函数的凹凸性
谈论凹凸性是不是必须要求函数可导?
不是,下面是华师数分书上关于凹凸性的定义

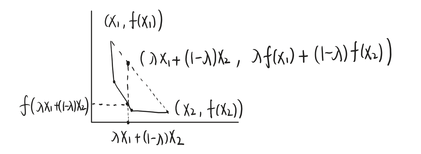
在下图中,f(x)并不是处处可导的,但是我们在函数中任意取两点,拉根线,发现函数始终在这根线下方或在这根线上,这就说明函数是一个凸函数

虽然凹凸性不能保证f(x)在对应区间内可导,但是它却能保证f(x)在区间内任意一点的左右导数都存在(只是不一定相等)


凹凸性的充要条件



凹凸性的等价论断



定义域内二阶可导的函数是凸函数的充要条件

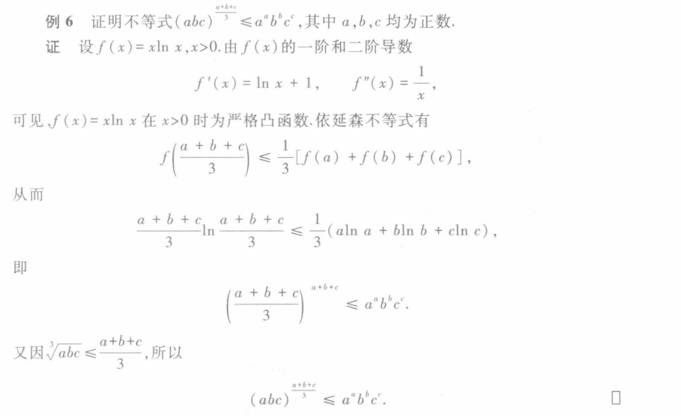
Jensen不等式




极值点与拐点
一个函数有没有可能存在这样一个点,这个点既是函数的极值点,又是函数的拐点?
对于n阶连续可导函数而言,是绝对不可能的
如果函数在这一点处不可导,那是有可能的,比如分段函数

极值的第三充分条件
对于n阶可导的函数f(x),如果f(x)在某点的前n-1阶导都为0,第n阶导不为0,则若n是偶数,则该点就是f(x)的极值点,若n为奇数,则该点就是f(x)的拐点

假如函数在某一点处不可导,则该点有没有可能是函数的拐点?有没有可能是函数的极值点?
都有可能!因为函数在该点可导并不是在该点取得极值的必要条件,可导也不是拐点的必要条件
极值点的定义:只要函数在该点的某个邻域内的函数值都没有在该点的函数值大,该点就是函数的一个极值点
拐点的定义:只要函数在该点的左右邻域内凹凸性相反(二阶导符号相反),该点就是拐点,不需要函数在该点可导,比如

下面是数分教材中给出的拐点定义

变上限积分函数是否一定可导?

变上限积分函数的可导性由被积函数的连续性决定:
- 若被积函数连续,则变上限积分函数可导;
- 若被积函数不连续(仅可积),则变上限积分函数仅连续,在被积函数的间断点处不可导。
无穷积分判敛法
| 类型 | 核心判敛法 | 适用场景 | 关键结论 |
|---|---|---|---|
| 非负函数 | 比较判别法(极限形式) | 被积函数非负,可找渐近等价函数 | 与p-积分同敛散;衰减速度足够快(p>1)则收敛 |
| 非负函数 | 比值/根值判别法 | 含指数、阶乘、幂指函数 | 比值/根值 <1 收敛,>1 发散,=1 失效 |
| 任意函数 | 绝对收敛判别法 | 可转化为非负函数积分 | 绝对积分收敛 → 原积分收敛 |
| 任意函数 | 狄利克雷/阿贝尔判别法 | 含震荡项(sin x/cos x)) | 积分有界+函数趋0(狄利克雷);积分收敛+函数有界(阿贝尔)→ 原积分收敛 |











