理解交叉熵,KL散度,JS散度,散度
摘要:
数据,实际服从分布P,用分布Q去编码模拟实现:
所花的平均总比特数,就是交叉熵/H(P, Q)。 注意:交叉熵不对称,PQ先后有意义。
平均多花比特数,就是KL散度/DKL(P||Q),即:
![]()
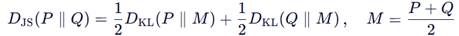
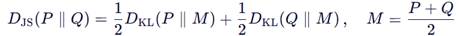
把KL散度作对称化处理,得到对称化,有界,平滑,可导的指标,这就是JS散度/DJS(P||Q),即:
![]()
1. 交叉熵与 KL 散度
公式:![]()
说明:交叉熵等于真实分布P的熵加上P与Q之间的 KL 散度。由于H(P)是常数,最小化交叉熵等价于最小化DKL (P||Q) 。
2. JS 散度与 KL 散度
公式:![]()
说明:JS 散度是对称化的 KL 散度,通过引入平均分布 ,使其有界(∈[0,log2])且对称,适合衡量两个分布的整体差异。
3. 三者关系总览
- KL 散度是非对称的“信息损失”;
- 交叉熵是 KL 散度加常数,用于监督学习优化;
- JS 散度是 KL 的对称平滑版本,用于无监督场景(如原始 GAN)。
它们都不是真正的距离,但都从不同角度量化了概率分布之间的“不一致”。
4. 散度,数学分析中的散度与信息论中的散度
数学分析中的散度(∇·F),描述向量场在某点的“源”或“汇”的强度,是穿出/穿入单位体积边界的通量。
信息论中的散度,如 KL 散度,描述两个概率分布之间的“差异”或“距离”,是抽象空间中的函数间距离。
在微分几何或信息几何中,这二者存在深层关联,但对初学者,需要的是严格区别这两者。
理解交叉熵与KL散度
交叉熵(Cross-Entropy)与 KL 散度(Kullback–Leibler Divergence)是信息论和机器学习中紧密关联、常被混淆的两个核心概念。它们都用于衡量概率分布之间的差异,但在定义、用途和解释上各有侧重。下面从直觉、公式、关系与应用四个层面帮你彻底厘清。
一、核心直觉
|
概念 |
直观解释 |
|
KL 散度 |
用分布 去编码来自真实分布 的数据时,平均多花的比特数(信息损失)。 |
|
交叉熵 |
用分布 去编码来自 的数据时,实际使用的平均比特数(总编码长度)。 |
✅ 关系:
交叉熵 = 真实熵 + KL 散度
即:你花的总比特 = 最优比特 + 浪费的比特
二、数学定义(离散情形)
设:
- :真实分布(如标签的真实概率);
- :模型预测分布(如神经网络输出的概率)。
1. 熵(Entropy)
→ 描述 所需的最小平均编码长度(理论极限)。
2. 交叉熵(Cross-Entropy)
→ 用 的编码方案去编码 的数据,实际平均长度。
3. KL 散度
🔑 关键等式:
三、为什么这个关系重要?
- 是常数(真实分布固定);
- 因此,最小化交叉熵 ⇔ 最小化 KL 散度;
- 而 KL 散度衡量的是 对 的逼近程度。
✅ 在机器学习中,我们用交叉熵作损失函数,本质上是在让模型分布 逼近真实分布 。
四、可视化理解
text
编辑
真实分布 P: [0.7, 0.2, 0.1] → H(P) ≈ 1.16 bits(最优编码长度)
模型分布 Q: [0.6, 0.3, 0.1] →
交叉熵 H(P,Q) = -[0.7·log0.6 + 0.2·log0.3 + 0.1·log0.1] ≈ 1.24 bits
KL散度 = H(P,Q) - H(P) ≈ 0.08 bits(浪费的信息)
若 越接近 ,交叉熵越接近 ,KL 散度趋近于 0。
五、在机器学习中的应用
1. 分类任务的损失函数
- 真实标签 是 one-hot 向量(如 );
- 模型输出 是 softmax 概率(如 );
- 交叉熵损失:
其中 是真实标签, 是预测概率。
- 优化目标 = 最小化 。
2. 生成模型评估
- 比较生成数据分布 与真实数据分布 ;
- 交叉熵或 KL 散度可作为评估指标(尽管实践中常用其他度量如 FID)。
3. 变分推断
- 最小化 (注意方向!),此时不用交叉熵直接优化。
⚠️ 注意:KL 散度不对称!
