五次多项式

Matlab Code:
% referce:Trajectory Planning for Automatic Machines and Robots
% Page:17-Example 2.1
% time:2019/09/21
%
%*************************************************************************%
%符号方程解线性方程组
%qt=a0+a1*t+a2*t.^2+a3*t.^3+a4*t.^4+a5*t^5;
clc;clear all;
% 五次多项式的符号解-数值解
q0=10;qf=20;
v0=0;v2=2;vf=0;
alp0=0;alp8=0;
t0=0;t2=2;t8=8;
[qt,vt,alpt,jerkt]=myciduoxiangshi(q0,qf,v0,v2,vf,alp8,t0,t2,t8,tf) ; %关节位移函数
qt=subs(qt,{'q0','qf','v0','v2','vf','alp8','t0','t2','t8','tf'},{10,20,0,2,0,0,0,2,8,10})
vt=subs(vt,{'q0','qf','v0','v2','vf','alp8','t0','t2','t8','tf'},{10,20,0,2,0,0,0,2,8,10})
alpt=subs(alpt,{'q0','qf','v0','v2','vf','alp8','t0','t2','t8','tf'},{10,20,0,2,0,0,0,2,8,10})
jerkt=subs(jerkt,{'q0','qf','v0','v2','vf','alp8','t0','t2','t8','tf'},{10,20,0,2,0,0,0,2,8,10})
%%
function [qt,vt,alpt,jerkt]=myciduoxiangshi(q0,qf,v0,v2,vf,alp8,t0,t2,t8,tf)
syms t;
syms a0 a1 a2 a3 a4 a5;
eql1=sym('a0+a1*t0+a2*t0^2+a3*t0^3+a4*t0^4+a5*t0^5-q0'); % constrain t0=0 q=q0=10
eql2=sym('a1+2*a2*t0+3*a3*t0^2+4*a4*t0^3+5*a5*t0^4-v0'); % constrain t0=0 v=v0
eql3=sym('a1+2*a2*t2+3*a3*t2^2+4*a4*t2^3+5*a5*t2^4-v2'); % constrain t2=2 v=v2
eql4=sym('a0+a1*tf+a2*tf^2+a3*tf^3+a4*tf^4+a5*tf^5-qf'); % constrain tf=10 q=qf=20
eql5=sym('a1+2*a2*tf+3*a3*tf^2+4*a4*tf^3+5*a5*tf^4-vf'); % constrain tf=10 v=vf=0
eql6=sym('2*a2+6*a3*t8+12*a4*t8^2+20*a5*t8^3-alp8'); % constrain t8=8 a=alp8=0
[a0 a1 a2 a3 a4 a5]=solve(eql1,eql2,eql3,eql4,eql5,eql6,'a0','a1','a2','a3','a4','a5');
%输出值
qt=a0+a1*t+a2*t^2+a3*t^3+a4*t^4+a5*t^5;
vt=diff(qt,'t'); %速度位移函数
alpt=diff(qt,'t',2); %加速度函数
jerkt=diff(alpt,'t'); %加加速度函数
end
%%
%绘图
% %位置曲线
t=0:0.05:10;
qt =- (19*t.^5)/20800 + (139*t.^4)/5200 - (1459*t.^3)/5200 + (149*t.^2)/130 + 10;
vt =- (19*t.^4)/4160 + (139*t.^3)/1300 - (4377*t.^2)/5200 + (149*t)/65;
alpt =- (19*t.^3)/1040 + (417*t.^2)/1300 - (4377*t)/2600 + 149/65;
jerkt =(417*t)/650 - (57*t.^2)/1040 - 4377/2600;
subplot(2,2,1);plot(t,qt)
title('qt');grid on;
subplot(2,2,2);plot(t,vt)
title('vt');grid on;
subplot(2,2,3);plot(t,alpt)
title('alpt');grid on;
subplot(2,2,4);plot(t,jerkt)
title('jerkt');grid on;
结果:

