✅作者简介:热爱科研的Matlab仿真开发者,擅长数据处理、建模仿真、程序设计、完整代码获取、论文复现及科研仿真。
🍎 往期回顾关注个人主页:Matlab科研工作室
🍊个人信条:格物致知,完整Matlab代码及仿真咨询内容私信。
🔥 内容介绍
随着信息技术的飞速发展,信号处理领域面临着日益复杂的数据处理挑战。非平稳信号广泛存在于自然界和工程实践中,例如语音、图像、生物医学信号、机械振动信号等等。有效分析和处理这些非平稳信号,提取其内在结构和特征,对于深入理解信号的产生机制、实现精确控制和优化决策至关重要。线性调频(Linear Frequency Modulation, LFM)信号,又称Chirp信号,是一种频率随时间线性变化的非平稳信号,其在雷达、声纳、通信等领域有着广泛的应用。许多复杂的非平稳信号可以被分解为多个LFM成分的叠加,因此,对LFM信号的分解与重构成为了信号处理领域的研究热点。然而,传统的信号分解方法,如傅里叶变换、小波变换等,在处理高度非线性、时变特性显著的信号时往往表现出局限性。近年来,数据驱动的自适应信号分解方法,凭借其无需预先假设信号模型、能够自适应地提取信号特征的优势,受到了越来越多的关注。本文旨在探讨数据驱动的自适应LFM模式分解的研究现状、关键技术以及未来的发展趋势。
一、 LFM模式分解的意义与挑战
LFM模式分解旨在将一个复杂的信号分解成若干个具有不同LFM特性的分量,每个分量都对应着信号中一个特定的频率变化模式。这种分解不仅有助于我们理解信号的构成,更能够为后续的信号分析、特征提取、故障诊断等应用奠定基础。具体而言,LFM模式分解的意义体现在以下几个方面:
- 特征提取:
通过将信号分解为不同的LFM分量,可以提取信号的瞬时频率、调频斜率等关键参数,这些参数能够反映信号的本质特征,为模式识别和分类提供有效的信息。
- 噪声抑制:
一些噪声信号也可能具有LFM特性,通过对信号进行LFM模式分解,可以有效地将噪声分量与目标信号分量分离,从而实现信号的降噪。
- 故障诊断:
在机械振动信号分析中,LFM模式分解可以用于提取由轴承故障、齿轮啮合等引起的LFM分量,从而实现对设备状态的监测和故障诊断。
- 信号重构:
通过对分解后的LFM分量进行重构,可以得到原信号的近似表示,这对于信号压缩、编码以及数据传输等方面都具有重要意义。
然而,实现高效、准确的LFM模式分解面临着诸多挑战:
- 信号非线性:
实际信号往往具有高度非线性特性,简单的线性模型难以准确描述信号的复杂结构,导致LFM模式分解的精度下降。
- 模式数量未知:
在很多情况下,我们无法预先知道信号中包含的LFM分量个数,因此,需要一种能够自动确定模式数量的方法。
- 分量混叠:
当信号中存在频率相近、时域重叠的LFM分量时,分解算法容易发生分量混叠现象,导致分解结果不准确。
- 计算复杂度:
一些传统的LFM模式分解方法,例如基于时频分析的方法,计算复杂度较高,难以满足实时性应用的需求。
二、 数据驱动的LFM模式分解方法
为了克服上述挑战,研究者们提出了多种数据驱动的自适应LFM模式分解方法。这些方法通常不需要预先假设信号模型,而是通过数据本身驱动算法的迭代过程,从而自适应地提取信号的LFM特征。以下介绍几种具有代表性的方法:
