分类
2.15 模糊小波神经网络预测和分类
2.16 时序、回归预测和分类
2.17 时序、回归预测预测和分类
2.18 XGBOOST集成学习时序、回归预测预测和分类
2.19 Transform各类组合时序、回归预测预测和分类
方向涵盖风电预测、光伏预测、电池寿命预测、辐射源识别、交通流预测、负荷预测、股价预测、PM2.5浓度预测、电池健康状态预测、用电量预测、水体光学参数反演、NLOS信号识别、地铁停车精准预测、变压器故障诊断
🌟图像处理方面
图像识别、图像分割、图像检测、图像隐藏、图像配准、图像拼接、图像融合、图像增强、图像压缩感知
🌟 路径规划方面
旅行商问题(TSP)、车辆路径问题(VRP、MVRP、CVRP、VRPTW等)、无人机三维路径规划、无人机协同、无人机编队、机器人路径规划、栅格地图路径规划、多式联运运输问题、 充电车辆路径规划(EVRP)、 双层车辆路径规划(2E-VRP)、 油电混合车辆路径规划、 船舶航迹规划、 全路径规划规划、 仓储巡逻、公交车时间调度、水库调度优化、多式联运优化
🌟 无人机应用方面
无人机路径规划、无人机控制、无人机编队、无人机协同、无人机任务分配、无人机安全通信轨迹在线优化、车辆协同无人机路径规划、
🌟 通信方面
传感器部署优化、通信协议优化、路由优化、目标定位优化、Dv-Hop定位优化、Leach协议优化、WSN覆盖优化、组播优化、RSSI定位优化、水声通信、通信上传下载分配
🌟 信号处理方面
信号识别、信号加密、信号去噪、信号增强、雷达信号处理、信号水印嵌入提取、肌电信号、脑电信号、信号配时优化、心电信号、DOA估计、编码译码、变分模态分解、管道泄漏、滤波器、数字信号处理+传输+分析+去噪、数字信号调制、误码率、信号估计、DTMF、信号检测
🌟电力系统方面
微电网优化、无功优化、配电网重构、储能配置、有序充电、MPPT优化、家庭用电、电/冷/热负荷预测、电力设备故障诊断、电池管理系统(BMS)SOC/SOH估算(粒子滤波/卡尔曼滤波)、 多目标优化在电力系统调度中的应用、光伏MPPT控制算法改进(扰动观察法/电导增量法)、电动汽车充放电优化、微电网日前日内优化、储能优化、家庭用电优化、供应链优化
🌟 元胞自动机方面
交通流 人群疏散 病毒扩散 晶体生长 金属腐蚀
🌟 雷达方面
卡尔曼滤波跟踪、航迹关联、航迹融合、SOC估计、阵列优化、NLOS识别
🌟 车间调度
零等待流水车间调度问题NWFSP 、 置换流水车间调度问题PFSP、 混合流水车间调度问题HFSP 、零空闲流水车间调度问题NIFSP、分布式置换流水车间调度问题 DPFSP、阻塞流水车间调度问题BFSP
👇
双虚拟领航USV编队控制
919

被折叠的 条评论
为什么被折叠?



