✅作者简介:热爱科研的Matlab仿真开发者,擅长数据处理、建模仿真、程序设计、完整代码获取、论文复现及科研仿真。
🍎 往期回顾关注个人主页:Matlab科研工作室
🍊个人信条:格物致知,完整Matlab代码及仿真咨询内容私信。
🔥 内容介绍
在航天工程与武器装备领域,固体火箭发动机作为 “高能量密度、快速响应、结构紧凑” 的动力装置,其内部弹道性能直接决定了飞行器的射程、速度、机动性等核心指标。内部弹道学作为研究发动机工作过程中 “燃烧、流动、能量转换” 的核心学科,需精准描述固体推进剂燃烧速率、燃烧室压力变化、喷管气流参数演化等动态过程。相较于液体火箭发动机,固体火箭发动机的内部弹道具有 “推进剂一次性燃烧、参数耦合强、工况不可逆” 等特性,对建模精度与工程设计的要求更为严苛。本文将从内部弹道的核心物理过程、数学建模方法、关键影响因素、仿真分析流程四个维度,系统解析固体火箭发动机内部弹道的本质规律,为发动机设计优化与性能调控提供科学依据。
核心背景:固体火箭发动机内部弹道的定义与工程意义
要理解内部弹道的研究价值,需先明确其定义、核心任务与工程应用场景,这是后续物理过程分析与建模的基础。
(一)内部弹道的定义与研究范畴
固体火箭发动机内部弹道是指发动机从点火启动到推进剂燃烧完毕的整个工作周期内,燃烧室与喷管系统中发生的 “推进剂燃烧、燃气流动、能量转换” 等物理化学过程的总和,其研究范畴可概括为 “三过程、两参数、一目标”:
- 三过程:固体推进剂点火与燃烧过程(化学能释放)、燃烧产物在燃烧室的流动与混合过程(能量传递)、燃气通过喷管的膨胀加速过程(热能转化为动能);
- 两参数:核心研究参数分为 “状态参数”(燃烧室压力、燃气温度、燃气密度)与 “性能参数”(推力、比冲、工作时间),两者随时间动态变化且相互耦合;
- 一目标:通过调控内部弹道过程,使发动机输出的推力与比冲满足飞行器需求(如导弹的快速助推、卫星的轨道调整),同时确保参数变化平稳(如压力波动幅度 < 5%),避免发动机结构过载或性能失效。
(二)内部弹道的工程意义
内部弹道性能直接决定固体火箭发动机的工程应用价值,其核心意义体现在三个方面:
- 飞行器动力匹配:内部弹道的推力 - 时间曲线需与飞行器的飞行任务精准匹配 —— 例如,防空导弹需 “短时间高推力” 实现快速加速(如 10 秒内推力达 100kN),而运载火箭上面级需 “长时间低推力” 实现轨道精细调整(如 300 秒内推力稳定在 5kN);
- 发动机结构安全:燃烧室最大压力需严格控制在结构强度极限内(如钛合金燃烧室的许用压力通常为 15-25MPa),内部弹道建模需提前预测压力峰值,避免结构破裂;
- 性能稳定性保障:同一批次发动机的内部弹道参数(如推力偏差、工作时间波动)需控制在工程允许范围内(如推力偏差 < 3%),确保飞行器飞行轨迹的一致性,这依赖于对内部弹道影响因素的精准把控。
一、固体火箭发动机内部弹道的核心物理过程
内部弹道的本质是 “化学能→热能→动能” 的能量转换过程,该过程通过 “点火燃烧、燃烧室流动、喷管膨胀” 三个连续且耦合的物理阶段实现,每个阶段的规律与特性直接影响最终性能。
(一)阶段 1:固体推进剂的点火与燃烧过程(化学能释放)
点火与燃烧是内部弹道的起始环节,也是能量的来源,其过程可细分为 “点火启动、表面燃烧、燃烧产物生成” 三个子阶段,核心是控制推进剂的燃烧速率与能量释放效率。
- 点火启动阶段
- 物理过程:点火器(如烟火剂点火器、电点火器)产生的高温火焰(温度 2000-3000K)与高压燃气,作用于固体推进剂表面,使推进剂表层受热分解并点燃 —— 例如,复合推进剂(AP/Al/HTPB)的点火阈值温度约 600-800K,点火延迟时间通常为 10-100ms;
- 关键影响因素:点火器的能量输出(如点火药质量、燃气温度)、推进剂的点火敏感性(如分解活化能)、初始环境压力(燃烧室初始压力越高,点火延迟越短);
- 工程控制:通过设计点火器的能量释放速率,避免 “点火过冲”(推进剂表面瞬间剧烈燃烧导致压力骤升)或 “点火失败”(能量不足导致推进剂未完全点燃)。
- 表面燃烧阶段
- 燃烧模式:固体推进剂的燃烧为 “表面退缩燃烧”—— 推进剂表面燃烧后形成燃烧产物层,产物层随燃烧进程向推进剂内部移动,燃烧速率(r,单位 mm/s)是描述该过程的核心参数;
- 燃烧速率规律:燃烧速率随燃烧室压力(P)变化的关系符合 “圣罗伯特定律(Saint-Robert's Law)”:
r=aPn
,其中 a 为燃速系数(与推进剂配方、初始温度相关),n 为燃速压强指数(反映燃烧速率对压力的敏感程度);
