基于物联网的智能交通系统中的车辆通信网络
摘要
随着现代城市的快速发展,相对落后的交通管理方式、道路规划与建设不足以及汽车保有量的激增,使得“城市交通拥堵”问题成为现代城市管理所面临的问题。智能交通系统(ITS)正逐渐成为世界各国解决交通拥堵问题的研究方向。基于上述背景,本文旨在研究基于物联网的智能交通系统中的车辆通信网络。本文采用OPNET Modeler软件构建车辆移动模型。OPNET Modeler采用分层网络仿真方法。从协议角度看,节点模块符合开放系统互连模型的OSI标准,自下而上分别为物理层、MAC层、ARP层、IP封装层、IP层、TCP层和服务层。在基于物联网的智能交通系统中车辆自组织网络的多跳场景下,仿真实验表明,当车辆低速行驶时,地面车辆自组织网络的无线网络覆盖问题,特别是路侧单元的设计与配置方面,路侧单元之间的距离应保持在500m‐600m之间。此时,车辆自组织网络的整体性能较为稳定。AODV协议在吞吐量、平均网络延迟、路由负载、丢包率和平均路由跳数方面优于DSR协议,更适用于网络通信需求。
关键词 :物联网,智能交通,车辆通信网络,OPNET Modeler,车对车网络
1. 引言
随着机动车数量的迅速增加,“城市交通拥堵”现象已严重影响了城市环境。交通拥堵是城市中的常见问题,可能由交通秩序、交通规划和交通建设等多种原因引起。造成交通拥堵的原因有很多:一种是动态拥堵,通常所说的普通交通拥堵即为动态拥堵,由于交通秩序不合理、智能交通和交通优化存在漏洞,导致不合理的交通拥堵;另一种是静态拥堵,由停车位紧张所致。
物联网在美国一直处于世界领先地位,这体现在基础设施、技术水平和产业链的发展上。世界各国主要通过以下方法解决交通问题,以实现改善交通、减少拥堵、提高驾驶安全、节约资源和保护环境的目标。(1)加快基础设施建设,通过扩展城市交通网络容量来提高车辆通行能力;(2)采用科学交通规划与管理方法,对道路交通网络进行合理规划和科学管理;(3)应用以计算机技术和现代通信技术为核心的智能交通系统,使道路和车辆更加智能。
由于车辆通信网络研究的重要性,许多研究团队开始研究车辆通信网络并取得了良好成果。Fausto研究的目的是通过向车辆提供信息来提高道路交通系统的安全性和交通流的稳定性。控制。Fausto假设车辆偶然接近彼此,从而形成并管理一个局部自主、去中心化动态网络。为了改进传统的时隙预约方法,Fausto提出了一种基于车头间距信息的扩频车间通信网络预约ALOHA协议。由于扩频通信中的近-远问题会导致系统性能下降,因此Fausto提出的解决方案可以提高通信效率。计算机仿真验证了该系统在车辆假设于高速公路上自由行驶环境中的性能。结果表明,采用该方法,车间-到-车辆通信可在车辆与周围车辆之间顺利进行 [1-2]。 为了在汽车内开发一种可靠的低-功耗无线通信协议,需要建立一个真实的无线信道模型。邵针对两种不同类型的车辆(紧凑型乘用车),即汽油车和电动车,提出了测量方法,旨在开发此类通道模型。他们测量了多个信道和通信设置下的接收信号强度指示(RSSI)和分组投递率(PDR)值,例如不同的IEEE 802.15.4信道、发射功率等级、数据包大小以及不同的Wi-Fi干扰等级。他们观察到了无线信道行为的若干独特特性,导致车内具有相似行为的独立区域、不同类型发动机的影响以及电动汽车充电的影响 [3-4]。尽管研究成果相对丰富,但仍存在不足之处,主要体现在车辆通信网络的发展尚不充分。