- :惩罚 在 高概率处低估(mode-covering);
- :惩罚 在 低概率处高估(mode-seeking)。
六、常见误区澄清
|
误区 |
正确理解 |
|
“交叉熵是距离” |
❌ 它不对称,且不满足三角不等式;但常作损失函数 |
|
“KL 散度 = 交叉熵” |
❌ 差一个常数 ;优化时等价,但数值不同 |
|
“交叉熵越小越好” |
✅ 对!越接近真实分布的熵,模型越好 |
七、一句话总结
交叉熵是你实际花的“信息代价”,KL 散度是你多花的“冤枉代价”。
在监督学习中,最小化交叉熵 = 让模型预测尽可能接近真实分布,
而 KL 散度揭示了这一过程背后的信息论本质。
二者如同“总账单”与“额外小费”——我们知道小费越少越好,但优化时只需关注总账单。
理解 信息论里的kl散度与JS散度
Qwen3-Max
KL散度(Kullback–Leibler Divergence)和JS散度(Jensen–Shannon Divergence)是信息论中衡量两个概率分布差异的核心工具,尤其在机器学习(如生成模型、变分推断)中应用极广。它们密切相关,但性质迥异。下面从直觉、定义、性质、对比与应用五个层面帮你彻底理解。
一、KL散度:衡量“用错误分布编码真实数据的额外代价”
🔍 直觉
假设:
- 真实数据服从分布 ;
- 你误以为数据服从分布 ,并据此设计了一套最优编码(如霍夫曼编码)。
那么,平均每个符号多花的比特数就是 KL 散度 。
✅ KL散度 = 用 编码 所付出的信息损失。
📐 数学定义(离散)
- 连续情形:积分代替求和。
- 要求:(否则 KL 散度为无穷)。
⚠️ 关键性质
|
性质 |
说明 |
|
非负性 |
,当且仅当 时取等号 |
|
不对称性 |
! |
|
非距离 |
不满足对称性和三角不等式,不是真正的“距离” |
🌰 例子:
- :真实天气(70%晴,30%雨)
- :错误预测(50%晴,50%雨)
则 ,表示因错误模型导致的平均编码冗余。
二、JS散度:KL散度的“对称化改良版”
🔍 为什么需要JS散度?
KL散度不对称、且当 与 支集不重叠时可能无穷大(如GAN训练初期),不适合作为优化目标或距离度量。
JS散度通过引入平均分布 解决这些问题。
📐 数学定义
其中 。
✅ JS散度的优势
|
性质 |
说明 |
|
对称性 | |
|
有界性 |
(以2为底时 ≤ 1 bit) |
|
平滑性 |
即使 与 支集不重叠,JS散度仍为有限值(= ) |
|
可导性 |
在大多数点可导,适合梯度优化 |
💡 JS散度 = P 和 Q 分别到它们“中间分布”M 的 KL 散度的平均。
三、KL vs JS:核心对比表
|
特性 |
KL散度 |
JS散度 |
|
对称性 |
❌ 不对称 |
✅ 对称 |
|
取值范围 |
(有界) | |
|
支集不重叠时 |
可能 |
(有限) |
|
是否满足距离公理 |
❌ 否 |
❌ 否(但其平方根是度量!) |
|
典型用途 |
变分推断、最大似然估计 |
GAN(原始)、分布相似性度量 |
📌 注: 满足三角不等式,是真正度量(metric)。
四、可视化理解
假设 和 是两个高斯分布:
- KL(P∥Q):
- 若 的方差太小,无法覆盖 的尾部 → KL 很大(因 但 );
- “Mode-seeking”:倾向于让 覆盖 的高概率区域,忽略低概率区。
- KL(Q∥P):
- 若 方差太大,覆盖了 之外的区域 → KL 很大;
- “Mean-seeking”:倾向于让 覆盖所有 可能出现的地方。
- JS散度:
- 平衡两者,对称惩罚“覆盖不足”和“覆盖过度”。
五、在机器学习中的关键应用
1. 变分自编码器(VAE)
- 最小化 :让后验近似先验;
- 使用 KL 而非 JS,因为需要不对称性——我们希望编码分布 不要跑到先验 之外。
2. 原始GAN(Goodfellow et al., 2014)
- 理论上最小化 ;
- 但当两分布支集不重叠时,JS散度恒为 ,梯度消失 → 导致训练困难;
- 后续WGAN改用Wasserstein距离解决此问题。
3. 特征选择 / 聚类评估
- JS散度常用于衡量两个类别分布的差异(因其有界、对称)。
六、一句话总结
KL散度告诉你“用错模型的代价”,