- 例如,复合推进剂的 n 值通常为 0.3-0.8(n 越小,燃烧速率受压力波动影响越小,性能越稳定),双基推进剂的 n 值为 0.8-1.2(对压力更敏感);
- 燃烧稳定性:正常燃烧时,推进剂表面温度稳定在 1000-1500K,燃烧产物层厚度均匀;若出现 “不稳定燃烧”(如振荡燃烧),会导致燃烧速率波动幅度 > 10%,进而引发燃烧室压力剧烈波动,甚至发动机爆炸。
- 燃烧产物生成阶段
- 产物组成:推进剂燃烧生成的燃气由 “气相产物”(如 CO₂、H₂O、Al₂O₃气态)与 “凝聚相产物”(如 Al₂O₃液态颗粒)组成,其中凝聚相产物占比(质量分数)通常为 10%-30%(复合推进剂因含铝粉,凝聚相占比更高);
- 产物特性:燃气温度(T_g)是关键参数,复合推进剂的燃烧温度通常为 2800-3200K,双基推进剂为 2400-2800K;燃气的比热容比(γ)约为 1.2-1.3(影响喷管膨胀效率);
- 能量损失:凝聚相产物会导致 “两相流损失”—— 液态 Al₂O₃颗粒无法完全跟随燃气流动,存在速度滞后与能量耗散,使发动机比冲降低 5%-10%。
(二)阶段 2:燃烧产物在燃烧室的流动与混合过程(能量传递)
燃烧产物在燃烧室中的流动是连接 “燃烧” 与 “喷管膨胀” 的桥梁,其核心是实现燃气的均匀混合与稳定流动,为喷管提供稳定的入口条件。
- 流动特性
- 流动状态:燃烧室通常为圆柱形或星形,燃气在燃烧室内的流动以 “低速湍流” 为主,流速约 10-50m/s(远低于声速,马赫数 Ma<0.3),可近似为 “准定常流动”(同一时刻燃烧室各截面的参数变化 < 1%);
- 混合过程:推进剂燃烧面释放的燃气与燃烧室原有燃气发生混合,需确保混合均匀性(如温度偏差 < 5%),避免局部高温导致燃烧室壁面过热(如壁面温度超过材料耐受极限,引发烧蚀);
- 压力分布:燃烧室轴向压力分布相对平缓,因燃气流动阻力导致的压力损失通常 <3%,可近似认为燃烧室为 “等压腔”(仅需关注燃烧室平均压力)。
- 关键物理现象
- 边界层效应:燃气在燃烧室壁面附近形成 “边界层”(厚度 1-5mm),边界层内燃气流速从壁面处的 0 逐步增加至主流速度,因热传导导致壁面温度升高,需通过隔热层(如碳 - 碳复合材料)降低热流密度(通常控制在 1000-3000W/m²);
- 凝聚相颗粒沉积:部分液态 Al₂O₃颗粒会沉积在燃烧室壁面或喷管入口,形成 “积碳层”—— 若沉积过厚(如超过 1mm),会导致燃烧室有效容积减小,压力升高,需通过优化推进剂配方(如添加防沉积剂)或燃烧室设计(如内壁抛光)减少沉积。

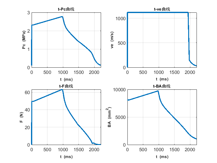
⛳️ 运行结果

📣 部分代码
% read data from cfg file
user_model=preModelCFG(cfg_filename);
C_BV=0.5; % 燃速衰减系数,根据实际数据拟合KNSB为0.5
burn_data_number=size(user_model.burn_rate_data,1);
user_model.burn_rate_data=user_model.burn_rate_data.*[ones(burn_data_number,1)*C_BV,ones(burn_data_number,1),ones(burn_data_number,1)];
% user_model.burn_area_data=erosiveCombustion(user_model.burn_area_data,user_model.LC/user_model.DC); % 计算侵蚀燃烧对燃面肉厚曲线的改变
grain_mass=user_model.grain_volume_initial*user_model.PD;
disp("grain_volume: "+user_model.grain_volume_initial);
disp("grain_mass: "+grain_mass);
🔗 参考文献
🎈 部分理论引用网络文献,若有侵权联系博主删除
👇 关注我领取海量matlab电子书和数学建模资料
🏆团队擅长辅导定制多种科研领域MATLAB仿真,助力科研梦:
🌟 各类智能优化算法改进及应用