在物联网的研究中,智能交通系统是一种能够解决许多交通系统问题的极佳方法,因此在交通系统研究中得到广泛应用。智能交通系统(ITS)将现有技术与底层基础相结合,这种设施的结合为这些问题提供了解决方案。随着移动技术和无处不在的蜂窝网络的发展,实时车辆跟踪已成为可能,有助于实现高效交通管理。智能公交系统可以避免公交车长时间等待。智能手机无处不在,其不断增强的功能使其成为以非常经济的成本开发物联网应用最具吸引力的选择之一。阿米尔讨论了一种基于GPS和安卓等技术的方法,可缓解乘客往返公共交通的通勤问题。在移动应用中,向用户提供有关即将到达公交车站的最近公交车当前位置的清晰信息。利用现有的安卓API,在现有的手机上(如3G网络和基于短信的服务技术),可以降低所需硬件的成本和尺寸,并带来更好的输出[5‐6]。张提出了一种开发虚拟系统的方法,该系统利用信息与通信技术(ICT)来监控用户交通流量。在这一发展,他们设计了一种可扩展的模块化系统架构,允许在渐进式开发过程中添加新的组件。该系统的主要功能是为用户分析不同类型道路的交通流量,包括环形交叉口、信号交叉口和无信号交叉口。主交通模型基于交叉口控制延误模型和环形交叉口容量模型建立。虚拟系统能够支持智慧城市基础设施中交通流监控的决策-过程 [7-8]。由于物联网的有效性,智能交通系统能否应用于车辆通信网络并解决车辆通信网络发展不足的问题。
为了解决车辆通信网络的问题,本文聚焦于车辆自组织网络的通信性能,因此选用专注于通信仿真的OPNET软件对车与X之间的交通系统进行微观仿真和仿真。OPNET Modeler支持IEEE802.11标准下的无线网络仿真,并为有线和无线网络上的传输控制协议(TCP)、路由及其其他协议提供支持。相关参数可通过仿真模型和IEEE802.11p协议进行定义。从交通系统微观仿真的角度来看,本文针对基于物联网的智能交通系统的车辆自组织网络中的城市道路交通场景,包括单跳无线数据通信V2I场景和多跳无线数据通信V2V场景。采用OPNET Modeler对城市道路交通场景中的V2I单车道单向运行场景、V2I双车道双向运行场景、V2V运动场景以及具有冗余系统的V2I场景进行了建模与仿真。
2. Proposed Method
2.1 基于物联网的智能交通系统架构
在基于互联网的智能交通系统中,必须考虑各种交通基础设施、交通工具和交通对象。建立基础交通系统识别网络,并开发各类智能管理与服务系统[9]。该概念仅关注特定业务需求的发展,改变现有交通系统,转向共享的信息资源平台,并同时转换特定业务需求[10]。要将物联网应用于智能交通领域,必须首先在物联网背景下构建智能交通系统架构。基于互联网的智能交通架构由识别层、网络层和应用层[11‐12]组成。以下详细描述各层的功能。
(1) 感知层
感知层主要负责实时、准确地采集交通信息。交通信息的感知主要通过传感器和传输网络实现,例如压力传感器、温度传感器、微波雷达传感器、超声波传感器和视频采集设备。传感器采集的数据通过无线传感器网络传输后,最终完成数据汇聚。
(2) 网络层
网络层的功能是实现交通信息的高度可靠和高度安全传输。网络层必须具备实现通信的能力,感知接入层和应用层,需要具有高承载能力的通信网络来完成海量、安全、高速的信息传输。通信网络根据不同的接入方式可分为有线接入网和无线接入网。有线接入网包括以太网和电话线网络,适用于交通路口摄像设备和地下检测线圈[13]。无线接入网包括现有的成熟移动通信网络、WLAN(无线局域网,无线局域网),适用于移动感知设备。
(3) 应用层
