复合材料abaqus umat子程序 基于puck准则,内附inp文件及使用文档,可提供参考文献加深理解 1. 图1-2,puck准则输出结果,危险截面角; 2. 图3-4,损伤状态变量,最终失效结果云图; 3. 图5-6,puck准则表达式和渐进损伤模型

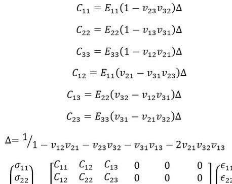
玩复合材料仿真的人都知道,Puck准则就像一把瑞士军刀——虽然参数多到让人头大,但用顺手了真能解决实际问题。今天咱们不扯理论推导,直接上手看看怎么在UMAT里实现这玩意儿。先甩张图(图5),看这堆公式是不是瞬间血压升高?别慌,核心代码其实就几行。

先看UMAT的主框架,材料刚度矩阵得自己更新对吧?这里有个坑:Puck准则需要主应力方向,得先把应力转到材料坐标系。老司机一般这么写:
CALL ROTMAT(statev(1), rot)
CALL ROTATE(STRESS, rot, stressTransformed)
这段旋转操作要是漏了,后面的损伤计算全得翻车。图1里的危险截面角就是这时候算出来的,相当于材料在喊"老子这里最疼"。

损伤演化才是重头戏。看这段循环判断:
DO I=1,3
IF (fPuck(I) > 1.0) THEN
dmg = (fPuck(I)-1.0)/(fPuck(I)*(1.0+statev(10)))
statev(10+I) = MAX(statev(10+I), dmg)
ENDIF
ENDDO
statev数组存着损伤变量,图3里的云图变化全靠它撑场面。注意这里的渐进损伤模型(图6)不是一刀切,而是像温水煮青蛙似的慢慢积累,直到图4那种彻底崩盘。

调试时最怕不收敛?教你个野路子:在UMAT里加个print语句输出当前迭代步的损伤因子。虽然Abaqus会警告你影响效率,但总比对着不报错的红色云图干瞪眼强。记得通关后要删掉这些调试代码,不然导师查作业时会看到满屏的"Damage=0.87"飘过。

最后说下inp文件里那个不起眼的*Initial Conditions。这里藏着材料初始刚度,要是和UMAT里的弹性矩阵对不上,结果会比毕设答辩现场还惨烈。建议先用各向同性材料试车,再换成复合材料铺层,毕竟翻车也要分步骤翻不是?

1559

被折叠的 条评论
为什么被折叠?



