文章目录
- 行列式的计算
- 矩阵的秩的定义
- α和β两个向量组等价说明什么
- AX=0与BX=0同解说明什么
- 矩阵A列满秩能不能说明AX=0只有0解?
- 矩阵A可逆的等价条件
- A、A^T^A、AA^T^
- 为什么可以通过求特征值的方法来求一个矩阵的正负惯性指数?
- 矩阵AB和矩阵BA
- 分块矩阵
- 如何判断两个矩阵是否相似?
- 如何判断两个矩阵是否合同?
- ✅ **合同的定义**
- ✅ 合同的必要条件
- ✅ **实对称矩阵的合同判定**
- ✅ **非对称矩阵的合同判定**
- **① 对称部分 S A = A + A T 2 S_A = \frac{A + A^T}{2} SA=2A+AT 与 S B = B + B T 2 S_B = \frac{B + B^T}{2} SB=2B+BT 具有相同的惯性**
- **② 反对称部分 K A = A − A T 2 K_A = \frac{A - A^T}{2} KA=2A−AT 与 K B = B − B T 2 K_B = \frac{B - B^T}{2} KB=2B−BT**
- **③ 对称部分与反对称部分的耦合结构相同(Witt 分解)**
- 🔍 **具体的判定步骤如下:**
- **Step 1:分解对称与反对称部分**
- **Step 2:检查对称部分是否合同**
- **Step 3:检查反对称部分是否合同**
- **Step 4:检查耦合结构(标准形)是否一致**
- 🧠 **总结**
- 相似对角化的条件
- A+B的特征值是不是等于A的特征值加B的特征值
- 一个矩阵是否一定有特征值和特征向量?
- 幂 0 矩阵
- 幂等矩阵
- 常用二次曲面的标准方程
行列式的计算
基本型行列式
(1)主对角线行列式
∣
a
11
a
12
⋯
a
1
n
0
a
22
⋯
a
2
n
⋮
⋮
⋮
0
0
⋯
a
n
n
∣
=
∣
a
11
0
⋯
0
a
21
a
22
⋯
0
⋮
⋮
⋮
a
n
1
a
n
2
⋯
a
n
n
∣
=
∣
a
11
0
⋯
0
0
a
22
⋯
0
⋮
⋮
⋮
0
0
⋯
a
n
n
∣
=
∏
i
=
1
n
a
i
i
\left|\begin{array}{cccc} a_{11} & a_{12} & \cdots & a_{1 n} \\ 0 & a_{22} & \cdots & a_{2 n} \\ \vdots & \vdots & & \vdots \\ 0 & 0 & \cdots & a_{n n} \end{array}\right|=\left|\begin{array}{cccc} a_{11} & 0 & \cdots & 0 \\ a_{21} & a_{22} & \cdots & 0 \\ \vdots & \vdots & & \vdots \\ a_{n 1} & a_{n 2} & \cdots & a_{n n} \end{array}\right|=\left|\begin{array}{cccc} a_{11} & 0 & \cdots & 0 \\ 0 & a_{22} & \cdots & 0 \\ \vdots & \vdots & & \vdots \\ 0 & 0 & \cdots & a_{n n} \end{array}\right|=\prod_{i=1}^n a_{i i}
a110⋮0a12a22⋮0⋯⋯⋯a1na2n⋮ann
=
a11a21⋮an10a22⋮an2⋯⋯⋯00⋮ann
=
a110⋮00a22⋮0⋯⋯⋯00⋮ann
=i=1∏naii
(2)副对角线行列式
∣
a
11
a
12
⋯
a
1
,
n
−
1
a
1
n
a
21
a
22
⋯
a
2
,
n
−
1
0
⋮
⋮
⋮
⋮
a
n
1
0
⋯
0
0
∣
=
∣
0
⋯
0
a
1
n
0
⋯
a
2
,
n
−
1
a
2
n
⋮
⋮
⋮
a
n
1
⋯
a
n
,
n
−
1
a
n
n
∣
=
∣
0
⋯
0
a
1
n
0
⋯
a
2
,
n
−
1
0
⋮
⋮
⋮
a
n
1
⋯
0
0
∣
=
(
−
1
)
n
(
n
−
1
)
2
a
1
n
a
2
,
n
−
1
⋯
a
n
1
\begin{aligned} \left|\begin{array}{ccccc} a_{11} & a_{12} & \cdots & a_{1, n-1} & a_{1 n} \\ a_{21} & a_{22} & \cdots & a_{2, n-1} & 0 \\ \vdots & \vdots & & \vdots & \vdots \\ a_{n 1} & 0 & \cdots & 0 & 0 \end{array}\right| & =\left|\begin{array}{ccccc} 0 & \cdots & 0 & a_{1 n} \\ 0 & \cdots & a_{2, n-1} & a_{2 n} \\ \vdots & & \vdots & \vdots \\ a_{n 1} & \cdots & a_{n, n-1} & a_{n n} \end{array}\right|=\left|\begin{array}{ccccc} 0 & \cdots & 0 & a_{1 n} \\ 0 & \cdots & a_{2, n-1} & 0 \\ \vdots & & \vdots & \vdots \\ a_{n 1} & \cdots & 0 & 0 \end{array}\right| \\ & =(-1)^{\frac{n(n-1)}{2}} a_{1 n} a_{2, n-1} \cdots a_{n 1} \end{aligned}
a11a21⋮an1a12a22⋮0⋯⋯⋯a1,n−1a2,n−1⋮0a1n0⋮0
=
00⋮an1⋯⋯⋯0a2,n−1⋮an,n−1a1na2n⋮ann
=
00⋮an1⋯⋯⋯0a2,n−1⋮0a1n0⋮0
=(−1)2n(n−1)a1na2,n−1⋯an1
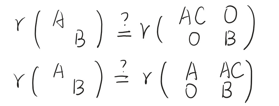
(3)拉普拉斯展开式
设
A
A
A 为
m
m
m 阶矩阵,
B
B
B 为
n
n
n 阶矩阵,则
∣
A
O
O
B
∣
=
∣
A
C
O
B
∣
=
∣
A
O
C
B
∣
=
∣
A
∣
∣
B
∣
\left|\begin{array}{ll} A & O \\ O & B \end{array}\right|=\left|\begin{array}{ll} A & C \\ O & B \end{array}\right|=\left|\begin{array}{ll} A & O \\ C & B \end{array}\right|=|A||B|
AOOB
=
AOCB
=
ACOB
=∣A∣∣B∣
∣
O
B
A
O
∣
=
∣
O
B
A
C
∣
=
∣
C
B
A
O
∣
=
(
−
1
)
m
n
∣
A
∣
∣
B
∣
\left|\begin{array}{ll} O & B \\ A & O \end{array}\right|=\left|\begin{array}{ll} O & B \\ A & C \end{array}\right|=\left|\begin{array}{ll} C & B \\ A & O \end{array}\right|=(-1)^{m n}|A||B|
OABO
=
OABC
=
CABO
=(−1)mn∣A∣∣B∣
(4)范德蒙德行列式
∣
1
1
⋯
1
x
1
x
2
⋯
x
n
x
1
2
x
2
2
⋯
x
n
2
⋮
⋮
⋮
x
1
n
−
1
x
2
n
−
1
⋯
x
n
n
−
1
∣
=
∏
1
≤
i
<
j
≤
n
(
x
j
−
x
i
)
,
n
≥
2
\left|\begin{array}{cccc} 1 & 1 & \cdots & 1 \\ x_1 & x_2 & \cdots & x_n \\ x_1^2 & x_2^2 & \cdots & x_n^2 \\ \vdots & \vdots & & \vdots \\ x_1^{n-1} & x_2^{n-1} & \cdots & x_n^{n-1} \end{array}\right|=\prod_{1 \leq i<j \leq n}\left(x_j-x_i\right), n \geq 2
1x1x12⋮x1n−11x2x22⋮x2n−1⋯⋯⋯⋯1xnxn2⋮xnn−1
=1≤i<j≤n∏(xj−xi),n≥2
加边法计算
直接看这道典型例题