应用层的主要功能包括对交通感知网络采集的交通数据进行处理、分析与应用,并支持各种智能交通服务[14‐15]。应用层的用户应用服务类型:政府应用示范系统、社会应用示范系统以及行业与企业应用示范系统,可大致划分为系统类型。典型应用包括智能交通控制系统和动态交通信息服务系统、智能电子收费系统、公共交通控制系统、智能汽车[16]。基于物联网的智能交通系统架构如图1所示。
智能交通无线传感器网络是一种面向任务的无线自组织网络系统。它通常由大量部署在环境监测区域内的传感器节点和若干数据汇聚节点组成。这些传感器节点集成了传感器、嵌入式处理器和无线收发器等,具备交通信息采集、数据处理和数据转发功能[17‐18]。它们可以通过无线通信和自组织形成网络,对检测区域内的环境数据或交通目标进行监测与处理,将监测到的数据和信息上传至汇聚节点,并通过协议[19]完成指定的监测任务。
智能交通系统网关是连接两个不同网络的纽带,具备接入感知交通网络和公共网络的能力。同时,该通信协议转换和网络管理在两者之间实现 [20]。
交通感知网络收集的交通信息通过网关接入公共网络后,由交通管理平台获取。交通管理平台完成数据处理、分析、存储,并做出相应响应[21‐22]。
2.2 车辆通信网络架构
车载通信网络通常包括车‐站通信和车‐路侧设施通信。此处的路侧设施一般指加油站、便利服务点、车辆限速牌等,因此这些固定节点可被视为一种特殊的移动节点,故在网络架构上没有本质区别。
(1) 移动自组织网络
移动自组织网络(简称MANET)是由具有同等地位的移动节点组成的临时网络,在服务集中无需接入点AP。它强调一种分布式、移动、无线、多跳且不依赖现有基站设施的自组织网络。网络中的节点可以自由移动并完全自组织,因此无线网络的拓扑结构会快速且不可预测地变化。此类网络可独立运行,也可连接到更大的互联网[24‐25]。
移动自组织网络由移动节点组成,这些节点可以是主路由器或普通节点。节点可分布在飞机、船舶、卡车、汽车,甚至人或小型设备上,因此移动自组织网络具有以下特点:1)动态变化的网络拓扑。由于车辆和其他车辆从一个地点驶向目的地,每辆车可能在下一个交叉路口转向其目的地,因此网络拓扑难以长时间保持稳定,呈现出动态变化的特性。2)带宽受限和连接性受限。由于移动自组织网络以无线通信网络作为底层,无线信道的带宽远小于有线信道。此外,由于信号衰减和噪声干扰等因素,无线信道的实际带宽远低于理论最大带宽值。3)移动终端的能量限制。移动终端节点的电池能量供应与消耗问题是确保整个网络中所有节点能够顺利通信的前提,因此必须考虑如何节能或寻找可靠的能源供应。4)网络安全较差。由于移动自组织网络采用开放且分布式的无线通信方式,更容易受到窃听和伪造攻击。网络中可能存在成千上万个节点,因此需要一种可扩展的安全机制。
移动自组织网络可广泛应用于军事和民用领域。在军事领域,士兵、坦克、飞机等可通过移动节点设备建立小规模的自组织网络。由于其具有分布式特性,即使某个节点无法工作,也不会影响整个通信网络的运行,从而提高了可靠性。在民用领域,由于移动自组织网络具有高度灵活性和自组织能力,可应用于公司会议、应急救援服务、个人/家庭局域网、车辆通信网络以及个人计算机之间的通信等方面。传感器网络等其他方面。
(2) 车辆通信网络的协议架构
在现有的网络协议架构中,经典的国际开放系统OSI参考模型以及我们在计算机网络中常用的TCP/IP模型具有代表性。移动自组织网络中的每个移动节点通过无线通信形成一个无线网络。这与TCP/IP框架下的有线网络有很大不同。车载自组织网络可被视为一种特殊的移动自组织网络,但其各层协议的设置仍存在很大差异。它强调行驶轨迹的规律性以及城市环境中障碍物的干扰。OSI、TCP/IP、MANET和VANET协议架构的比较如图2所示。车辆通信网络的协议架构基于TCP/IP协议架构。后续将进一步讨论车辆通信网络各层的内容、特点及相应的研究热点。