- 经验模态分解 (Empirical Mode Decomposition, EMD):
EMD是一种完全数据驱动的自适应信号分解方法,其核心思想是将复杂信号分解成一系列本征模态函数 (Intrinsic Mode Function, IMF)。虽然EMD并非专门针对LFM信号设计,但由于LFM信号本身具有类似于IMF的特性,因此,EMD在一定程度上可以用于LFM模式分解。然而,传统的EMD方法存在端点效应、模态混叠等问题,限制了其在LFM模式分解中的应用。为了解决这些问题,研究者们提出了多种改进的EMD方法,例如集合经验模态分解 (Ensemble Empirical Mode Decomposition, EEMD) 和互补集合经验模态分解 (Complementary Ensemble Empirical Mode Decomposition, CEEMD) 等,这些方法通过引入噪声辅助分解,有效地抑制了模态混叠现象。
- 变分模态分解 (Variational Mode Decomposition, VMD):
VMD 是一种基于变分理论的自适应信号分解方法,其将信号分解问题转化为一个约束变分问题。VMD预先设定模态个数,并通过迭代求解得到各个模态分量。与EMD相比,VMD具有更强的理论基础和更稳定的分解性能,能够有效地抑制模态混叠。为了适应LFM信号的特点,一些研究者将VMD与时频分析方法相结合,提出了基于时频引导的VMD方法,该方法利用时频分析结果来初始化VMD的参数,从而提高LFM模式分解的精度。
- 稀疏表示 (Sparse Representation):
稀疏表示是一种基于过完备字典的信号表示方法,其基本思想是利用少数几个基向量来线性表示信号。在LFM模式分解中,可以构建一个包含各种LFM基函数的过完备字典,然后通过稀疏编码算法,将信号表示为这些LFM基函数的线性组合。稀疏表示方法能够有效地提取信号中的LFM分量,并具有较强的抗噪声能力。然而,稀疏表示方法的计算复杂度较高,且字典的设计对分解结果影响较大。
- 基于深度学习的方法:
近年来,深度学习技术在信号处理领域取得了显著的进展。一些研究者尝试利用深度学习方法来进行LFM模式分解,例如利用卷积神经网络 (Convolutional Neural Network, CNN) 学习信号的LFM特征,然后利用循环神经网络 (Recurrent Neural Network, RNN) 对LFM分量进行建模。基于深度学习的方法能够自动学习信号的复杂特征,并具有较强的适应性和泛化能力。然而,深度学习方法需要大量的训练数据,且模型的解释性较差。
三、 关键技术与发展趋势
数据驱动的自适应LFM模式分解研究涉及到多个关键技术,例如信号预处理、模态分解算法设计、参数优化、性能评估等。以下介绍几个关键技术以及未来的发展趋势:
- 信号预处理:
信号预处理是LFM模式分解的重要环节,其目的是消除信号中的噪声、趋势项等干扰因素,从而提高分解算法的精度和稳定性。常用的信号预处理方法包括滤波、平滑、去趋势等。未来的研究方向是开发更加鲁棒、自适应的信号预处理方法,例如基于深度学习的信号增强方法。
