1. 在VGG论文中,Simonyan和Ziserman尝试了各种架构。发现深层且窄的卷积(即3×3)比 较浅层且宽的卷积更有效。
(1)参数量显著减少:3×3 卷积核的参数量远低于同感受野大尺寸卷积核。例如,两个 3×3 卷积层(共 18 个参数)的感受野等效于一个 5×5 卷积层(25 个参数),但参数量减少约 28%。若替换为 7×7 卷积,三个 3×3 卷积层(27 个参数)的感受野与 7×7 卷积(49 个参数)相同,但参数量减少 45%。这种参数压缩不仅降低了过拟合风险,还减少了存储和计算开销。
(2)计算效率提升:参数数量减少,带来了计算量的衰减。
(3)非线性表达能力的增强:同感受野下,较小的卷积核意味着卷积层更多,可以插入更多的非线性映射函数。
(4)增加了细节与层次优化:多个小卷积层的堆叠逐步扩大感受野,这种设计在保持全局语义信息的同时,通过逐层细化局部特征,避免了大卷积核对细节的模糊处理;随着层数的叠加使网络能从低级边缘特征逐步过渡到高级语义特征。
(!)1×1 卷积虽能增加线性变换,但缺乏空间上下文建模能力,导致性能逊于全 3×3 架构。
2. 在numpy创建的数据默认类型为float 64,而在pytorch创建的数据默认类型为float 32。如果在需要把numpy数据转换成torch类型时,需要手动对齐数据类型,避免因为数据类型不同而不可计算。
3. 加性注意力(Additive Attention)其分数通过类似单层感知机的结构计算,将查询和键映射到同一空间后相加,再经非线性激活和线性变换。
![]()
其分数的计算引入了非线性压缩(tanh) 和参数化映射,天然限制了分数的极端值,使得分数分布更平缓,最终权重更均匀。
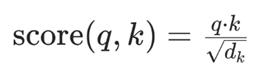
而点积注意力(Dot-Product Attention)其分数直接通过查询(q)和键(k)的点积计算(其中 dk 是键 / 查询的维度,缩放是为了缓解高维时的数值膨胀)。

点积的本质是 “向量相似度的直接度量”,其分数的数值范围受输入维度和元素分布影响较大;这种 “两极分化” 的分数分布,经过 softmax 后会被进一步放大。从而呈现出高度注意力效果。
点积注意力因计算效率更高(可通过矩阵乘法并行实现)被广泛用于 Transformer 等模型;而加性注意力的均匀性在某些场景(如需要关注多个相关元素时)可能更有优势,但计算成本更高。
1万+

被折叠的 条评论
为什么被折叠?



