[外链图片转存失败,源站可能有防盗在这里插入!链机制,建描述]议将图片上https://传(imblog.csdnimgO/Unyr120589cd0ef5460b40aeb06d10be7d6.png8(https://img-g)]
什么是回归
我的理解:当自变量和因变量存在某种函数关系可以用来近似描述时,我们把这种行为叫做回归。而这个函数叫做回归函数。
最小二乘法是一种优化问题的想法,梯度下降法是实现这种优化想法具体的一种求解方法。
计算误差平方和最小的方法最常见的就是最小二乘法和梯度下降法:

最小二乘法介绍
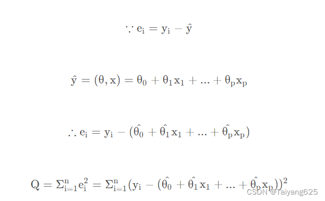
最小二乘法是一个最优化问题(optimization problem)。
最小二乘法 就是 就是求偏导,然后使偏导为0,

求解偏导数=0;
然后求解方程组,可以获得系数。
回归分析用于研究自变量与因变量之间的函数关系,而最小二乘法是寻找误差平方和最小的优化方法。该文介绍了最小二乘法的基本思想,即通过求解偏导数为0的方程来确定回归函数的系数。
2863

被折叠的 条评论
为什么被折叠?