- 模态分解算法设计:
模态分解算法是LFM模式分解的核心,其目标是将信号分解成若干个具有不同LFM特性的分量。未来的研究方向是开发更加高效、准确的模态分解算法,例如基于变分推理的贝叶斯模态分解方法、基于张量分解的多维LFM模式分解方法等。
- 参数优化:
许多数据驱动的自适应LFM模式分解方法都需要进行参数优化,例如VMD的模态个数、稀疏表示的字典等。参数优化对分解结果的影响较大,因此,需要一种有效的参数优化方法。常用的参数优化方法包括网格搜索、遗传算法、粒子群优化等。未来的研究方向是开发更加智能、高效的参数优化方法,例如基于贝叶斯优化的参数优化方法、基于元学习的参数优化方法等。
- 性能评估:
性能评估是衡量LFM模式分解算法性能的重要手段。常用的性能评估指标包括分解精度、计算复杂度、抗噪声能力等。未来的研究方向是建立更加完善、客观的性能评估体系,例如基于信息论的性能评估方法、基于仿真数据的性能评估方法等。
未来的发展趋势主要体现在以下几个方面:
- 与物理模型的融合:
纯粹的数据驱动方法往往缺乏对信号物理机制的理解,导致分解结果缺乏可解释性。将数据驱动方法与物理模型相结合,能够更好地利用先验知识,提高分解算法的精度和可解释性。
- 多源信息融合:
实际应用中,往往可以获取多种类型的信号,例如振动信号、声音信号、图像信号等。将这些多源信息融合起来,能够更全面地了解信号的产生机制,提高LFM模式分解的准确性。
- 实时性应用:
许多应用场景,例如在线监测、实时控制等,对LFM模式分解的实时性要求较高。开发高效的LFM模式分解算法,满足实时性应用的需求,是未来的一个重要发展方向。
- 可解释性与可靠性:
提高LFM模式分解结果的可解释性和可靠性,对于实际应用至关重要。未来的研究方向是开发具有可解释性的模型,例如基于因果推断的模型,并对模型的可靠性进行验证。
四、 结论
数据驱动的自适应LFM模式分解是一种重要的信号处理技术,其在特征提取、噪声抑制、故障诊断等领域具有广泛的应用前景。尽管近年来已经取得了显著的进展,但仍然面临着诸多挑战。未来的研究方向是开发更加高效、准确、鲁棒、可解释的LFM模式分解算法,并将其应用于更多的实际场景中。随着深度学习、人工智能等技术的不断发展,数据驱动的自适应LFM模式分解将在信号处理领域发挥越来越重要的作用。
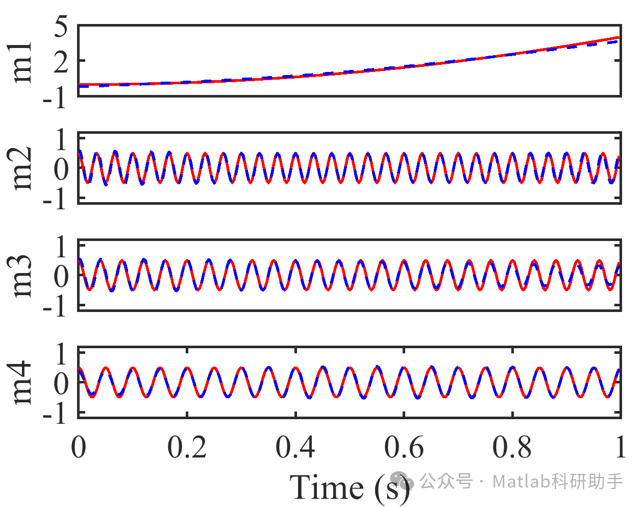
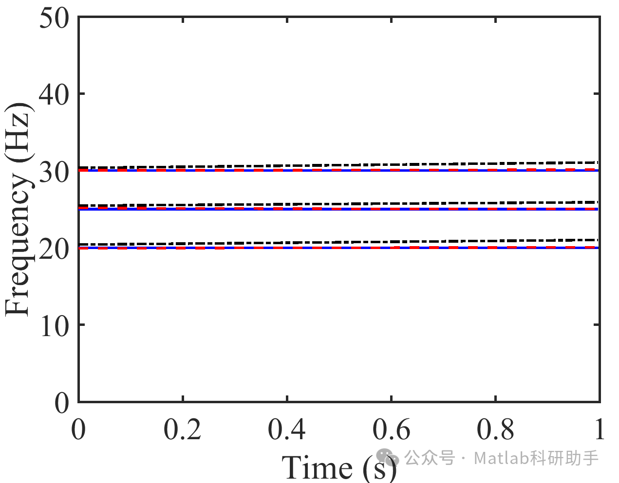
⛳️ 运行结果









🔗 参考文献
[1] 张丽娟.线性调频信号的自适应处理算法研究[D].南京理工大学[2025-03-23].
[2] 邵智超,王睿东,张薇.基于matlab的雷达信号处理仿真系统[D].CNKI;WanFang,2007.DOI:10.3969/j.issn.1006-9348.2007.06.069.
[3] 邱丽原.线性调频信号脉冲压缩仿真与分析[J].电子科技, 2011, 24(7):117.DOI:10.3969/j.issn.1007-7820.2011.07.036.
