本书以“从物理信号到可用系统”的工程视角,系统而严谨地把无线电感知、数据链检测/识别、定位与对抗防护的理论基础、算法方法和工程落地实践串联起来。全书兼顾数学推导、算法伪码、实验复现与生产级工程清单,既能作为研究生与研发工程师的教材,也能作为系统设计者与评估者的实用参考手册。
第6章 无线电指纹(RF Fingerprinting)与抗欺骗
配套源码
符号与约定
1. 假设检验与检测问题建模(对应 1.1 中安全/探测需求的数学化)
1.1 Neyman–Pearson 引理(简单假设 vs 简单假设)
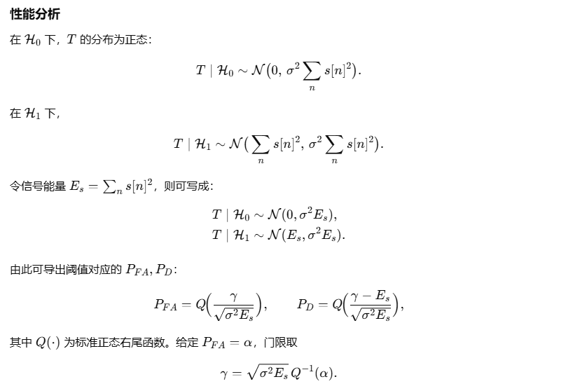
2. 似然比在高斯噪声与已知波形情形下的具体形式(匹配滤波)
3. 能量检测(当信号未知)与阈值推导(常用于谱感知 / 被动探测的基础)
4. ROC 曲线与最小可检测 SNR(应用于第1章中性能目标的量化)
5. 无线链路预算(Friis 公式的推导 —— 对应 1.1 的“现实需求/覆盖范围”数学化)
这是天线理论的基本关系(来自天线辐射与接收对偶性)。
6. 将以上理论嵌入教材/算法原理章节:教学与练习设计(对应 1.4)
7. 对上述推导中的关键假设与实际限制的讨论
在本书中不仅要给出理论推导,也应强调条件与限制:
8. 小结(对应 1.2:本书目标与读者定位 的理论化说明)
读者定位建议(用于书稿的读者引导):
-
工程实现者:侧重链路预算、算法复杂度、实时实现与优化(参照第5、13章)。
-
研究人员:侧重统计推导、算法改进、深度学习与评估(参照第3–6、10章)。
-
评估者/监管者:关注指标定义、可测性、数据集与基准(参照第11、14章)。
无线电检测理论基础解析
865

被折叠的 条评论
为什么被折叠?