用特征值计算
(1) ∣ A ∣ = ∏ i = 1 n λ i |A| = \prod_{i=1}^n \lambda_i ∣A∣=∏i=1nλi
(2)若 A A A相似于 B B B,则 ∣ A ∣ = ∣ B ∣ |A| = |B| ∣A∣=∣B∣
用行列式的性质计算
(1)设 C = A B C = AB C=AB, A A A, B B B为同阶方阵,则 ∣ C ∣ = ∣ A B ∣ = ∣ A ∣ ∣ B ∣ |C| = |AB| = |A||B| ∣C∣=∣AB∣=∣A∣∣B∣。
(2)设 A A A为 n n n阶矩阵,则 ∣ A ∗ ∣ = ∣ A ∣ n − 1 |A^{*}| = |A|^{n - 1} ∣A∗∣=∣A∣n−1, ∣ ( A ∗ ) ∗ ∣ = ∣ ∣ A ∣ n − 2 A ∣ = ∣ A ∣ ( n − 1 ) 2 |(A^{*})^{*}| = ||A|^{n - 2}A| = |A|^{(n - 1)^2} ∣(A∗)∗∣=∣∣A∣n−2A∣=∣A∣(n−1)2
用递推关系算
看下面这道例题:
求
n
n
n阶行列式
∣
2
0
⋯
0
2
−
1
2
⋯
0
2
⋮
⋮
⋱
⋮
⋮
0
0
⋯
2
2
0
0
⋯
−
1
2
∣
=
‾
\begin{vmatrix} 2 & 0 & \cdots & 0 & 2 \\ -1 & 2 & \cdots & 0 & 2 \\ \vdots & \vdots & \ddots & \vdots & \vdots \\ 0 & 0 & \cdots & 2 & 2 \\ 0 & 0 & \cdots & -1 & 2 \end{vmatrix} = \underline{\quad}
2−1⋮0002⋮00⋯⋯⋱⋯⋯00⋮2−122⋮22
=
这题咋写的呢?

矩阵的秩的定义
矩阵的秩的核心定义是:矩阵中非零子式的最高阶数,也是矩阵行(列)向量组的极大线性无关组所含向量的个数。
关键理解
- 子式是从矩阵中任取k行k列,交叉处元素构成的k阶行列式。
- 若矩阵存在r阶非零子式,且所有r+1阶子式(若存在)均为零,则秩为r,记为r(A)=r
- 零矩阵的秩规定为0,非零矩阵的秩至少为1
补充说明
- 矩阵的行秩(行向量组的秩)与列秩(列向量组的秩)相等,统一称为矩阵的秩。
- 秩反映了矩阵的“有效信息”多少,满秩矩阵(秩等于行数或列数)的信息无冗余。
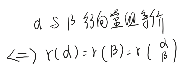
α和β两个向量组等价说明什么
说明向量组β中的任意一个向量都能由向量组α线性表示
同时向量组α中的任意一个向量都能由向量组β线性表示

AX=0与BX=0同解说明什么
- 矩阵A可以通过初等行变换转化成矩阵B
- A和B的行向量组等价
- 存在一个可逆矩阵P,使得PA=B
- 矩阵A和B的列向量组有相同的线性关系

矩阵A列满秩能不能说明AX=0只有0解?

矩阵A可逆的等价条件


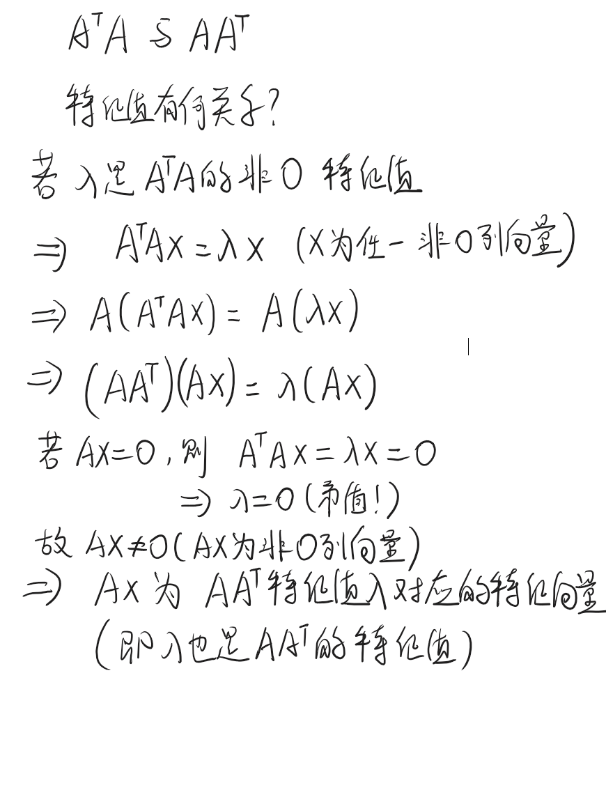
A、ATA、AAT
为什么r(A)=r(ATA)=r(AAT)?

