1. 问题与难点

2. 关键思路(概览)

下面逐步把每一步写清楚并解释可交换性与合法性。
3. 详细推导(逐行)
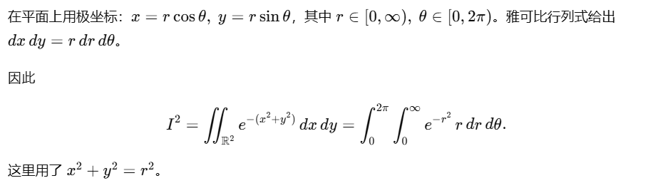
3.1 将 III 平方并写成二重积分

3.2 把二重积分改写成极坐标

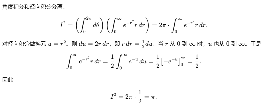
3.3 分离角度和径向积分并计算

3.4 得出结论

4. 关于交换积分与使用极坐标的严谨性说明
5. 带参数的推广:

6. 与 Gamma 函数的联系(更一般的幂次)

7. 误差函数(有限上限积分)


8. 物理与概率中的意义

9. 小结(要点回顾)



下面逐步把每一步写清楚并解释可交换性与合法性。













被折叠的 条评论
为什么被折叠?