呃,之前一直没有多么了解过并查集,刚刚学习了一下。现在发个模版题解,可能有错误,望指正!(⁎˃ᴗ˂⁎)
如有雷同,纯属巧合
一、题目详情
二、并查集是什么
并查集(
D
S
U
DSU
DSU ),是一个支持合并和查询的集合,
并查集的名字便是从他的用途中得出的。
我们用一个现实例子来讲解并查集:
两个人有熟不熟的关系,假如 A B C D ABCD ABCD 几个人互相熟悉,我们就成他们是一个小团体,也就是一个集合。每个小团体都有一个"领导",这是我们假设出来的,便于我们操作,实际上所有元素都是平等的。
我们会用并查集的两个操作来操作人们的关系,两个操作在后面可见。
三、并查集的操作
初始化
初始化时,大家都不熟悉,也就是每个人都是"领导"。在并查集中,父节点是自己的就是领导。
这是初始化的代码,我们直接把它做成 init() 函数:
// 初始化
void init(){
for (int i = 1;i <= n;i++){
fa[i] = i; //这里的 fa[i] 指的是 i 的父节点
// 一开始的时候,每个人自己是一个小团体,领袖就是自己
}
}
用图来表示一下此时的状态:
查询"领导"
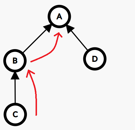
查询操作是通过父节点为基础进行的,通过不断向上查找父节点的父节点得到"领导"。
以此图为例,从 C C C 点来查"领导"的操作是这样的:
于是我们能得到这样的代码,将它做成 find() 函数:
// 查询 x 的领导
int find(int x){
if (fa[x] == x) return x; // 如果自己的上级是自己,说明找到了领导
else return find(fa[x]); // 还没找完,继续向上找
}
当然,在P3367中,用这种方法包会超时的(当然,这个是为了效果故意做的…):
解决方法是路径压缩优化!只需要把每一个经过的点直接连接到"领导"上就可以了。
这是升级版代码:
// 查询 x 的领导
int find(int x){
if (fa[x] == x) return x; // 如果自己的上级是自己,说明找到了领导
else return fa[x] = find(fa[x]); // 还没找完,继续向上找
// find 的第二行用了优化,他直接将路过的节点连接到了领导
}
合并集合
合并就非常简单了,我们可以把 x x x 或 y y y 中的一个人的父节点设为 y y y 的 领导或 x x x的领导。如图所示:
代码可以做成 merge() 函数:
// 合并
void merge(int x,int y){
x = find(x),y = find(y); // 查询自己领导
if (x == y) return ; // 如果在同一个集合中,直接不合并
else fa[x] = y; // fa[y] = x也可以
// merge 的第三行代码写出把 x 的领导连接到 y 的领导上,代表合并两个集合
}
这样子,就可以通过代码了,但是有更加快速的秩优化。
按秩合并优化,英文名为rank,但中文的翻译很奇怪。它主要防止树的深度增加,让树的深度达到最小,让操作更加快速。我们只用设一个 rank[] 数组,用作记录秩,并在合并时比较他即可。
秩优化后代码:
x = find(x),y = find(y); // 查询自己领导
if(x == y) return ; // 如果在同一个集合中,直接不合并
if(Rank[y] < Rank[x]) swap(x,y); // 改变合并顺序
if(Rank[x] == Rank[y]) Rank[y] = Rank[x]+1; // 计算新的秩:如果两个集合的秩相等,那么秩加一
fa[x] = y; // 合并
四、总结
这道题就做完了:
#include<bits/stdc++.h>
using namespace std;
const int N = 2e5 + 10;
#define I return
#define AK 0
#define IOI ;
#define qio ios::sync_with_stdio(0), cin.tie(0), cout.tie(0);
int fa[N]; // fa 数组指出了 i 的上级
int n,m;
int Rank[N];
// 初始化
void init(){
for (int i = 1;i <= n;i++){
fa[i] = i;
// 一开始的时候,每个人自己是一个小团体,领袖就是自己
}
}
// 查询 x 的领导
int find(int x){
if (fa[x] == x) return x; // 如果自己的上级是自己,说明找到了领导
else return fa[x] = find(fa[x]); // 还没找完,继续向上找
// find 的第二行用了优化,他直接将路过的节点连接到了领导
}
// 合并
void merge(int x,int y){
x = find(x),y = find(y); // 查询自己领导
if(x == y) return ; // 如果在同一个集合中,直接不合并
if(Rank[y] < Rank[x]) swap(x,y); // 改变合并顺序
if(Rank[x] == Rank[y]) Rank[y] = Rank[x]+1; // 计算新的秩:如果两个集合的秩相等,那么秩加一
// 否则秩不变
fa[x] = y; // 合并
}
int main(){
qio
cin >> n >> m;
init();
for (int i = 1;i <= m;i++){
int opt,x,y;
cin >> opt >> x >> y;
if (opt == 1){
merge(x,y);
}
else{
x = find(x),y = find(y);
if (x == y) cout << "Y" <<endl;
else cout << "N" <<endl;
}
}
I AK IOI
}
/*Notes:=================
=======================*/
//Coder:Mino_XIE1212
麻烦点个关注吧~

703

被折叠的 条评论
为什么被折叠?