ATA、AAT的特征值有什么关系?

A和ATA的特征值有什么关系?
若A是实对称矩阵,则ATA的特征值是A特征值的平方

若A是一般方阵,则A的特征值的平方不会超过ATA的最大特征值
为什么当A是可逆矩阵时,ATA是正定矩阵?

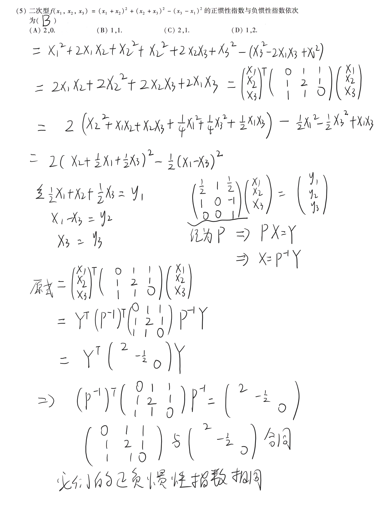
为什么可以通过求特征值的方法来求一个矩阵的正负惯性指数?
一个实对称矩阵与他相似对角化之后得到的对角阵一定是合同的(因为实对称矩阵能用正交矩阵相似对角化),而对角阵中的元素都是该矩阵的特征值
因此实对称矩阵的正负惯性指数就可以通过看其特征值的正负来得出

矩阵AB和矩阵BA
矩阵AB和矩阵BA的特征值之间有什么关系吗?
如果 A A A 是 m × n m\times n m×n 矩阵、 B B B 是 n × m n\times m n×m 矩阵,则:
AB 与 BA 的所有非零特征值完全一致,代数重数也相同。 \boxed{\text{AB 与 BA 的所有非零特征值完全一致,代数重数也相同。}} AB 与 BA 的所有非零特征值完全一致,代数重数也相同。
即:
λ ≠ 0 是 AB 的特征值 ⟺ λ ≠ 0 是 BA 的特征值 \lambda \ne 0 \text{ 是 AB 的特征值 } \Longleftrightarrow \lambda \ne 0 \text{ 是 BA 的特征值} λ=0 是 AB 的特征值 ⟺λ=0 是 BA 的特征值
且重数一致。
证明

⚠ 特别注意:AB与BA的 0 特征值个数可能不同
- AB 是 m × m m\times m m×m
- BA 是 n × n n\times n n×n
如果 m ≠ n m\ne n m=n,其中一个可能有更多的 0 特征值。
举例:AB和BA的非零特征值相同,但零特征值不同
取:
A = ( 1 0 0 0 0 0 ) , B = ( 1 0 0 0 0 0 ) A=\begin{pmatrix} 1 & 0 & 0\\ 0 & 0 & 0 \end{pmatrix},\quad B=\begin{pmatrix} 1 & 0\\ 0 & 0\\ 0 & 0 \end{pmatrix} A=(100000),B= 100000
那么:
A B = ( 1 0 0 0 ) , B A = ( 1 0 0 0 0 0 0 0 0 ) AB = \begin{pmatrix} 1 & 0\\ 0 & 0 \end{pmatrix},\quad BA = \begin{pmatrix} 1 & 0 & 0\\ 0 & 0 & 0\\ 0 & 0 & 0 \end{pmatrix} AB=(1000),BA= 100000000
两者都有同一个非零特征值 1,但:
- AB 是 2 × 2 2\times 2 2×2,有一个零特征值
- BA 是 3 × 3 3\times 3 3×3,有两个零特征值
完全符合理论。
AB和BA的进一步关系
由于AB和BA的非0特征值完全相同,我们可以进一步得到下面的结论
AB和BA的迹相同
若 A , B A,B A,B 都是 n × n n\times n n×n:
t r ( A B ) = t r ( B A ) . \mathrm{tr}(AB)=\mathrm{tr}(BA). tr(AB)=tr(BA).
但这不意味着特征值集合完全相同,只说明它们的特征值和相同。
AB和BA的行列式相同
det ( I − t A B ) = det ( I − t B A ) \det(I - tAB) = \det(I - tBA) det(I−tAB)=det(I−tBA)
由此推出非零特征值一致。
AB和BA之间的关系总结
| 性质 | AB | BA | 是否相同? |
|---|---|---|---|
| 非零特征值 | ✔ | ✔ | 完全相同(含重数) |
| 零特征值个数 | 可能不同 | 可能不同 | ❌ 不一定 |
| 迹 | = | = | ✔ |
| 秩 | = | = | ✔ |
| 特征多项式 | ❌ | ❌ | 一般不同 |
已知AB=BA,我们可以得到什么?
若AB=BA,且α是A的特征向量,则α一定也是B的特征向量(即A和B共享同一组特征向量)
若n阶矩阵A有n个不同的特征值,则n阶矩阵B也一定有n个不同的特征值,A与B共享一组n个线性无关的特征向量(这组特征向量构成的P矩阵,既可以让A相似对角化,也可以让B相似对角化),但是不共享特征值