七次多项式:
有时候需要考虑加加速度情况,需要更加高阶函数来规划曲线,例如七次多项式函数,七次多项式函数可以获得更加平滑的加速度曲线。

Matlab Code:
%% referce:Trajectory Planning for Automatic Machines and Robots
% Page:17-Example 2.11
% time:2019/09/22
% Note:
% author:easyR
% 七次多项式的求解
%***************************************************************************%
% q(t) = a0 + a1(t − t0) + a2(t − t0)^2 + a3(t − t0)^3 + a4(t − t0)^4 + *
% +a5(t − t0)^5 + a6(t − t0)^6 + a7(t − t0)^7 *
%
%% 初始条件
clc;clear all;
syms t;
q0 = 0; q1 = 10;
v0 = 0; v1 = 0;
a0 = 0; a1=0;
j0 = 0; j1 = 0;
t0 = 0; t1 = 8;
%函数方程
display('输出函数方程:')
display('*_____________________________________________________________________*')
[qt vt at jt]= sevenPolyn(t0,t1,q0,q1,v0,v1,a0,a1,j0,j1)
display('*_____________________________________________________________________*')
k=0:0.05:8;
for i=1:length(k)
qty(i)=subs(qt,{t},{k(i)}); % 不要同名qt与qty
vty(i)=subs(vt,{t},{k(i)});
aty(i)=subs(at,{t},{k(i)});
jty(i)=subs(jt,{t},{k(i)});
end
%%
%绘图
subplot(2,2,1);plot(k,qty,'-.b','linewidth',0.5);title('position');grid on;
subplot(2,2,2);plot(k,vty,'--g','linewidth',0.5);title('velocity');grid on;
subplot(2,2,3);plot(k,aty,'g','linewidth',0.1);title('acceleration');grid on;
subplot(2,2,4);plot(k,jty,'--k','linewidth',0.5);title('jerk');grid on;
%%
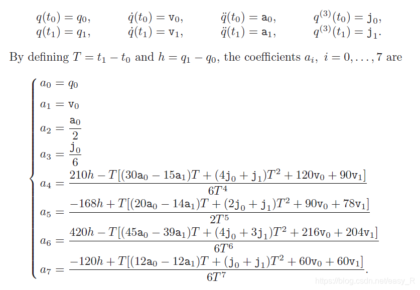
function [qt vt at jt]=sevenPolyn(t0,t1,q0,q1,v0,v1,a0,a1,j0,j1)
syms t;
T=t1-t0;
h=q1-q0;
a0=q0;
a1=v0;
a2=a0/2;
a3=j0/6;
a4=(210*h-T*((30*a0-15*a1)*T+(4*j0+j1)*power(T,2)+120*v0+90*v1))/(6*power(T,4));
a5=(-168*h+T*((20*a0-14*a1)*T+(2*j0+j1)*power(T,2)+90*v0+78*v1))/(2*power(T,5));
a6=(420*h-T*((45*a0-39*a1)*T+(4*j0+3*j1)*power(T,2)+216*v0+204*v1))/(6*power(T,6));
a7=(-120*h+T*((12*a0-12*a1)*T+(j0+j1)*power(T,2)+60*v0+60*v1))/(6*power(T,7));
%位移——加速度函数
qt = a0 + a1*(t - t0) + a2*(t- t0).^2 + a3*(t- t0).^3 + a4*(t- t0).^4 +a5*(t - t0).^5 + a6*(t- t0).^6 + a7*(t- t0).^7 ;
% qt=vpa(qt); %强制转化为小数
vt= diff(qt);
at= diff(vt);
jt= diff(at);
end
输出结果:
*_____________________________________________________________________*
qt =
- (25*t^7)/262144 + (175*t^6)/65536 - (105*t^5)/4096 + (175*t^4)/2048
vt =
- (175*t^6)/262144 + (525*t^5)/32768 - (525*t^4)/4096 + (175*t^3)/512
at =
- (525*t^5)/131072 + (2625*t^4)/32768 - (525*t^3)/1024 + (525*t^2)/512
jt =
- (2625*t^4)/131072 + (2625*t^3)/8192 - (1575*t^2)/1024 + (525*t)/256
*_____________________________________________________________________*
输出图像:


本文探讨了在机器人和自动机器轨迹规划中使用五次和七次多项式函数的方法。通过MATLAB代码示例,详细解释了如何利用这些高阶多项式函数规划平滑的运动路径,特别关注于加速度和加加速度的控制。
2万+

被折叠的 条评论
为什么被折叠?