1) 物理层和MAC层
在车载自组织网络中,通常将物理层和MAC层合在一起称为PHY/MAC层。目前,高频波、微波、毫米波和红外光波已应用于车辆通信系统。在美国,联邦通信委员会(FCC)已分配了75MHz的专用短程通信频率(专用短程通信,简称DSRC),范围从5.850GHz到5.925GHz,用于车辆通信。欧洲和日本也为车载通信网络分配了相应的频段。迄今为止,车载通信网络的物理层和MAC层主要面临三大挑战:第一是如何提供车辆之间的稳定通信以及广播频段的有效共享;第二是如何应对车载自组织网络中节点密度的变化,例如在拥堵状态下交通流量密度突然异常增加;第三是如何在无线环境中保障通信服务质量QoS,以支持紧急应用。
2) 网络路由层
车载自组织网络在网络层的VANET路由协议主要参考移动自组织网络的研究,但也具有适用于交通通信场景的特殊特性。通常情况下,VANET是一种线性网络,节点移动速度快且能够预测其轨迹。节点的位置也可通过GPS等手段获取。由于高速移动的特性,网络拓扑可能变化非常迅速,通信链路的建立与维护面临挑战。同时,还需考虑稀疏网络中的通信能力。相关研究中常用的方法包括协议包括单播路由协议(DSR, AODV)、多播路由协议(MAODV, MOLSR)和基于位置的路由协议(GPSR, MDDV)等。(珀金斯,2000)。
3) 传输层
VANET的网络协议架构参照TCP/IP协议制定,但研究表明,用于有线网络的TCP协议在无线网络中应用效果不佳。在TCP协议下,当发生网络拥塞时,连接性会大幅降低,无法保证VANET中的网络吞吐量性能。尽管存在一些可用于VANET的改进的TCP协议,但主要研究仍基于UDP连接。
4) 协议安全问题
安全是VANET最受关注的问题之一,因为它直接关系到人们的生命。VANET对协议安全应用有严格的规定,包括用户在通信过程中传输数据的真实性、机密性、可靠性和安全性。
2.3 网络仿真软件与移动模型的融合
为了使车载自组织网络能够使用车辆移动模型,这些模型必须能够被网络仿真软件所使用。
(1) 孤立移动模型
过去和现在研究机构使用的大多数移动模型都属于此类,如图3所示。在仿真之前会生成不同的场景,并根据预设路径格式由仿真软件进行分析。由于运动场景无法修改,因此两个领域之间没有交互。近年来,由于车辆通信中的特殊应用,出现了更重要的交互需求,这促进了两个领域之间更好的交互。
(2) 嵌入式移动模型
为了使网络仿真软件与交通仿真软件充分交互,将两个仿真器集成到一个仿真器中,并通过网络与移动性领域之间的简单协作相互补偿缺失的协议,如图4所示。嵌入式方法的优点在于网络模型与移动模型之间能够进行简单高效的交互。采用经过验证的车辆运动模式,并严格遵循标准协议。目前,该方法已成为车辆自组织网络仿真研究方向。
(3) 融合移动模型
如图5所示,现有的网络仿真软件和移动模型或专业的交通仿真软件通过一组接口集成在一起。
(4) 三种应用领域方法的比较
随着仿真软件之间交互的不断增加,新的应用不断涌现,例如交通安全应用。早期的应用仿真主要关注网络,但随着车辆自组织网络应用的持续出现,车辆移动性引起了应用仿真的关注。在此领域中,尽管未来的研究趋势是融合与交互,但三种方法仍并存。孤立方法的优势在于其通用性和简单性。在安全与交通管理领域,研究人员更倾向于融合和嵌入。