r(AB)与r(BA)是否一定相等?
我们知道,一个方阵的秩等于该矩阵非0特征值的个数,而前面我们刚刚说过,AB和BA的非零特征值完全相同,他们非0特征值的个数自然相同。那我们能否得出结论, r(AB)与r(BA)是否一定相等呢?
不一定,看下面的反例
取:
A = ( 1 0 0 0 ) , B = ( 0 1 0 0 ) A=\begin{pmatrix} 1 & 0 \\ 0 & 0 \end{pmatrix}, \quad B=\begin{pmatrix} 0 & 1 \\ 0 & 0 \end{pmatrix} A=(1000),B=(0010)
计算:
A B = ( 0 1 0 0 ) , B A = ( 0 0 0 0 ) AB=\begin{pmatrix} 0 & 1\\ 0 & 0 \end{pmatrix} ,\quad BA=\begin{pmatrix} 0 & 0\\ 0 & 0 \end{pmatrix} AB=(0010),BA=(0000)
于是:
rank ( A B ) = 1 , rank ( B A ) = 0 \operatorname{rank}(AB)=1,\quad \operatorname{rank}(BA)=0 rank(AB)=1,rank(BA)=0
显然:
rank ( A B ) > rank ( B A ) \operatorname{rank}(AB) > \operatorname{rank}(BA) rank(AB)>rank(BA)
也就是说 rank(AB) 与 rank(BA) 不一定相等。
这说明我们前面的推导有误,错在哪一步呢?
其实就错在第一步,不是所有方阵的秩都等于非0特征值的个数。那什么样的方阵的秩等于非0特征值的个数呢?
一个矩阵的秩是否等于其非0特征值的个数?
首先要明确一个概念,只有方阵才有特征值,因此我们的命题其实应该是:一个方阵的秩是否等于其非0特征值的个数
先给结论:当且仅当,特征值λ=0的几何重数与代数重数相等时,该方阵的秩等于其非0特征值的个数
在下图所示的例子中,AB这个矩阵的特征值λ=0的代数重数是2,但是几何重数只有1,它们不相等,因此该方阵的秩并不等于其非0特征值的个数
A B = ( 0 1 0 0 ) AB=\begin{pmatrix} 0 & 1\\ 0 & 0 \end{pmatrix} AB=(0010)
注意:条件仅要求特征值λ=0的几何重数与代数重数相等,并没有要求方阵的所有特征值对应的几何重数与代数重数都相等。而一个方阵的所有特征值对应的几何重数与代数重数都相等,正是该矩阵能够相似对角化的充要条件
因此A能相似对角化,是 r ( A ) r(A) r(A)=其非0特征值个数 的充分不必要条件
到现在为止,我们还有最后一个问题:如果一个矩阵的特征值λ=0的几何重数与代数重数不相等,该矩阵有什么样的特征呢?
这种矩阵的特征用线性代数的已有知识不太好归纳(学过高等代数就可以归纳),但是最典型的例子就是我们前面举的幂0矩阵
若AB=0,请问r(A)和r(B)有怎样的关系?
若AB=0,说明B的所有列向量都在Ax=0的解空间中
由于r(A)+解空间的秩=4(4是A的阶数)

所以B的秩肯定不能超过解空间的维度:r(B)≤dim N(A)=4-r(A)
所以r(B)+r(A)≤4
r(AB)与r(A)、r(B)之间的关系


B是满秩矩阵,则r(AB) 与 r(A)是否相等?为什么?
是的,原因如下:
核心原理:满秩矩阵的“秩不变性”
- 满秩矩阵(可逆矩阵)可表示为有限个初等矩阵的乘积,而初等变换不改变矩阵的秩。
- 矩阵AB相当于对A进行“右乘初等矩阵”的操作,本质是对A的列向量组做一系列初等列变换。
- 初等列变换不改变矩阵的列秩,而矩阵的列秩等于行秩(即矩阵的秩),因此r(AB) = r(A)。
r(A+B)与r(A)、r(B)之间的关系


r(A|B)与r(A)、r(B)之间的关系
m
a
x
{
r
(
A
)
,
r
(
B
)
}
≤
r
(
A
∣
B
)
≤
r
(
A
)
+
r
(
B
)
max\{ r(A), r(B) \} ≤ r(A|B) ≤ r(A) + r(B)
max{r(A),r(B)}≤r(A∣B)≤r(A)+r(B)(这其实是分块矩阵的特殊情况)

