python 二叉树中序遍历
最新推荐文章于 2025-10-08 15:17:33 发布
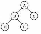
本文介绍如何使用Python列表模拟二叉树,并通过递归实现中序遍历。针对列表中存储的二叉树结构,通过判断列表长度来避免超限问题,实现中序遍历输出序列DBEAC。
本文介绍如何使用Python列表模拟二叉树,并通过递归实现中序遍历。针对列表中存储的二叉树结构,通过判断列表长度来避免超限问题,实现中序遍历输出序列DBEAC。
832
515

被折叠的 条评论
为什么被折叠?