📖 原文论文:Deep Learning Approaches for Multimodal Intent Recognition: A Survey
🔗 论文地址:arXiv:2507.22934
✍️ 作者:Jingwei Zhao Jingwei Zhao, Yuhua Wen, Qifei Li, Minchi Hu, Yingying Zhou, Jingyao Xue, Junyang Wu, Yingming Gao, Zhengqi Wen, Jianhua Tao, Ya Li
🎉 发布时间:2025年7月
🎯 关键词:多模态学习、意图识别、深度学习、大语言模型、Transformer
一、研究背景与意义
意图识别(Intent Recognition)旨在从用户的自然交互数据(文本、语音、视觉、脑电等)中推断其潜在目标。
随着人工智能和深度学习的快速发展,意图识别在人机交互、对话系统、智能家居、医疗健康、智能驾驶 等领域发挥着越来越重要的作用。
最早的研究主要集中在单模态(unimodal)意图识别,如基于文本的意图分类。但单一模态容易受噪声、语义歧义或信息缺失影响,难以满足复杂场景需求。
因此,近年来研究逐渐转向多模态意图识别(Multimodal Intent Recognition, MIR),通过融合文本、音频、视觉、生理信号等信息来提升准确率与鲁棒性。
论文指出:Transformer 和大语言模型(LLM)的引入,为多模态意图识别带来了新的突破。

图 1:代表性方法与数据集时间线
二、论文整体结构与主要贡献
论文结构非常清晰,涵盖了:数据资源 → 单模态方法 → 多模态方法 → 评测指标 → 应用与挑战 → 未来方向。

图2:论文组织结构图
主要贡献可总结为三点:
- 系统性回顾:从早期的规则方法到深度学习,从单模态到多模态,全面梳理意图识别的发展脉络。
- 资源与评测标准:整理了大量公开数据集和常用评测指标,形成一个统一的参考框架。
- 应用与展望:总结现实应用中的挑战(如模态异质性、数据缺失、未知意图检测),并展望未来趋势。
这类综述文章的价值在于:不仅能帮助初学者快速入门,还能让研究人员更清晰地定位自己的工作在整体发展中的位置。
三、意图识别的数据资源
数据集是推动研究的重要基石。论文将意图识别任务的数据集进行了分类,并提出了一个三大类的意图分类体系:
- 情绪与态度类(Emotion & Attitude)
表达主观情感,如赞美、抱怨、拒绝。 - 目标达成类(Goal Achievement)
明确请求某种操作或服务,如预订、查询、建议。 - 信息与陈述类(Information & Declaration)
以客观描述为主,如陈述事实、说明情况。
常用数据集示例
- 文本类:
- ATIS(航班查询,早期经典)
- SNIPS(7类意图,复杂度适中)
- CLINC150(150类意图,开放域评测标杆)
- BANKING77(金融领域专用,77类意图)
- 对话类:MultiWOZ(多轮对话,跨领域)
- 语音类:SLURP(大规模语音语义理解数据集)
- 视觉类:Intentonomy(社会心理学分类,28类意图)
- 多模态类:
- MIntRec(文本+视频+音频,基于美剧 Superstore)
- IntentQA(视频问答,侧重因果与时间推理)
- MIntRec2.0(多方对话,规模更大)
- MINE(社交媒体数据,强调真实世界场景)

论文还介绍了一些工具:
- TEXTOIR:文本开放意图识别的集成可视化平台,支持未知意图的发现与聚类。 https://github.com/thuiar/TEXTOIR
- Rhino:Picovoice开发的开源语音到意图引擎,支持离线实时识别,非常适合IoT和嵌入式设备。 https://github.com/Picovoice/rhino
四、单模态意图识别方法
1. 文本意图识别
发展历程:
- 基于规则/机器学习:如 SVM、决策树,但需要大量特征工程。

图 3:机器学习的文本意图识别
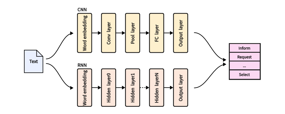
- 深度学习模型:CNN 提取局部特征,RNN 建模时序依赖。