1) 由于孤立移动模型中的运动模式不会随着动态交通信息的变化而变化,因此以孤立方式建模的模型无法用于实际应用。
2) 当交通模块或移动模块的真实性满足应用需求时,也可为该应用建立嵌入式移动模型。
3) 融合模式的移动模型非常适用于面向应用的建模。挑战在于如何有效设计仿真软件之间的接口。
3. 实验
3.1 仿真实验参数与场景
以车辆自组织网络的V2I场景仿真为例,描述兰州黄河风情线南北滨河路的道路交通场景。本实验的测试环境如下:计算机配置为CPU Pentium (R) 4,主频为3.0GHz,内存为512 MB,操作系统为Windows XP,以及网络仿真平台是OPNET Modeler 14.5。网络模型规模为5000m * 5000m。仿真的主要参数如表1所示。
| 主要参数 | 范围 |
|---|---|
| 网络仿真平台 | OPNET Modeler 14.5 |
| 仿真范围 | 5000*5000m² |
| 仿真时间 | 360s |
| 无线信号通信距离 | 100m |
| 数据传输速率 | 11兆比特每秒 |
| 车辆行驶速度 | 30公里/小时 |
| 接入点数量 | 7 |
| 数据大小 | 512千字节 |
地面无线接入点(AP1、AP2、AP3、AP4 ⋯ AP7)分别由WLAN‐以太网路由器替代,轨旁控制器(服务器‐1、服务器‐2)和中央控制器(中心服务器)分别作为服务器代表,通过100BaseT链路将地面无线接入点和服务器连接到相应的路由器。移动设备(车载控制器)由移动IP子网组成,包含一个移动路由器和一个接收节点。移动路由器的模块为“mip_wlan_ethernet_slip4_adv”。
移动路由器的接口信息配置:
1. IP地址;
2. 用于路由的地址;
3. 它与AP1具有相同的基本服务集BSS标识符,即ID = 0;
4. 无线局域网参数中的漫游能力设置为启用,从而可以在整个网络范围内移动。
此外,接收节点仅需配置其IP地址。地面无线接入点和车载移动无线设备均采用基于802.11的设备,传输带宽为11 Mbps,基本服务集BSS的ID分别配置为0、1、2、3、4、5和6。移动IP采用IPv4标准。
3.2 实验统计数据收集
(1) 关联AP(接入点连接性)
指示无线网络的MAC层是否与接入点关联。当MAC层与之前的关联AP失去关联时,统计值为“‐1”;当其与另一个接入点关联时,其值为新关联AP的BSS编号。
(2) 吞吐量
单位时间内在信道上正常发送的信息量称为吞吐量。即无线网络的MAC层向上传输并正常接收的数据服务总量,单位为“比特/秒”。当信道发生传输冲突和传输错误时,必然导致帧丢失,从而浪费信道时间。无用信道时间的程度反映了MAC层协议的优劣。
(3) 延迟
表示无线网络中MAC层成功接收并传递给上层的所有数据包的端到端延迟。其单位为“s”。
(4) 负载
它表示无线网络的MAC层成功接收并传输给上层的总数据负载,单位为“比特/秒”。收集数据,并将仿真运行时间设置为360秒。并将仿真属性对话框中的种子设置为128。在仿真运行结束时,收集相关统计数据。
4. 讨论
4.1 车辆通信网络的建模与仿真
借助OPNET Modeler仿真平台,建立了由9辆车辆构成的车辆通信网络模型。对车辆通信网络路由协议的仿真分析如下。
(1) 吞吐量对比
AODV协议的吞吐量高于DSR协议。因为AODV协议兼具DSR协议的根检测功能和根维护功能,同时采用了DSDV协议的逐跳路由、序列号和Hello消息机制。与采用源路由的DSR协议相比,AODV协议提高了网络带宽的利用率,在吞吐量特性上优于DSR协议,实现了DSDV协议和DSR协议的优势结合。仿真结果如图6所示。