分块矩阵
分块矩阵的计算
①转置: [ A B C D ] T = [ A T C T B T D T ] \begin{bmatrix} A & B \\ C & D \end{bmatrix}^{\mathrm{T}} = \begin{bmatrix} A^{\mathrm{T}} & C^{\mathrm{T}} \\ B^{\mathrm{T}} & D^{\mathrm{T}} \end{bmatrix} [ACBD]T=[ATBTCTDT]
②加法: [ A 1 A 2 A 3 A 4 ] + [ B 1 B 2 B 3 B 4 ] = [ A 1 + B 1 A 2 + B 2 A 3 + B 3 A 4 + B 4 ] \begin{bmatrix} A_1 & A_2 \\ A_3 & A_4 \end{bmatrix} + \begin{bmatrix} B_1 & B_2 \\ B_3 & B_4 \end{bmatrix} = \begin{bmatrix} A_1 + B_1 & A_2 + B_2 \\ A_3 + B_3 & A_4 + B_4 \end{bmatrix} [A1A3A2A4]+[B1B3B2B4]=[A1+B1A3+B3A2+B2A4+B4]
③数乘: k [ A B C D ] = [ k A k B k C k D ] k\begin{bmatrix} A & B \\ C & D \end{bmatrix} = \begin{bmatrix} kA & kB \\ kC & kD \end{bmatrix} k[ACBD]=[kAkCkBkD]
④乘法: [ A B C D ] [ X Y Z W ] = [ A X + B Z A Y + B W C X + D Z C Y + D W ] \begin{bmatrix} A & B \\ C & D \end{bmatrix}\begin{bmatrix} X & Y \\ Z & W \end{bmatrix} = \begin{bmatrix} AX + BZ & AY + BW \\ CX + DZ & CY + DW \end{bmatrix} [ACBD][XZYW]=[AX+BZCX+DZAY+BWCY+DW]
⑤若 A A A, B B B分别为 m m m, n n n阶方阵,则分块对角矩阵的幂为 [ A O O B ] k = [ A k O O B k ] \begin{bmatrix} A & O \\ O & B \end{bmatrix}^k = \begin{bmatrix} A^k & O \\ O & B^k \end{bmatrix} [AOOB]k=[AkOOBk]
⑥设
B
B
B是
r
r
r阶可逆矩阵,
C
C
C是
s
s
s阶可逆矩阵,则以下矩阵可逆,且
[
B
O
D
C
]
−
1
=
[
B
−
1
O
−
C
−
1
D
B
−
1
C
−
1
]
,
[
B
D
O
C
]
−
1
=
[
B
−
1
−
B
−
1
D
C
−
1
O
C
−
1
]
\begin{bmatrix} B & O \\ D & C \end{bmatrix}^{-1} = \begin{bmatrix} B^{-1} & O \\ -C^{-1}DB^{-1} & C^{-1} \end{bmatrix}, \begin{bmatrix} B & D \\ O & C \end{bmatrix}^{-1} = \begin{bmatrix} B^{-1} & -B^{-1}DC^{-1} \\ O & C^{-1} \end{bmatrix}
[BDOC]−1=[B−1−C−1DB−1OC−1],[BODC]−1=[B−1O−B−1DC−1C−1]
[ O B C D ] − 1 = [ − C − 1 D B − 1 C − 1 B − 1 O ] , [ D B C O ] − 1 = [ O C − 1 B − 1 − B − 1 D C − 1 ] \begin{bmatrix} O & B \\ C & D \end{bmatrix}^{-1} = \begin{bmatrix} -C^{-1}DB^{-1} & C^{-1} \\ B^{-1} & O \end{bmatrix}, \begin{bmatrix} D & B \\ C & O \end{bmatrix}^{-1} = \begin{bmatrix} O & C^{-1} \\ B^{-1} & -B^{-1}DC^{-1} \end{bmatrix} [OCBD]−1=[−C−1DB−1B−1C−1O],[DCBO]−1=[OB−1C−1−B−1DC−1]
⑦主对角线分块矩阵
A
=
[
A
1
A
2
⋱
A
s
]
A = \begin{bmatrix} A_1 & & \\ & A_2 & \\ & & \ddots & \\ & & & A_s \end{bmatrix}
A=
A1A2⋱As
,若
A
i
(
i
=
1
,
2
,
⋯
,
s
)
A_i (i = 1, 2, \cdots, s)
Ai(i=1,2,⋯,s)均可逆,则
A
A
A可逆,且
A
−
1
=
[
A
1
−
1
A
2
−
1
⋱
A
s
−
1
]
A^{-1} = \begin{bmatrix} A_1^{-1} & & \\ & A_2^{-1} & \\ & & \ddots & \\ & & & A_s^{-1} \end{bmatrix}
A−1=
A1−1A2−1⋱As−1
;副对角线分块矩阵
A
=
[
A
1
A
2
⋱
A
s
]
A = \begin{bmatrix} & & & A_1 \\ & & A_2 & \\ & \ddots & & \\ A_s & & & \end{bmatrix}
A=
As⋱A2A1
,若
A
i
(
i
=
1
,
2
,
⋯
,
s
)
A_i (i = 1, 2, \cdots, s)
Ai(i=1,2,⋯,s)均可逆,则
A
A
A可逆,且
A
−
1
=
[
A
s
−
1
⋱
A
2
−
1
A
1
−
1
]
A^{-1} = \begin{bmatrix} & & & A_s^{-1} \\ & & \ddots & \\ & A_2^{-1} & & \\ A_1^{-1} & & & \end{bmatrix}
A−1=
A1−1A2−1⋱As−1
⑧舒尔公式:
[
E
r
O
−
C
A
−
1
E
n
−
r
]
[
A
B
C
D
]
=
[
A
B
O
D
−
C
A
−
1
B
]
\begin{bmatrix} E_r & O \\ -CA^{-1} & E_{n-r} \end{bmatrix}\begin{bmatrix} A & B \\ C & D \end{bmatrix} = \begin{bmatrix} A & B \\ O & D - CA^{-1}B \end{bmatrix}
[Er−CA−1OEn−r][ACBD]=[AOBD−CA−1B]
[ A B C D ] [ E r − A − 1 B O E n − r ] = [ A O C D − C A − 1 B ] \begin{bmatrix} A & B \\ C & D \end{bmatrix}\begin{bmatrix} E_r & -A^{-1}B \\ O & E_{n-r} \end{bmatrix} = \begin{bmatrix} A & O \\ C & D - CA^{-1}B \end{bmatrix} [ACBD][ErO−A−1BEn−r]=[ACOD−CA−1B]
[ E r O − C A − 1 E n − r ] [ A B C D ] [ E r − A − 1 B O E n − r ] = [ A O O D − C A − 1 B ] \begin{bmatrix} E_r & O \\ -CA^{-1} & E_{n-r} \end{bmatrix}\begin{bmatrix} A & B \\ C & D \end{bmatrix}\begin{bmatrix} E_r & -A^{-1}B \\ O & E_{n-r} \end{bmatrix} = \begin{bmatrix} A & O \\ O & D - CA^{-1}B \end{bmatrix} [Er−CA−1OEn−r][ACBD][ErO−A−1BEn−r]=[AOOD−CA−1B]
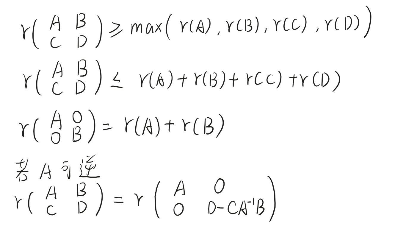
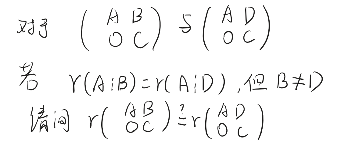
分块矩阵关于秩的性质

看下面的问题,思考这两个等式成立吗?

第一个肯定是不对的,因为如果r(A)>0,但C=0,此时等号两端肯定是不相等的。从更理论一些的角度,等号右边相较于左边,相当于对矩阵的左半部分整体做了列变换,
那第二个对不对呢?有人 看上去可能有些困惑,因为我不知道C是否可逆,不太敢说。其实第二个是完全没问题的,为啥呢?
我们都知道,对 一个矩阵做初等行/列变换,不会改变该矩阵的秩。而对一个矩阵做初等行/列变换,就等价于让这个矩阵左乘/右乘一个对应的初等矩阵,第二个等式的证明就是这个思路

再看下面一个问题,三角型分块矩阵的秩与对角线处两个矩阵的秩之间有什么关系?


