✅作者简介:热爱科研的Matlab仿真开发者,擅长数据处理、建模仿真、程序设计、完整代码获取、论文复现及科研仿真。
🍎 往期回顾关注个人主页:Matlab科研工作室
🍊个人信条:格物致知,完整Matlab代码及仿真咨询内容私信。
🔥 内容介绍
1. 三维 INS 和卫星组合导航系统概述
-
三维 INS(惯性导航系统)通过测量载体的加速度和角速度来推算其位置、速度和姿态信息。然而,INS 存在误差随时间积累的问题。卫星导航系统(如 GPS、北斗等)能提供精确的位置和时间信息,但信号易受遮挡和干扰。将两者组合,可实现优势互补,提高导航精度和可靠性。
2. 卡尔曼滤波
- 原理
:卡尔曼滤波是一种基于线性最小均方误差估计的最优滤波算法。它利用系统的状态方程和观测方程,通过预测和更新两个步骤,不断地估计系统的状态变量。在三维 INS 和卫星组合导航中,卡尔曼滤波可以将 INS 的推算信息作为系统的状态预测,将卫星导航系统的观测信息作为观测值,通过滤波算法来最优地估计载体的位置、速度和姿态等状态。
- 优点
:在处理线性系统和高斯噪声的情况下,卡尔曼滤波能够给出最优的估计结果。它具有严格的数学推导和清晰的计算流程,易于实现和理解。
- 缺点
:对系统模型的准确性要求较高,当系统存在非线性或非高斯噪声时,滤波性能会下降。而且,卡尔曼滤波需要存储和处理大量的矩阵信息,计算量较大,对于实时性要求较高的应用可能存在一定的限制。
3. ESKF(扩展卡尔曼滤波)
- 原理
:ESKF 是卡尔曼滤波在非线性系统中的扩展。它通过对非线性系统进行一阶泰勒展开,将其近似线性化,然后应用卡尔曼滤波的基本原理进行状态估计。在三维 INS 和卫星组合导航中,由于 INS 的运动学方程和卫星观测方程往往是非线性的,ESKF 可以更好地处理这些非线性关系,提高滤波精度。
- 优点
:能够处理非线性系统,对于 INS 和卫星组合导航这种具有非线性特性的系统,ESKF 通常比卡尔曼滤波具有更好的估计性能。它在一定程度上克服了卡尔曼滤波对系统线性化要求的限制,适用于更广泛的实际应用场景。
- 缺点
:由于进行了线性化近似,当系统的非线性程度较强时,可能会引入较大的误差。而且,ESKF 的计算过程相对复杂,需要计算雅可比矩阵等,计算量比卡尔曼滤波更大。
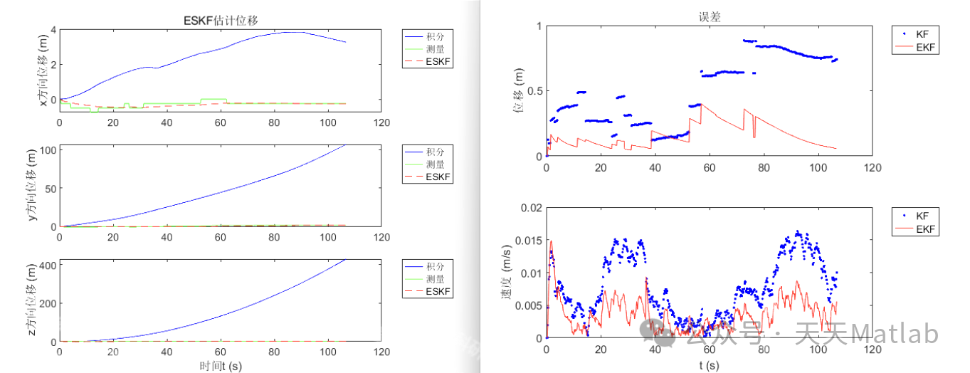
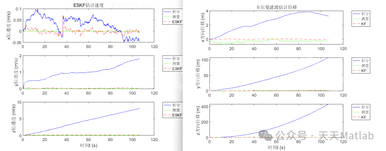
⛳️ 运行结果


🔗 参考文献
[1] 尹智慧,党龙飞,魏峥嵘,等.基于误差状态扩展卡尔曼滤波的GNSS/INS组合导航机载车载船载数据集[J].全球定位系统, 2025, 50(1):9-17.DOI:10.12265/j.gnss.2024156.
[2] 戴雨露.基于卡尔曼滤波的多传感融合定位研究[D].吉林大学,2021.
[3] 赵广营,黄卫华,章政,等.基于变结构ESKF的航姿参考系统噪声处理方法[J].电子测量与仪器学报, 2024, 38(3):112-121.DOI:10.13382/j.jemi.B2306756.