根据图6所示的两种协议吞吐量对比,从图6可以看出,AODV协议的吞吐量高于DSR协议。其根本原因是AODV协议能够结合DSR和DSDV协议的优点,因此网络带宽的利用率远高于DSR,优于DSR。
(2) 车联网通信网络负载对比
DSR协议的负载远小于AODV协议。这是因为DSR协议的路由负载主要由路径错误分组(RERR)和路由响应(RREP)分组构成,并且通过该分组向目的节点建立多条路径。DSR协议采用缓存技术和混合接入方式监听路由请求分组,将路由负载抑制到最低。AODV协议的路由负载主要由路由请求(RREQ)分组构成。仿真结果如图7所示。
如图7所示,在负载方面,两种协议之间的差异也非常明显。AODV协议的负载远大于DSR协议。这是因为AODV协议中的路由负载主要由RREQ数据包构成,而DSR协议则主要使用RREP和RERR数据包,并借助缓存技术,采用混合接收方法监听路由数据包请求,建立到目的节点的不同路由,以最小化路由负载。仿真实验表明,当所有参数相同且车辆处于低速移动状态时,随着车辆数量的增加,媒体访问延迟的变化并不明显,整体趋势基本一致;车辆自组织网络的延迟降低,几乎减少了一半;网络负载增加;同时网络的吞吐量显著提升。
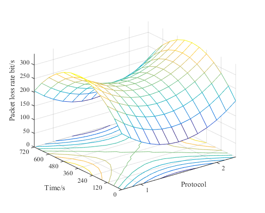
(3) 车联网通信网络丢包率
在丢包率方面,AODV协议的丢包率低于DSR协议。随着仿真时间的变化,AODV协议和DSR协议均在较小范围内保持稳定,DSR协议的性能始终保持在一个相对水平。在稳定范围内,AODV协议的性能随仿真时间显著提升。仿真结果如图8所示。
图8显示,这两种协议在丢包率方面也存在差异。然而,在初始阶段,DSR协议的丢包率高于AODV协议,但随着时间推移能够保持稳定状态,而AODV协议的丢包率则显著上升。无论从吞吐量、路由负载还是丢包率等多个方面来看,DSR路由协议都比AODV协议更符合网络通信的实际需求。
4.2 车辆自组织网络中V2V运动场景的建模与仿真
在城市道路交通场景下的车对车网络V2V网络中,AODV路由协议在网络平均时延、吞吐量、路由负载、丢包率和平均路由跳数以及通信需求方面通常比DSR路由协议更适用于实际网络。仿真实验表明,在低速移动情况下,对于具有强移动性的车‐车通信网络,AODV协议比DSR协议更适合作为其网络层的路由协议。仿真的主要参数如表2所示。
| 主要参数 | 范围 |
|---|---|
| 网络仿真平台 | OPNET Modeler 14.5 |
| 仿真范围 | 5000*5000m² |
| 仿真时间 | 360s |
| 无线信号通信距离 | 100m |
| 数据传输速率 | 11兆比特每秒 |
| 车辆行驶速度 | 30公里/小时,60公里/小时,90公里/小时,120公里/小时 |
| 接入点数量 | 7 |
| 数据大小 | 512千字节 |
将车辆速度分别设置为30公里/小时、60公里/小时、90公里/小时和120公里/小时;配备冗余系统的车辆在城市道路上匀速行驶。数据传输速率设置为11兆比特每秒,车辆速度分别设置为30公里/小时、60公里/小时、90公里/小时和120公里/小时。运行仿真并得到图9所示结果。
从图9的仿真结果可以看出,当车辆行驶速度为30公里/小时和60公里/小时时,一套设备和配备冗余系统的车辆均能良好地与无线接入点AP关联;当车辆行驶速度为90公里/小时时,配备一套设备的车辆无法与AP3关联;当车辆以120公里/小时的速度行驶时,配备一套设备的车辆无法与AP6关联。