生产调度、经济调度、装配线调度、充电优化、车间调度、发车优化、水库调度、三维装箱、物流选址、货位优化、公交排班优化、充电桩布局优化、车间布局优化、集装箱船配载优化、水泵组合优化、解医疗资源分配优化、设施布局优化、可视域基站和无人机选址优化、背包问题、 风电场布局、时隙分配优化、 最佳分布式发电单元分配、多阶段管道维修、 工厂-中心-需求点三级选址问题、 应急生活物质配送中心选址、 基站选址、 道路灯柱布置、 枢纽节点部署、 输电线路台风监测装置、 集装箱调度、 机组优化、 投资优化组合、云服务器组合优化、 天线线性阵列分布优化、CVRP问题、VRPPD问题、多中心VRP问题、多层网络的VRP问题、多中心多车型的VRP问题、 动态VRP问题、双层车辆路径规划(2E-VRP)、充电车辆路径规划(EVRP)、油电混合车辆路径规划、混合流水车间问题、 订单拆分调度问题、 公交车的调度排班优化问题、航班摆渡车辆调度问题、选址路径规划问题、港口调度、港口岸桥调度、停机位分配、机场航班调度、泄漏源定位、冷链、时间窗、多车场等、选址优化、港口岸桥调度优化、交通阻抗、重分配、停机位分配、机场航班调度、通信上传下载分配优化
🌟 机器学习和深度学习时序、回归、分类、聚类和降维
2.1 bp时序、回归预测和分类
2.2 ENS声神经网络时序、回归预测和分类
2.3 SVM/CNN-SVM/LSSVM/RVM支持向量机系列时序、回归预测和分类
2.4 CNN|TCN|GCN卷积神经网络系列时序、回归预测和分类
2.5 ELM/KELM/RELM/DELM极限学习机系列时序、回归预测和分类
2.6 GRU/Bi-GRU/CNN-GRU/CNN-BiGRU门控神经网络时序、回归预测和分类
2.7 ELMAN递归神经网络时序、回归\预测和分类
2.8 LSTM/BiLSTM/CNN-LSTM/CNN-BiLSTM/长短记忆神经网络系列时序、回归预测和分类
2.9 RBF径向基神经网络时序、回归预测和分类
2.10 DBN深度置信网络时序、回归预测和分类
2.11 FNN模糊神经网络时序、回归预测
2.12 RF随机森林时序、回归预测和分类
2.13 BLS宽度学习时序、回归预测和分类
2.14 PNN脉冲神经网络分类
2.15 模糊小波神经网络预测和分类
2.16 时序、回归预测和分类
2.17 时序、回归预测预测和分类
2.18 XGBOOST集成学习时序、回归预测预测和分类
2.19 Transform各类组合时序、回归预测预测和分类
方向涵盖风电预测、光伏预测、电池寿命预测、辐射源识别、交通流预测、负荷预测、股价预测、PM2.5浓度预测、电池健康状态预测、用电量预测、水体光学参数反演、NLOS信号识别、地铁停车精准预测、变压器故障诊断
🌟图像处理方面
图像识别、图像分割、图像检测、图像隐藏、图像配准、图像拼接、图像融合、图像增强、图像压缩感知
🌟 路径规划方面
旅行商问题(TSP)、车辆路径问题(VRP、MVRP、CVRP、VRPTW等)、无人机三维路径规划、无人机协同、无人机编队、机器人路径规划、栅格地图路径规划、多式联运运输问题、 充电车辆路径规划(EVRP)、 双层车辆路径规划(2E-VRP)、 油电混合车辆路径规划、 船舶航迹规划、 全路径规划规划、 仓储巡逻、公交车时间调度、水库调度优化、多式联运优化
🌟 无人机应用方面
无人机路径规划、无人机控制、无人机编队、无人机协同、无人机任务分配、无人机安全通信轨迹在线优化、车辆协同无人机路径规划、
🌟 通信方面
传感器部署优化、通信协议优化、路由优化、目标定位优化、Dv-Hop定位优化、Leach协议优化、WSN覆盖优化、组播优化、RSSI定位优化、水声通信、通信上传下载分配
🌟 信号处理方面
信号识别、信号加密、信号去噪、信号增强、雷达信号处理、信号水印嵌入提取、肌电信号、脑电信号、信号配时优化、心电信号、DOA估计、编码译码、变分模态分解、管道泄漏、滤波器、数字信号处理+传输+分析+去噪、数字信号调制、误码率、信号估计、DTMF、信号检测
🌟电力系统方面
微电网优化、无功优化、配电网重构、储能配置、有序充电、MPPT优化、家庭用电、电/冷/热负荷预测、电力设备故障诊断、电池管理系统(BMS)SOC/SOH估算(粒子滤波/卡尔曼滤波)、 多目标优化在电力系统调度中的应用、光伏MPPT控制算法改进(扰动观察法/电导增量法)、电动汽车充放电优化、微电网日前日内优化、储能优化、家庭用电优化、供应链优化
🌟 元胞自动机方面
交通流 人群疏散 病毒扩散 晶体生长 金属腐蚀
🌟 雷达方面
卡尔曼滤波跟踪、航迹关联、航迹融合、SOC估计、阵列优化、NLOS识别
🌟 车间调度
零等待流水车间调度问题NWFSP 、 置换流水车间调度问题PFSP、 混合流水车间调度问题HFSP 、零空闲流水车间调度问题NIFSP、分布式置换流水车间调度问题 DPFSP、阻塞流水车间调度问题BFSP
👇
852

被折叠的 条评论
为什么被折叠?