图 4:基于CNN/RNN的文本意图识别
- Transformer & BERT:引入自注意力机制,大幅提升性能。

图 5:文本意图识别的BERT模型
- LLM 阶段:通过 Prompt + In-Context Learning 支持零样本/小样本意图识别。

图 6:基于LLM的文本意图识别模型
2. 视觉意图识别
- 从 说服性意图识别(视觉线索,如表情、动作、背景)发展到 心理学驱动的 Intentonomy 数据集。
- 新方法强调:原型学习(PIP-Net)、层次结构(LabCR)、多粒度特征(MCCL)。

图7:视觉意图识别的分类范式和基于原型的范式
3. 音频意图识别
- 传统管线:ASR + NLU,缺点是误差累积。
- 端到端 E2E:直接从语音到意图分类。
- 预训练模型:Wav2Vec、HuBERT,提升鲁棒性。
- 创新方向:零样本意图识别、语义蒸馏、跨模态对齐。

图 8:三种音频意图识别框架
4. EEG 意图识别
- EEG 主要应用在 脑机接口(BCI) 场景,如康复、辅助机器人。
- 模型发展:从 RNN/CNN 到图神经网络(G-CRAM)、Transformer(PerBCI、TSE-DA-AWS)。
- 趋势:跨主体泛化、低成本设备、与其他模态结合。
五、多模态意图识别方法
论文提出的 三阶段管道:
- 特征提取 → 文本用 BERT,语音用 Wav2Vec,视觉用 ResNet/Swin Transformer
- 多模态表示学习 → 核心环节(融合、对齐、知识增强、多任务)
- 意图分类 → Softmax / 原型对比学习 / LLM 生成

图 9:多模态意图识别的深度学习管道

图 10:MIR的基本模态融合方法
方法分类
- 融合方法:
- 特征级(早融合):细粒度,但要求模态对齐严格。
- 决策级(晚融合):独立预测再合并,鲁棒性强。
- 混合融合:兼顾两者优点。
- 对齐与解耦:
- 对齐(contrastive learning, cross-modal attention)
- 解耦(DuoDN、LVAMoE),分离共享/独有特征。
- 知识增强:
- 借助 LLM 提供推理能力(如 A-MESS、CaVIR)。
- 使用检索增强外部知识。
- 多任务协同:
- 同时优化意图与情感识别任务,提升鲁棒性。

图 11:在MIR中的单任务学习和多任务学习
六、性能评估指标
常见评测指标:
- Accuracy:整体正确率
- Precision:预测为正的准确性
- Recall:正样本的覆盖率
- F1-score:平衡指标,常用于类别不均衡场景
此外,还会结合 宏平均 / 微平均 F1,用于多类别对比。
七、应用、挑战与未来趋势
应用场景
- 智能助手(Siri、Alexa):理解用户真实需求
- 智能家居:根据意图自动执行操作
- 车载系统:辅助驾驶、提升安全性
- 医疗健康:识别患者需求,提供个性化护理
- 教育推荐:理解学习者意图,提供精准内容
研究挑战
- 多模态异质性(模态不同步、不均衡)
- 数据缺失与标注昂贵
- 开放世界意图识别(未知意图检测)
- 模型可解释性不足
未来趋势
- 更智能的 融合与对齐机制
- 融合 大模型(LLM + 多模态) 的语义推理
- 强化 零样本/小样本跨领域迁移
- 更加贴近真实世界的 场景化应用
八、总结
这篇综述非常全面,覆盖了 数据、方法、应用、挑战 的全景。
- 多模态融合的关键在于 对齐与解耦,否则容易出现“噪声放大”。
- LLM 的引入是一个新突破,可以缓解 数据稀缺与推理不足 的问题。
- 未来更值得探索的方向是 跨模态迁移 和 开放世界意图识别,这对于实际应用至关重要。
1227

被折叠的 条评论
为什么被折叠?