最后一个问题


如何判断两个矩阵是否相似?
矩阵相似的定义(充要条件)
设A、B是n阶方阵,若存在n阶可逆矩阵P,满足 P⁻¹AP = B,则称矩阵A与B相似,记为A~B。
矩阵相似的性质(必要条件)
若A和B两个矩阵相似,则A和B具有相同的特征值(不仅值要一样,重数也得一样)
进而我们可以得出:
- A和B的秩相同
- A和B的行列式相同
- A和B的迹(对角线元素之和)相同
- A和B要么都可逆,要么都不可逆
- A和B要么都能相似对角化,要么都不能
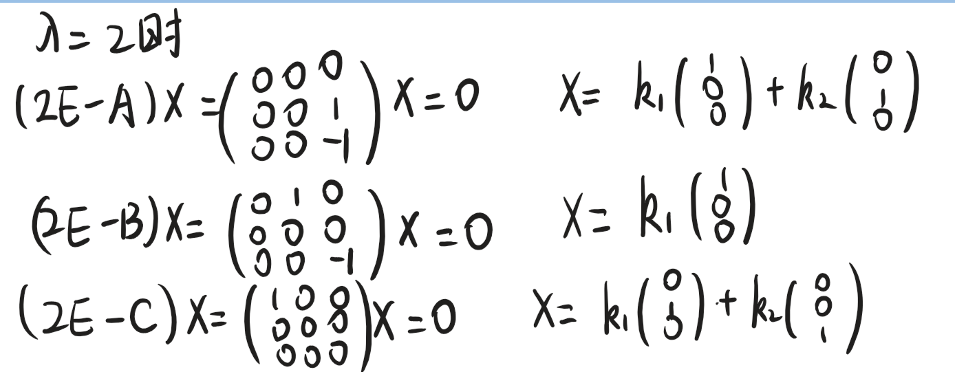
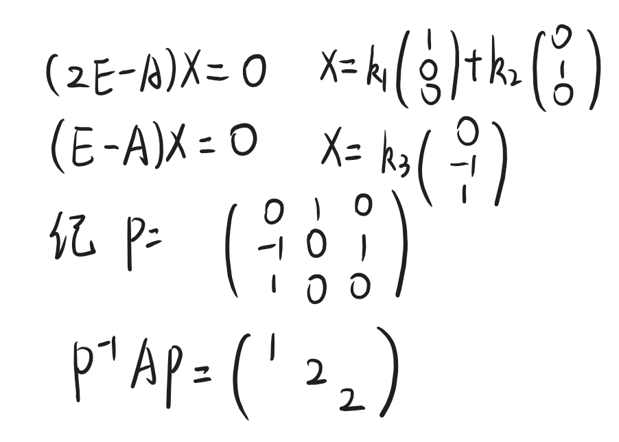
经典例题
看下面这三个矩阵,请问它们是否相似?

答案:A和C相似,B和其余俩矩阵都不相似
为啥呢?首先我们观察这仨矩阵,可以发现它们的特征值是完全一样的,都是2和1,其中
λ
=
1
λ=1
λ=1是单重特征值(代数重数和几何重数都是1),而
λ
=
2
λ=2
λ=2的代数重数是2重,几何重数需要我们验证

通过我们的验证发现,对于矩阵B,特征值 λ = 2 λ=2 λ=2的几何重数是1重(不等于代数重数),说明B无法相似对角化。对于矩阵A和C,特征值 λ = 2 λ=2 λ=2的代数重数几何重数都是两重,说明他们都能相似对角化
因此A就能相似对角化成C(别看特征值位置不一样,矩阵P可以改位置的)

如何判断两个矩阵是否合同?
判断两个矩阵是否合同(congruent),通常指判断是否存在可逆矩阵 P P P 使得
B = P T A P . B = P^{T} A P. B=PTAP.
下面给出完整的判定方法(分别在实数域、复数域、对称矩阵等情况讨论)。
✅ 合同的定义
如果存在可逆矩阵 P P P 使得
B = P T A P . B = P^{T} A P. B=PTAP.
这时候我们就称两个矩阵 A , B A,B A,B(同阶)是合同的,
✅ 合同的必要条件
- 与一个实对称矩阵合同的一定是实对称矩阵
- 与一个非实对称矩阵合同的一定是非实对称矩阵
如果A和B一个是实对称矩阵,另一个不是,则这俩必然不合同
✅ 实对称矩阵的合同判定
如果 A , B A,B A,B 都是 实对称矩阵,则它们合同 当且仅当 具有相同的:
- 正惯性指数(正特征值个数)
- 负惯性指数
- 零特征值个数
这就是 Sylvester 惯性定理(惯性定理)。
✅ 非对称矩阵的合同判定
两个非对称矩阵 A , B A, B A,B 合同 当且仅当:
① 对称部分 S A = A + A T 2 S_A = \frac{A + A^T}{2} SA=2A+AT 与 S B = B + B T 2 S_B = \frac{B + B^T}{2} SB=2B+BT 具有相同的惯性
即满足:
- 正特征值个数相同
- 负特征值个数相同
- 零特征值个数相同
因为对称矩阵的合同由惯性定理(Sylvester)完全确定。
② 反对称部分 K A = A − A T 2 K_A = \frac{A - A^T}{2} KA=2A−AT 与 K B = B − B T 2 K_B = \frac{B - B^T}{2} KB=2B−BT
具有相同的反对称矩阵合同标准形。
在实数域下:
反对称矩阵合同标准形由若干个
( 0 λ i − λ i 0 ) , λ i > 0 \begin{pmatrix} 0 & \lambda_i \\ -\lambda_i & 0 \end{pmatrix}, \quad \lambda_i > 0 (0−λiλi0),λi>0
以及可能的零块组成。
因此必须满足:
- 两矩阵的反对称部分秩相同且为偶数
- 其非零奇异值( λ i \lambda_i λi)一致(顺序可调)
③ 对称部分与反对称部分的耦合结构相同(Witt 分解)
最终由 Witt decomposition 或 Kronecker canonical form 判定。
换言之,如果 A A A 与 B B B 分别可被合同变换化成同一块状结构(Witt 分解唯一),那么它们合同。
🔍 具体的判定步骤如下:
给定两个矩阵 A , B A,B A,B。
Step 1:分解对称与反对称部分
S A = A + A T 2 , K A = A − A T 2 S_A=\frac{A+A^T}{2}, \quad K_A=\frac{A-A^T}{2} SA=2A+AT,KA=2A−AT
S B = B + B T 2 , K B = B − B T 2 S_B=\frac{B+B^T}{2}, \quad K_B=\frac{B-B^T}{2} SB=2B+BT,KB=2B−BT
Step 2:检查对称部分是否合同
判断:
Inertia ( S A ) = Inertia ( S B ) \text{Inertia}(S_A)=\text{Inertia}(S_B) Inertia(SA)=Inertia(SB)
若不相同 → 一定不合同。
Step 3:检查反对称部分是否合同
判断:
- rank ( K A ) = rank ( K B ) \operatorname{rank}(K_A)=\operatorname{rank}(K_B) rank(KA)=rank(KB)(必须为偶数)
- K A , K B K_A, K_B KA,KB 的非零奇异值是否相同(即标准形的 λ i \lambda_i λi 是否一致)
否则 → 不合同。
Step 4:检查耦合结构(标准形)是否一致
一般写成 Witt decomposition 的块状形式,若完全一致 → A 与 B 合同。
🧠 总结
对于两个一般(非对称)矩阵,合同关系通过下列判定:
| 部分 | 判定方式 |
|---|---|
| 对称部分 S S S | 惯性(正、负、零特征值个数)必须相同 |
| 反对称部分 K K K | 秩必须相同且奇异值序列一致 |
| 整体 | Witt decomposition/Kronecker 标准形相同 |
三个条件都满足,矩阵才合同。
相似对角化的条件
矩阵A可以相似对角化的充要条件