📣 部分代码
🎈 部分理论引用网络文献,若有侵权联系博主删除
👇 关注我领取海量matlab电子书和数学建模资料
🏆团队擅长辅导定制多种科研领域MATLAB仿真,助力科研梦:
🌈 各类智能优化算法改进及应用
生产调度、经济调度、装配线调度、充电优化、车间调度、发车优化、水库调度、三维装箱、物流选址、货位优化、公交排班优化、充电桩布局优化、车间布局优化、集装箱船配载优化、水泵组合优化、解医疗资源分配优化、设施布局优化、可视域基站和无人机选址优化、背包问题、 风电场布局、时隙分配优化、 最佳分布式发电单元分配、多阶段管道维修、 工厂-中心-需求点三级选址问题、 应急生活物质配送中心选址、 基站选址、 道路灯柱布置、 枢纽节点部署、 输电线路台风监测装置、 集装箱调度、 机组优化、 投资优化组合、云服务器组合优化、 天线线性阵列分布优化、CVRP问题、VRPPD问题、多中心VRP问题、多层网络的VRP问题、多中心多车型的VRP问题、 动态VRP问题、双层车辆路径规划(2E-VRP)、充电车辆路径规划(EVRP)、油电混合车辆路径规划、混合流水车间问题、 订单拆分调度问题、 公交车的调度排班优化问题、航班摆渡车辆调度问题、选址路径规划问题、港口调度、港口岸桥调度、停机位分配、机场航班调度、泄漏源定位
🌈 机器学习和深度学习时序、回归、分类、聚类和降维
2.1 bp时序、回归预测和分类
2.2 ENS声神经网络时序、回归预测和分类
2.3 SVM/CNN-SVM/LSSVM/RVM支持向量机系列时序、回归预测和分类
2.4 CNN|TCN|GCN卷积神经网络系列时序、回归预测和分类
2.5 ELM/KELM/RELM/DELM极限学习机系列时序、回归预测和分类
2.6 GRU/Bi-GRU/CNN-GRU/CNN-BiGRU门控神经网络时序、回归预测和分类
2.7 ELMAN递归神经网络时序、回归\预测和分类
2.8 LSTM/BiLSTM/CNN-LSTM/CNN-BiLSTM/长短记忆神经网络系列时序、回归预测和分类
2.9 RBF径向基神经网络时序、回归预测和分类
2.10 DBN深度置信网络时序、回归预测和分类
2.11 FNN模糊神经网络时序、回归预测
2.12 RF随机森林时序、回归预测和分类
2.13 BLS宽度学习时序、回归预测和分类
2.14 PNN脉冲神经网络分类
2.15 模糊小波神经网络预测和分类
2.16 时序、回归预测和分类
2.17 时序、回归预测预测和分类
2.18 XGBOOST集成学习时序、回归预测预测和分类
2.19 Transform各类组合时序、回归预测预测和分类
方向涵盖风电预测、光伏预测、电池寿命预测、辐射源识别、交通流预测、负荷预测、股价预测、PM2.5浓度预测、电池健康状态预测、用电量预测、水体光学参数反演、NLOS信号识别、地铁停车精准预测、变压器故障诊断
🌈图像处理方面
图像识别、图像分割、图像检测、图像隐藏、图像配准、图像拼接、图像融合、图像增强、图像压缩感知
🌈 路径规划方面
旅行商问题(TSP)、车辆路径问题(VRP、MVRP、CVRP、VRPTW等)、无人机三维路径规划、无人机协同、无人机编队、机器人路径规划、栅格地图路径规划、多式联运运输问题、 充电车辆路径规划(EVRP)、 双层车辆路径规划(2E-VRP)、 油电混合车辆路径规划、 船舶航迹规划、 全路径规划规划、 仓储巡逻
🌈 无人机应用方面
无人机路径规划、无人机控制、无人机编队、无人机协同、无人机任务分配、无人机安全通信轨迹在线优化、车辆协同无人机路径规划
🌈 通信方面
传感器部署优化、通信协议优化、路由优化、目标定位优化、Dv-Hop定位优化、Leach协议优化、WSN覆盖优化、组播优化、RSSI定位优化、水声通信、通信上传下载分配
🌈 信号处理方面
信号识别、信号加密、信号去噪、信号增强、雷达信号处理、信号水印嵌入提取、肌电信号、脑电信号、信号配时优化、心电信号、DOA估计、编码译码、变分模态分解、管道泄漏、滤波器、数字信号处理+传输+分析+去噪、数字信号调制、误码率、信号估计、DTMF、信号检测
🌈电力系统方面
微电网优化、无功优化、配电网重构、储能配置、有序充电、MPPT优化、家庭用电、电/冷/热负荷预测、电力设备故障诊断、电池管理系统(BMS)SOC/SOH估算(粒子滤波/卡尔曼滤波)、 多目标优化在电力系统调度中的应用、光伏MPPT控制算法改进(扰动观察法/电导增量法)
🌈 元胞自动机方面
交通流 人群疏散 病毒扩散 晶体生长 金属腐蚀
🌈 雷达方面
卡尔曼滤波跟踪、航迹关联、航迹融合、SOC估计、阵列优化、NLOS识别
🌈 车间调度
零等待流水车间调度问题NWFSP 、 置换流水车间调度问题PFSP、 混合流水车间调度问题HFSP 、零空闲流水车间调度问题NIFSP、分布式置换流水车间调度问题 DPFSP、阻塞流水车间调度问题BFSP
👇
509

被折叠的 条评论
为什么被折叠?