📣 部分代码
🎈 部分理论引用网络文献,若有侵权联系博主删除
👇 关注我领取海量matlab电子书和数学建模资料
🏆团队擅长辅导定制多种科研领域MATLAB仿真,助力科研梦:
🌈 各类智能优化算法改进及应用
生产调度、经济调度、装配线调度、充电优化、车间调度、发车优化、水库调度、三维装箱、物流选址、货位优化、公交排班优化、充电桩布局优化、车间布局优化、集装箱船配载优化、水泵组合优化、解医疗资源分配优化、设施布局优化、可视域基站和无人机选址优化、背包问题、 风电场布局、时隙分配优化、 最佳分布式发电单元分配、多阶段管道维修、 工厂-中心-需求点三级选址问题、 应急生活物质配送中心选址、 基站选址、 道路灯柱布置、 枢纽节点部署、 输电线路台风监测装置、 集装箱调度、 机组优化、 投资优化组合、云服务器组合优化、 天线线性阵列分布优化、CVRP问题、VRPPD问题、多中心VRP问题、多层网络的VRP问题、多中心多车型的VRP问题、 动态VRP问题、双层车辆路径规划(2E-VRP)、充电车辆路径规划(EVRP)、油电混合车辆路径规划、混合流水车间问题、 订单拆分调度问题、 公交车的调度排班优化问题、航班摆渡车辆调度问题、选址路径规划问题、港口调度、港口岸桥调度、停机位分配、机场航班调度、泄漏源定位
🌈 机器学习和深度学习时序、回归、分类、聚类和降维
2.1 bp时序、回归预测和分类
2.2 ENS声神经网络时序、回归预测和分类
2.3 SVM/CNN-SVM/LSSVM/RVM支持向量机系列时序、回归预测和分类
2.4 CNN|TCN|GCN卷积神经网络系列时序、回归预测和分类
2.5 ELM/KELM/RELM/DELM极限学习机系列时序、回归预测和分类
2.6 GRU/Bi-GRU/CNN-GRU/CNN-BiGRU门控神经网络时序、回归预测和分类
2.7 ELMAN递归神经网络时序、回归\预测和分类
2.8 LSTM/BiLSTM/CNN-LSTM/CNN-BiLSTM/长短记忆神经网络系列时序、回归预测和分类
2.9 RBF径向基神经网络时序、回归预测和分类
2.10 DBN深度置信网络时序、回归预测和分类
2.11 FNN模糊神经网络时序、回归预测
2.12 RF随机森林时序、回归预测和分类
2.13 BLS宽度学习时序、回归预测和分类
2.14 PNN脉冲神经网络分类
2.15 模糊小波神经网络预测和分类
2.16 时序、回归预测和分类
2.17 时序、回归预测预测和分类
2.18 XGBOOST集成学习时序、回归预测预测和分类
2.19 Transform各类组合时序、回归预测预测和分类
方向涵盖风电预测、光伏预测、电池寿命预测、辐射源识别、交通流预测、负荷预测、股价预测、PM2.5浓度预测、电池健康状态预测、用电量预测、水体光学参数反演、NLOS信号识别、地铁停车精准预测、变压器故障诊断
🌈图像处理方面
图像识别、图像分割、图像检测、图像隐藏、图像配准、图像拼接、图像融合、图像增强、图像压缩感知
🌈 路径规划方面
旅行商问题(TSP)、车辆路径问题(VRP、MVRP、CVRP、VRPTW等)、无人机三维路径规划、无人机协同、无人机编队、机器人路径规划、栅格地图路径规划、多式联运运输问题、 充电车辆路径规划(EVRP)、 双层车辆路径规划(2E-VRP)、 油电混合车辆路径规划、 船舶航迹规划、 全路径规划规划、 仓储巡逻
🌈 无人机应用方面
无人机路径规划、无人机控制、无人机编队、无人机协同、无人机任务分配、无人机安全通信轨迹在线优化、车辆协同无人机路径规划
🌈 通信方面
传感器部署优化、通信协议优化、路由优化、目标定位优化、Dv-Hop定位优化、Leach协议优化、WSN覆盖优化、组播优化、RSSI定位优化、水声通信、通信上传下载分配
🌈 信号处理方面
信号识别、信号加密、信号去噪、信号增强、雷达信号处理、信号水印嵌入提取、肌电信号、脑电信号、信号配时优化、心电信号、DOA估计、编码译码、变分模态分解、管道泄漏、滤波器、数字信号处理+传输+分析+去噪、数字信号调制、误码率、信号估计、DTMF、信号检测
🌈电力系统方面
微电网优化、无功优化、配电网重构、储能配置、有序充电、MPPT优化、家庭用电
🌈 元胞自动机方面
交通流 人群疏散 病毒扩散 晶体生长 金属腐蚀
🌈 雷达方面
卡尔曼滤波跟踪、航迹关联、航迹融合、SOC估计、阵列优化、NLOS识别
🌈 车间调度
零等待流水车间调度问题NWFSP 、 置换流水车间调度问题PFSP、 混合流水车间调度问题HFSP 、零空闲流水车间调度问题NIFSP、分布式置换流水车间调度问题 DPFSP、阻塞流水车间调度问题BFSP
👇
3万+

被折叠的 条评论
为什么被折叠?