任意一个收敛的无穷积分,是否总能找到一个p级数与之匹配?
并不是,举个反例


求解微分方程
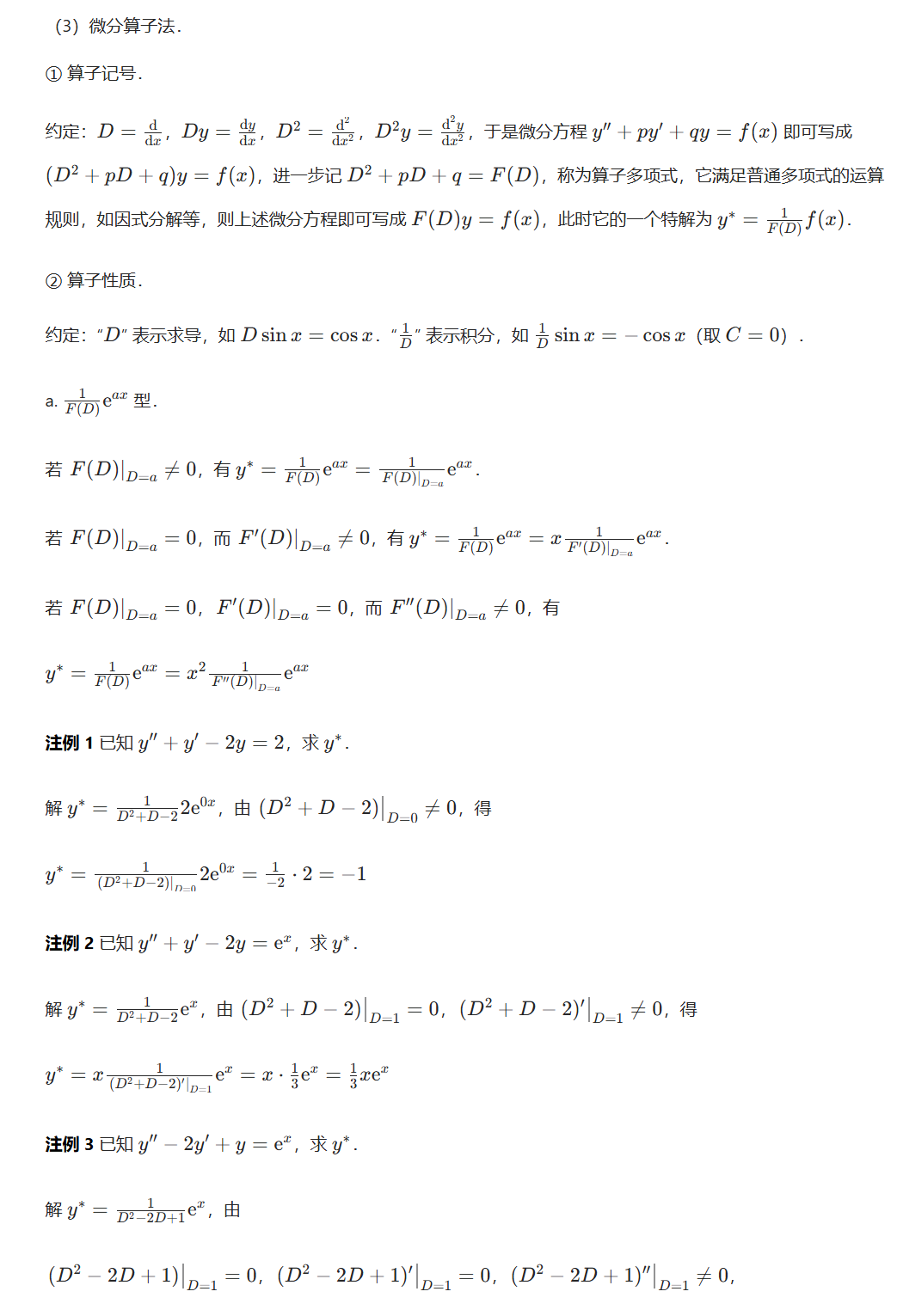
微分算子法
首先要明确 “微分算子” 的符号表示,将 “求导” 这一运算转化为 “算子符号”,建立 “微分” 与 “代数” 的桥梁。





