✅作者简介:热爱科研的Matlab仿真开发者,擅长数据处理、建模仿真、程序设计、完整代码获取、论文复现及科研仿真。
🍎 往期回顾关注个人主页:Matlab科研工作室
🍊个人信条:格物致知,完整Matlab代码及仿真咨询内容私信。
🔥 内容介绍
车辆在崎岖地形(如山地、越野路面、未铺装道路)行驶时,垂直方向的颠簸与冲击是影响行驶安全性、乘坐舒适性及部件寿命的核心因素。传统路径规划方法多关注平面轨迹的可达性,难以动态适应地形起伏导致的垂直运动波动;而被动悬架等机械方案对极端地形的适应性有限。深度强化学习(DRL) 凭借其在高维状态空间中的自主决策能力,可通过与环境的持续交互学习最优路径与控制策略,实现崎岖地形下车辆垂直运动的主动稳定。本文将构建基于 DRL 的路径规划框架,通过状态感知、奖励机制设计与策略优化,使车辆在复杂地形中自主选择最优路径,最小化垂直加速度波动,提升行驶稳定性。
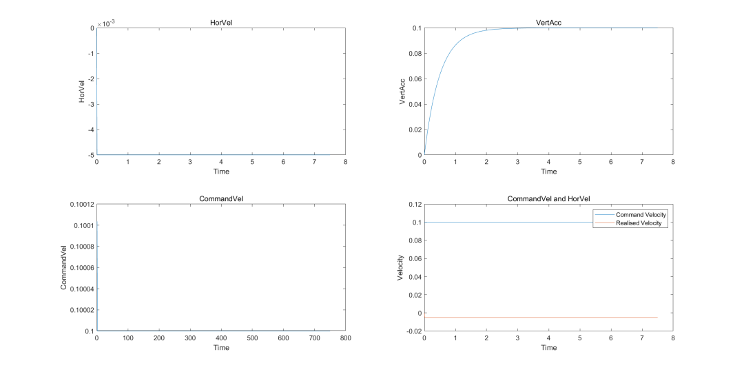
⛳️ 运行结果




📣 部分代码
state [x,dx,theta,dtheta]'
State = [0;0;0;0;0;0];
Reward = 0;
steps = 1;
episodes = 1;
HorVel;
VerAcc;
Pitch;
y_d = 0;
VelError = 0;
H = 0.008;
mu = 2;
end
properties(Access = protected)
% Initialize internal flag to indicate episode termination
IsDone = false
end
%% Necessary Methods
methods
% Contructor method creates an instance of the environment
% Change class name and constructor name accordingly
function this = HCarENV()
% Initialize Observation settings
ObservationInfo = rlNumericSpec([13,1]);
ObservationInfo.Name = 'Observations for Agent';
ObservationInfo.Description = 'h_X (pixel area),dx, ddy';
% Initialize Action settings
ActionInfo = rlNumericSpec(1,'LowerLimit',0.1 ,'UpperLimit',1);
%ActionInfo = rlNumericSpec(1,'LowerLimit',1 ,'UpperLimit',1);
ActionInfo.Name = 'Command Velocity';
ActionInfo.Description = 'V';
% The following line implements built-in functions of RL env
this = this@rl.env.MATLABEnvironment(ObservationInfo,ActionInfo);
% Initialize property values and pre-compute necessary values
%updateActionInfo(this);
end
% Apply system dynamics and simulates the environment with the
% given action for one step.
function [Observation,Reward,IsDone,LoggedSignals] = step(this,Action)
LoggedSignals = [];
% Get action
Cmd_Vel = double(Action);
U_vel = Cmd_Vel;
timestep = 0.01;
new_states=QCTransverseDynamics(this.State,U_vel,timestep,this.H,this.mu);
this.steps =this.steps +1;
new_states=real(new_states);
h = new_states(1:10);
area = new_states(11);
x = new_states(12);
x_dot = new_states(13);
y = new_states(14);
y_dot = new_states(15);
y_ddot = ((y_dot - this.y_d) /timestep);
%y_ddot = ((y_dot - this.y_d) /timestep);
y_ddot = y_ddot +9.8+ 0.1 - 0.2*randi(1);
this.y_d = y_dot;
th = new_states(16);
th_dot = new_states(17);
this.HorVel = x_dot;
this.VerAcc = y_ddot;
this.Pitch = th_dot;
%this.TrackHorizontalVel = 0.4;
%this.VelError = abs(this.TrackHorizontalVel -x_dot);
Observation = [h';area;x_dot;y_ddot];
% Update system states
this.State = [x;x_dot;y;y_dot;th;th_dot];
% Get reward
Reward = getReward(this);