矩阵A可以相似对角化的充分不必要条件

A+B的特征值是不是等于A的特征值加B的特征值
不一定。只有当 A A A 和 B B B 有公共特征向量时,对应特征值之和才是 A + B A + B A+B 的特征值;否则, A + B A + B A+B 的特征值与 A , B A, B A,B 的特征值无直接加法关系。
特征值的运算不满足“加法分配律”,主要因为:
- 特征向量未必相同:若 A A A 的特征值为 λ \lambda λ(对应特征向量 α \alpha α), B B B 的特征值为 μ \mu μ(对应特征向量 β \beta β),只有当 α = β \alpha = \beta α=β 时,才有 ( A + B ) α = ( λ + μ ) α (A + B)\alpha = (\lambda + \mu)\alpha (A+B)α=(λ+μ)α,即 λ + μ \lambda + \mu λ+μ 是 A + B A + B A+B 的特征值。
- 一般情况不成立:若 A A A 和 B B B 的特征向量不同,则 A + B A + B A+B 的特征值无法通过 A A A 和 B B B 的特征值简单相加得到,甚至可能与两者的特征值毫无直接关联。
经典案例:E+A的特征值就等于A的所有特征值都加1
为啥呢?主要原因就在于:任意一个非零向量都是E的特征向量,因此E和实矩阵A一定有公共的特征向量,所以他们的特征值就能直接相加
一个矩阵是否一定有特征值和特征向量?
任意一个矩阵,在实数域中可能没有特征值和特征向量,但在复数域中一定有
举个典型的例子:
以复数域中的旋转矩阵为例,具体展示复特征值对应的复特征向量:
例子:2阶旋转矩阵
设矩阵 A = ( 0 − 1 1 0 ) A = \begin{pmatrix} 0 & -1 \\ 1 & 0 \end{pmatrix} A=(01−10)(对应平面逆时针旋转90°),在实数域中无实特征值和实特征向量,但在复数域中存在复特征值和复特征向量。
步骤1:求复特征值
特征方程为:
∣
λ
E
−
A
∣
=
∣
λ
1
−
1
λ
∣
=
λ
2
+
1
=
0
|\lambda E - A| = \begin{vmatrix} \lambda & 1 \\ -1 & \lambda \end{vmatrix} = \lambda^2 + 1 = 0
∣λE−A∣=
λ−11λ
=λ2+1=0
解得复特征值:
λ
1
=
i
\lambda_1 = i
λ1=i(虚数单位,
i
2
=
−
1
i^2 = -1
i2=−1),
λ
2
=
−
i
\lambda_2 = -i
λ2=−i。
步骤2:求对应复特征向量
对
λ
1
=
i
\lambda_1 = i
λ1=i,解方程组
(
i
E
−
A
)
x
=
0
(iE - A)x = 0
(iE−A)x=0:
-
i
E
−
A
=
(
i
1
−
1
i
)
iE - A = \begin{pmatrix} i & 1 \\ -1 & i \end{pmatrix}
iE−A=(i−11i)
简化方程(第二行 = -i × 第一行,秩为1),取第一行: i x 1 + x 2 = 0 i x_1 + x_2 = 0 ix1+x2=0,即 x 2 = − i x 1 x_2 = -i x_1 x2=−ix1。
令 x 1 = 1 x_1 = 1 x1=1(复数域中任意非零复数均可),得特征向量:
α 1 = ( 1 − i ) ( 非零复向量 ) \alpha_1 = \begin{pmatrix} 1 \\ -i \end{pmatrix} \quad (\text{非零复向量}) α1=(1−i)(非零复向量)
对 λ 2 = − i \lambda_2 = -i λ2=−i,解方程组 ( − i E − A ) x = 0 (-iE - A)x = 0 (−iE−A)x=0:
-
−
i
E
−
A
=
(
−
i
1
−
1
−
i
)
-iE - A = \begin{pmatrix} -i & 1 \\ -1 & -i \end{pmatrix}
−iE−A=(−i−11−i)
简化方程(第二行 = i × 第一行,秩为1),取第一行: − i x 1 + x 2 = 0 -i x_1 + x_2 = 0 −ix1+x2=0,即 x 2 = i x 1 x_2 = i x_1 x2=ix1。
令 x 1 = 1 x_1 = 1 x1=1,得特征向量:
α 2 = ( 1 i ) ( 非零复向量 ) \alpha_2 = \begin{pmatrix} 1 \\ i \end{pmatrix} \quad (\text{非零复向量}) α2=(1i)(非零复向量)
验证: 对
α
1
=
(
1
−
i
)
\alpha_1 = \begin{pmatrix} 1 \\ -i \end{pmatrix}
α1=(1−i),直接计算:
A
α
1
=
(
0
−
1
1
0
)
(
1
−
i
)
=
(
i
1
)
=
i
⋅
(
1
−
i
)
=
λ
1
α
1
A\alpha_1 = \begin{pmatrix} 0 & -1 \\ 1 & 0 \end{pmatrix} \begin{pmatrix} 1 \\ -i \end{pmatrix} = \begin{pmatrix} i \\ 1 \end{pmatrix} = i \cdot \begin{pmatrix} 1 \\ -i \end{pmatrix} = \lambda_1 \alpha_1
Aα1=(01−10)(1−i)=(i1)=i⋅(1−i)=λ1α1
满足特征向量定义,同理可验证
α
2
\alpha_2
α2。
这说明:在复数域中,即使矩阵无实特征向量,也一定存在复特征向量。
幂 0 矩阵
幂 0 矩阵(nilpotent matrix,幂零矩阵) 指的是一种很重要的特殊矩阵,它满足:
A k = 0 对某个正整数 k . A^k = 0 \quad \text{对某个正整数 } k. Ak=0对某个正整数 k.
其中:
- k k k 是某个有限的正整数
- A k A^k Ak 表示 A 连乘 k 次
- 满足 A 本身不一定为 0,但其某个幂次变成 0
我们称这样的矩阵为 幂零矩阵(nilpotent matrix)。
通常中文书上会说:
若存在正整数 k 使 A k = 0 , 则 A 是幂零矩阵。 \boxed{\text{若存在正整数 }k\text{ 使 }A^k=0,\text{ 则 A 是幂零矩阵。}} 若存在正整数 k 使 Ak=0, 则 A 是幂零矩阵。
✅ 例子(最典型的幂零矩阵)
A = ( 0 1 0 0 ) A=\begin{pmatrix} 0 & 1\\ 0 & 0 \end{pmatrix} A=(0010)
计算:
A 2 = ( 0 0 0 0 ) = 0 A^2=\begin{pmatrix} 0 & 0\\ 0 & 0 \end{pmatrix}=0 A2=(0000)=0
所以 A 是幂零矩阵(k = 2)。
✅ 幂零矩阵的特征值是什么?
一个核心性质是:
所有特征值都是 0 \boxed{\text{所有特征值都是 0}} 所有特征值都是 0
证明很简单:
若
A
v
=
λ
v
A v = \lambda v
Av=λv,又有
A
k
=
0
A^k = 0
Ak=0,则
0 = A k v = λ k v 0 = A^k v = \lambda^k v 0=Akv=λkv
所以 λ k = 0 ⇒ λ = 0 \lambda^k = 0 ⇒ λ = 0 λk=0⇒λ=0。
✅ 幂零矩阵是否可逆?
因为
A k = 0 ⇒ det ( A ) k = det ( 0 ) = 0 ⇒ det ( A ) = 0 A^k=0 ⇒ \det(A)^k = \det(0)=0 ⇒ \det(A) = 0 Ak=0⇒det(A)k=det(0)=0⇒det(A)=0
✅ 幂零矩阵的秩有没有什么性质?
连续幂次的秩严格下降:
r a n k ( A ) > r a n k ( A 2 ) > r a n k ( A 3 ) > . . . > 0 rank(A) > rank(A^2) > rank(A^3) > ... > 0 rank(A)>rank(A2)>rank(A3)>...>0
这反映了幂零链的存在。
幂等矩阵
已知 A 2 = A A^2=A A2=A,请问A是否一定是由0和1组成的对角阵?
由
A
2
=
A
A^2=A
A2=A,我们可以得出A的特征值只可能取0和1,但并不能推出A是对角阵,请看下面的反例