多元函数微分学
二元函数的极限定义


累次极限与重极限之间的关系

1. 累次极限存在,并不能推出重极限存在;重极限存在,也不能推出累次极限存在;即使两个方向的累次极限都存在,它们也不一定相等
在例6中,f(x,y)的重极限是不存在的,但是f(x,y)的两个累次极限都是存在的,并且都相等

在例7中,f(x,y)的重极限是不存在的,f(x,y)的两个累次极限都是存在的,但它们并不相等

在例8中,f(x,y)的重极限是存在的,但f(x,y)的两个累次极限都是不存在的

2. 若f(x,y)在某点的重极限以及两个方向的累次极限都存在,则这三个极限值一定相等



3. 若f(x,y)在某点的两个方向的累次极限都存在,但是不相等,则f(x,y)在该点的重极限一定不存在

二元函数的连续性
二元函数连续性定义
连续性的定义其实很好理解,对于任意小的正数,我们总能在P点的邻域内找到另一个点,使得两点的函数值之差小于该正数

需要注意的是,如果P是D的孤立点,他天然是满足上面定义的,也就是说此时P也是f(x,y)关于D的连续点
而在大多数情况下,P都是D的聚点。如果P是D的聚点,那f(x,y)在P点连续就要求该点的极限值等于函数值

有界闭域上的连续函数性质


二元函数的可微性
二元函数可微的定义

二元函数偏导数的定义

一个二元函数在某点可微,能不能推出其在该点的两个偏导数存在?反过来呢?(可微的必要条件和充分条件)
偏导数存在是可微的必要条件,即可微能推偏导数存在,但是偏导数存在推不出来可微

虽然偏导数存在推不出来可微,在再加个条件(函数在该点的两个偏导数均存在且偏导函数连续)就能推了

证明过程也很简单,就是用两次中值定理

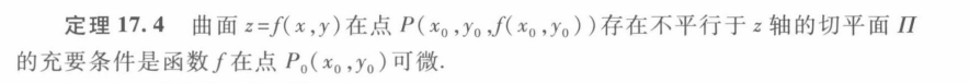
可微的几何意义
一元函数在某点可微,在几何上反映为曲线在该点存在不平行于y轴的切线,二元函数在某点可微,在几何上的反映就是:曲面在该点处存在一个不平行于z轴的切面

如果二元函数在某点可微,那我们一定能够求出曲面在该点的切平面方程,以及该切平面的法线方程

方向导数与梯度
方向导数定义

方向导数与偏导数的关系

梯度的定义

方向导数与梯度的关系

二元函数的混合偏导数在什么条件下求导次序可交换?
如果二元函数的求导次序不同的两个混合偏导数在该点都连续,那该二元函数在该点做二次混合偏导,求导次序可交换


二元函数中值定理

证明过程如下



二元函数泰勒公式

二元函数的极值问题
首先我们给出二元函数极值的定义(注意,下面定义中的点P是函数定义域内部的点,不包含定义域边界上的点)

极值点的必要条件
如果二元函数在内部某点取得极值,且在该点的偏导数存在,请问该点的偏导数是否一定是0?
没错,如果函数在该点的偏导数存在,那么偏导数为0就是该点是极值点的必要条件

反过来问,如果函数在某点处的两个偏导数不存在,请问该点有没有可能是极值点?

极值点的充分条件
前面我们说了,如果函数在该点偏导数存在,那么偏导数为0就是该点是极值点的必要条件。这说明仅仅靠两个偏导数为0,我们没法直接得出该点就是极值点,既然如此,我们还需要什么条件呢?


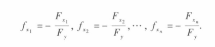
隐函数定理
隐函数定理




隐函数组定理


反函数组与坐标变换


二重积分的变量替换(二重积分换元法)

高等数学核心概念解析
1921

被折叠的 条评论
为什么被折叠?