%fprintf('x_dot = %0.2f \tx_dot_track = %0.2f \ty_e = %0.2f \tT = %0.2f \tK = %0.2f \n',x_dot,this.TrackHorizontalVel,this.OscError,Torque,Stiffness)
% Check terminal condition
IsDone = this.steps > 1000;
this.IsDone = IsDone;
end
% Reset environment to initial state and output initial observation
function InitialObservation = reset(this)
x =0;
x_dot = 0;
y = 0;
y_dot = 0;
y_ddot = 0;
%this.VelError = this.TrackHorizontalVel -x_dot;
h = zeros(10,1);
th = 0;
th_dot = 0;
area =0;
end
end
methods (Access = protected)
end
end
🔗 参考文献
🎈 部分理论引用网络文献,若有侵权联系博主删除
👇 关注我领取海量matlab电子书和数学建模资料
🏆团队擅长辅导定制多种科研领域MATLAB仿真,助力科研梦:
🌟 各类智能优化算法改进及应用
生产调度、经济调度、装配线调度、充电优化、车间调度、发车优化、水库调度、三维装箱、物流选址、货位优化、公交排班优化、充电桩布局优化、车间布局优化、集装箱船配载优化、水泵组合优化、解医疗资源分配优化、设施布局优化、可视域基站和无人机选址优化、背包问题、 风电场布局、时隙分配优化、 最佳分布式发电单元分配、多阶段管道维修、 工厂-中心-需求点三级选址问题、 应急生活物质配送中心选址、 基站选址、 道路灯柱布置、 枢纽节点部署、 输电线路台风监测装置、 集装箱调度、 机组优化、 投资优化组合、云服务器组合优化、 天线线性阵列分布优化、CVRP问题、VRPPD问题、多中心VRP问题、多层网络的VRP问题、多中心多车型的VRP问题、 动态VRP问题、双层车辆路径规划(2E-VRP)、充电车辆路径规划(EVRP)、油电混合车辆路径规划、混合流水车间问题、 订单拆分调度问题、 公交车的调度排班优化问题、航班摆渡车辆调度问题、选址路径规划问题、港口调度、港口岸桥调度、停机位分配、机场航班调度、泄漏源定位
🌟 机器学习和深度学习时序、回归、分类、聚类和降维
2.1 bp时序、回归预测和分类
2.2 ENS声神经网络时序、回归预测和分类
2.3 SVM/CNN-SVM/LSSVM/RVM支持向量机系列时序、回归预测和分类
2.4 CNN|TCN|GCN卷积神经网络系列时序、回归预测和分类
2.5 ELM/KELM/RELM/DELM极限学习机系列时序、回归预测和分类
2.6 GRU/Bi-GRU/CNN-GRU/CNN-BiGRU门控神经网络时序、回归预测和分类
2.7 ELMAN递归神经网络时序、回归\预测和分类
2.8 LSTM/BiLSTM/CNN-LSTM/CNN-BiLSTM/长短记忆神经网络系列时序、回归预测和分类
2.9 RBF径向基神经网络时序、回归预测和分类
2.10 DBN深度置信网络时序、回归预测和分类
2.11 FNN模糊神经网络时序、回归预测
2.12 RF随机森林时序、回归预测和分类
2.13 BLS宽度学习时序、回归预测和分类
2.14 PNN脉冲神经网络分类
2.15 模糊小波神经网络预测和分类
2.16 时序、回归预测和分类
2.17 时序、回归预测预测和分类
2.18 XGBOOST集成学习时序、回归预测预测和分类
2.19 Transform各类组合时序、回归预测预测和分类
方向涵盖风电预测、光伏预测、电池寿命预测、辐射源识别、交通流预测、负荷预测、股价预测、PM2.5浓度预测、电池健康状态预测、用电量预测、水体光学参数反演、NLOS信号识别、地铁停车精准预测、变压器故障诊断
🌟图像处理方面
图像识别、图像分割、图像检测、图像隐藏、图像配准、图像拼接、图像融合、图像增强、图像压缩感知
🌟 路径规划方面
旅行商问题(TSP)、车辆路径问题(VRP、MVRP、CVRP、VRPTW等)、无人机三维路径规划、无人机协同、无人机编队、机器人路径规划、栅格地图路径规划、多式联运运输问题、 充电车辆路径规划(EVRP)、 双层车辆路径规划(2E-VRP)、 油电混合车辆路径规划、 船舶航迹规划、 全路径规划规划、 仓储巡逻
🌟 无人机应用方面
无人机路径规划、无人机控制、无人机编队、无人机协同、无人机任务分配、无人机安全通信轨迹在线优化、车辆协同无人机路径规划
🌟 通信方面
传感器部署优化、通信协议优化、路由优化、目标定位优化、Dv-Hop定位优化、Leach协议优化、WSN覆盖优化、组播优化、RSSI定位优化、水声通信、通信上传下载分配
🌟 信号处理方面
信号识别、信号加密、信号去噪、信号增强、雷达信号处理、信号水印嵌入提取、肌电信号、脑电信号、信号配时优化、心电信号、DOA估计、编码译码、变分模态分解、管道泄漏、滤波器、数字信号处理+传输+分析+去噪、数字信号调制、误码率、信号估计、DTMF、信号检测
🌟电力系统方面
微电网优化、无功优化、配电网重构、储能配置、有序充电、MPPT优化、家庭用电、电/冷/热负荷预测、电力设备故障诊断、电池管理系统(BMS)SOC/SOH估算(粒子滤波/卡尔曼滤波)、 多目标优化在电力系统调度中的应用、光伏MPPT控制算法改进(扰动观察法/电导增量法)
🌟 元胞自动机方面
交通流 人群疏散 病毒扩散 晶体生长 金属腐蚀
🌟 雷达方面
卡尔曼滤波跟踪、航迹关联、航迹融合、SOC估计、阵列优化、NLOS识别
🌟 车间调度
零等待流水车间调度问题NWFSP 、 置换流水车间调度问题PFSP、 混合流水车间调度问题HFSP 、零空闲流水车间调度问题NIFSP、分布式置换流水车间调度问题 DPFSP、阻塞流水车间调度问题BFSP
👇
深度强化学习稳定车辆崎岖地形垂直运动
7197

被折叠的 条评论
为什么被折叠?