什么是幂等矩阵?
幂等矩阵(Idempotent Matrix) 是指一个矩阵 A A A 满足:
A 2 = A . A^2 = A . A2=A.
也就是说,矩阵乘以自己一次后不发生变化。
✅ 幂等矩阵的定义
若矩阵 A A A 满足
A 2 = A A^2 = A A2=A
则称 A 是幂等矩阵(idempotent matrix)。
📌 幂等矩阵的典型例子
- 投影矩阵(projection matrix)
例如:
P = ( 1 0 0 0 ) , P 2 = P . P = \begin{pmatrix} 1 & 0 \\ 0 & 0 \end{pmatrix}, \quad P^2 = P. P=(1000),P2=P.
- 单位矩阵的子投影:
P = 1 2 ( 1 1 1 1 ) P = \frac{1}{2} \begin{pmatrix} 1 & 1 \\ 1 & 1 \end{pmatrix} P=21(1111)
⭐ 幂等矩阵的性质(非常重要)
1. 幂等矩阵的特征值只可能是 0 或 1
因为若 A v = λ v A v = \lambda v Av=λv,代入幂等条件:
A 2 v = A v ⇒ λ 2 v = λ v A^2 v = A v \Rightarrow \lambda^2 v = \lambda v A2v=Av⇒λ2v=λv
所以
λ ( λ − 1 ) = 0 ⇒ λ = 0 或 1. \lambda(\lambda - 1)=0 \Rightarrow \lambda = 0 \text{ 或 } 1. λ(λ−1)=0⇒λ=0 或 1.
2. 幂等矩阵的迹 = 特征值为 1 的个数
tr ( A ) = rank ( A ) , \operatorname{tr}(A) = \text{rank}(A), tr(A)=rank(A),
因为特征值只有 0、1。
3. 幂等矩阵一定可以相似对角化
结论先说在前面:
在通常的线性代数里(底层是域,比如 R , C \mathbb R,\mathbb C R,C),所有幂等矩阵都可以相似对角化。
并且相似于( I r 0 0 0 ) \begin{pmatrix} I_r & 0\\ 0 & 0 \end{pmatrix} (Ir000)
其中 r = rank ( A ) r = \operatorname{rank}(A) r=rank(A)。
证明思路: 极小多项式没有重根 ⇒ 一定可对角化
由于幂等矩阵满足 A 2 = A A^2 = A A2=A
所以其极小多项式 μ A ( x ) = x ( x − 1 ) \mu_A(x)= x(x-1) μA(x)=x(x−1),而 x ( x − 1 ) x(x-1) x(x−1)的两个根 0 和 1 都是单根(重数 1),没有重根。
由于线性代数的结论:
若矩阵的极小多项式拆成互不重复的一次因子乘积(没有重根),
则矩阵相似于对角矩阵,即可对角化。
所以幂等矩阵一定相似对角化。
4. 幂等矩阵的“秩 = 迹”
因为特征值只有 0 和 1,对角化后:
tr ( A ) = 1 + 1 + ⋯ + 1 = r = rank ( A ) . \operatorname{tr}(A) = 1+1+\cdots+1 = r = \operatorname{rank}(A). tr(A)=1+1+⋯+1=r=rank(A).
5. 幂等矩阵与对角阵合同
任何幂等矩阵都与对角矩阵合同:
( I r 0 0 0 ) \begin{pmatrix} I_r & 0 \\ 0 & 0 \end{pmatrix} (Ir000)
其中 r = rank ( A ) r = \operatorname{rank}(A) r=rank(A)。
🎯 一句话总结:
幂等矩阵就是进行一次和多次效果一样的矩阵,通常代表某种投影,特征值只有 0 或 1,迹等于秩。
常用二次曲面的标准方程

1921

被折叠的 条评论
为什么被折叠?



