1)费马引理:

证明的关键:如果在x0处可导,则在x0处的左导数等于右导数等于导数。
意义:显然(x0,f(x0))是f(x)在x0邻域内的一个极值点,推广:f(x)的极值点(驻点),满足f'(x)=0.给出了求驻点的方法。
2)罗尔定理
证明要点:连续区间存在最大值和最小值,费马引理;
几何意义:连续区间[a,b],如果在开区间可导,且f(a)=f(b),则区间内至少存在一个驻点.
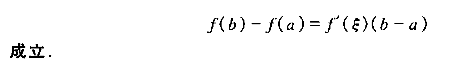
3)拉格朗日中值定理:


证明要点:构造辅助函数G(x)=f(x)-f(a)-(x-a)(f(b)-f(a))/(b-a),罗尔定理.
几何意义:在f(x)上一定存在一个点,过该点的切线平行于ab.
其它意义:可以推出有限增量定理:f(x+Δx)-f(x)=f'(x+θΔx)Δx == Δy=f'(x+θΔx)Δx.
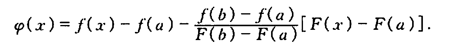
4)柯西中值定理
证明要点:辅助函数
和罗尔定理。

本文深入探讨了数学分析中的三大定理:费马引理、罗尔定理与拉格朗日中值定理。阐述了它们的关键证明要点、几何意义及其在数学分析中的应用,特别是如何通过这些定理求解驻点和理解函数的性质。
1312

被折叠的 条评论
为什么被折叠?