JS散度告诉你“两个模型有多不像”。
- 用 KL:当你关心方向性(如拟合、编码、推断);
- 用 JS:当你需要对称、稳定、有界的相似性度量(如比较、聚类、GAN早期目标)。
二者都是信息论赠予我们的“分布显微镜”,看清数据背后的概率真相。
数学分析的散度 与信息论里的散度
Qwen3-Max
这是一个非常深刻且常见的混淆点:“散度”(divergence)在数学分析(向量微积分)与信息论中虽然中文同名,但数学对象、定义、用途完全不同,只是英文都用了 divergence 这个词,源于拉丁语 “to diverge”(发散),但在两个领域引申出了不同的含义。
下面从定义、几何/信息意义、公式、应用场景四个方面清晰对比:
一、核心区别一句话总结
- 数学分析中的散度(∇·F)
描述向量场在某点的“源”或“汇”的强度——是空间局部性质。 - 信息论中的散度(如 KL 散度)
描述两个概率分布之间的“差异”或“距离”——是抽象空间中的函数间距离。
二者没有直接数学联系,属于同名异义词。
二、详细对比表
|
维度 |
数学分析中的散度(Divergence) |
信息论中的散度(Divergence) |
|
研究对象 |
向量场 (如流速场、电场) |
概率分布 (离散或连续) |
|
输入 |
空间中的一点 |
两个概率分布(函数) |
|
输出 |
一个标量值(实数),表示该点“发散程度” |
一个非负实数,表示两分布“差异大小” |
|
数学符号 |
或 |
,如 |
|
是否对称 |
不适用(单变量场) |
通常不对称(如 KL 散度) |
|
是否为距离 |
否(是场的属性) |
否(不满足对称性、三角不等式) |
|
典型应用 |
流体力学、电磁学、连续介质力学 |
机器学习、统计推断、编码理论 |
三、数学定义与直观解释
1. 数学分析中的散度(向量微积分)
- 定义(三维):
- 物理意义:
表示单位体积内向量场的“净流出量”。- 若 :该点是“源”(如水流从泉眼涌出);
- 若 :该点是“汇”(如水流入下水道);
- 若 :无源无汇(如不可压缩流体)。
- 高斯定理(散度定理):
→ 体积分 = 通过边界的总通量。
2. 信息论中的散度(以 KL 散度为例)
- 定义(离散):
- 信息意义:
表示用分布 去近似真实分布 时,平均多消耗的信息量(单位:bit)。- ;
- (Gibbs 不等式);
- 不对称:。
四、为什么都叫 “divergence”?
- 数学分析:来自向量场“发散”(diverge)的程度——流线从某点向外散开;
- 信息论:来自两个分布“分歧”(diverge)的程度——它们在概率质量分配上“分道扬镳”。
📌 本质:都是描述“某种分离或偏离”,但对象和语境完全不同。
五、常见误区澄清
|
误区 |
正确理解 |
|
“KL 散度是向量场的散度” |
❌ 完全无关。KL 散度作用于概率分布(函数空间),不是向量场。 |
|
“可以用高斯定理计算 KL 散度” |
❌ 无关联。高斯定理用于物理空间积分,KL 是抽象概率空间的泛函。 |
|
“两者都是‘发散’所以类似” |
❌ 仅语言巧合。就像“苹果(水果)”和“Apple(公司)”都叫 apple。 |
六、延伸:有没有联系?(高级视角)
在微分几何或信息几何(Information Geometry)中,确实存在深层联系:
- 概率分布的集合可视为流形(manifold);
- KL 散度在该流形上诱导出一种黎曼度量(Fisher 信息度量);
- 而 Fisher 信息矩阵的散度(向量场意义)可能出现在某些变分推导中。
但这属于前沿交叉领域,对初学者而言,应明确区分二者。
总结
|
数学分析的散度 |
信息论的散度 | |
|
是什么 |
向量场的局部源强 |
分布间的差异度量 |
|
在哪里用 |
物理、工程 |
统计、AI、通信 |
|
记住口诀 |
“场的发散” |
“分布的分歧” |
✅ 当你听到“散度”,先问:
——是在说水流、电场?→ 用 ∇·F;
——是在说概率、模型、GAN?→ 用 KL/JS 散度。
二者如同“银行”(river bank vs financial bank)——同词异义,各安其位。
1429

被折叠的 条评论
为什么被折叠?