在无线网络环境中,受移动终端漫游、干扰和噪声等因素的影响,信道条件会随时间发生显著变化,网络性能同时也受到影响。因此,在设计车辆自组织网络时,设置合理的网络参数并选择适当的技术标准,可以提升车辆自组织网络的性能。由于车辆自组织网络的无线通信技术具有研发和实施成本较高、地面接入设备较多且位置要求较高等特点,因而存在相应的实施风险。基于物联网智能交通系统的车辆自组织网络建模与仿真具有研发风险低和技术成熟等优势。通过上述对车辆自组织网络的建模与仿真研究,可在基于物联网的智能交通系统中进行车辆自组织网络设计时考虑以下设计原则:
(1) 车与基础设施通信(V2I)通信设计
仿真实验表明,在单跳场景下研究车辆自组织网络信息传输时,改变车辆行驶方向、车辆速度、车辆密度以及在一定范围内变化的通信距离,均不会影响车与基础设施(V2I)的高质量通信。
(2) 车对车通信(V2V)通信设计
仿真实验表明,AODV路由协议在网络平均时延、吞吐量、路由负载、丢包率和平均跳数方面比DSR路由协议更适用于实际的网络通信需求。
(3) 高效安全通信设计
仿真实验表明,当车辆低速行驶时,有两套设备和一个冗余系统,车辆能很好地与无线接入点AP关联。然而,当车辆速度达到中高速时,仅配备一套设备的车辆将出现通信中断。但是,配备冗余系统的车辆始终能与无线接入点AP保持良好关联。
5. 结论
作为智能交通领域的一个新的研究方向,车辆通信网络将旅游与城市建设紧密结合,形成一个与车辆、基站、交通系统及城市建设相辅相成的庞大无形网络,有助于提升驾驶安全,减少交通事故的发生,并提高驾驶效率,具有重要的应用价值。本文以车辆自组织网络城市道路交通场景为研究对象,基于单跳V2I场景和包含多跳V2V场景的互联网智能交通系统,构建无线数据通信场景。采用OPNET Modeler软件对车辆无线通信网络进行建模与仿真,搭建车辆自组织网络仿真平台并分析其性能。由于人们对车辆自组织网络的认识尚处于初级阶段,车辆自组织网络在关键技术、安全认证和实际应用方面均具有研究价值。
本文基于车辆自组织网络的技术特性构建了车辆模型。在仿真过程中忽略不必要的因素,评估V2I单车道单向移动车辆自组织网络的整体性能。在城市道路交通场景中,车辆与基础设施(V2I)之间的通信网络构成移动网络,车辆依次通过无线接入点AP。在某一时刻,一个AP的服务区内的移动节点数量是有限的。即在同一AP的无线信号覆盖范围内,最多只有两个移动节点处于活动状态,节点间的干扰较小。因此,可认为一个移动节点能够独占与接入点的通信信道。降低延迟的有效措施是减少信息转发次数并增加通信范围。然而,在车载自组织网络通信中,移动节点的通信范围受限。延迟越小,对紧急信息的传输越重要。因此,降低车辆自组织网络的端到端延迟是关键问题。
通过本文的仿真实验表明,在低速移动情况下,对于具有较高移动性的车‐车通信网络而言,AODV协议比DSR协议更适合作为其网络层的路由协议。在无线网络环境中,受移动终端漫游、干扰和噪声等因素影响,信道条件会随时间发生较大变化,网络性能也随之受到影响。因此,在设计车辆自组织网络时,设置合理的网络参数并选择适当的技术标准,有助于提升车辆自组织网络的性能。由于车辆自组织网络的无线通信技术具有研发和实施成本较高、地面接入设备多、位置要求高等特点,因而存在相应的实施风险。基于物联网的智能交通系统的车辆自组织网络建模与仿真具有研发风险低、技术成熟等优势。
707

被折叠的 条评论
为什么被折叠?



