【例】给定一个n个数的序列为:a1,a2,a3,...,ana_1,a_2,a_3,...,a_na1,a2,a3,...,an,现在询问m次ai,ai+1,...,aja_i,a_{i+1},...,a_jai,ai+1,...,aj的和。(1≤n,m≤100001 \leq n,m \leq 100001≤n,m≤10000)
解决方法:
最直接的方法就是暴力枚举,对于每次询问,使用for(k=i~j)即可计算出答案,时间复杂度为O(N),m次询问,总时间复杂度为O(MN)。
有没有更快的方法呢?
求解区间和,有一个常用的方法——前缀和。
一、前缀和
有一个数组a:a[1]、a[2]、…、a[n]。
前缀和表示数组a某个下标之前所有数的和。
sum[i]=∑t=1ia[t]sum[i]=\sum_{t=1}^i{a[t]}sum[i]=∑t=1ia[t]
例如:sum[5]=a[1]+a[2]+a[3]+a[4]+a[5]sum[5]=a[1]+a[2]+a[3]+a[4]+a[5]sum[5]=a[1]+a[2]+a[3]+a[4]+a[5]
sum[10]=a[1]+...+a[10]sum[10]=a[1]+...+a[10]sum[10]=a[1]+...+a[10]
当需要求解区间a[i]+a[i+1]+...+a[j]a[i]+a[i+1]+...+a[j]a[i]+a[i+1]+...+a[j]时,使用前缀和可以在O(1)的时间求得:
SUMSUMSUM { a[i]+a[i+1]+..a[j]a[i]+a[i+1]+..a[j]a[i]+a[i+1]+..a[j] } = sum[i]−sum[j−1]sum[i] - sum[j-1]sum[i]−sum[j−1]
注意,是**j−1j-1j−1**。
前缀和是一种预处理的手段,可以极大的降低查询区间和的时间复杂度。
二、二维前缀和
有一个二维数组a[1][1] a[n][m]a[1][1]~a[n][m]a[1][1] a[n][m],询问矩阵左下角a[x1][y1]a[x_1][y_1]a[x1][y1]到右上角a[x2][y2]a[x_2][y_2]a[x2][y2]的和。

我们仍然可以使用前缀和的方法,但是现在前缀和为sum[i][j]sum[i][j]sum[i][j],表示矩阵左下角a[1][1]a[1][1]a[1][1]到右上角a[i][j]a[i][j]a[i][j]的和。
求解矩阵左下角a[x1][y1]a[x_1][y_1]a[x1][y1]到右上角a[x2][y2]a[x_2][y_2]a[x2][y2]的和,可以观察下图:

SUM{a[x1][y1] a[x2][y2]}=sum[x2][y2]−sum[x2][y1−1]−sum[x1−1][y2]+sum[x1−1][y1−1]SUM\{a[x_1][y_1] ~ a[x_2][y_2]\}= sum[x_2][y_2] - sum[x_2][y_1-1] - sum[x_1-1][y_2] + sum[x_1-1][y_1-1]SUM{a[x1][y1] a[x2][y2]}=sum[x2][y2]−sum[x2][y1−1]−sum[x1−1][y2]+sum[x1−1][y1−1]
三、前缀和局限
可以发现前缀和的使用会预先处理,对于每次询问,可以直接进行调用,在O(1)的时间求得区间和。
但是,如果中途对序列中的元素进行修改,会影响整个前缀和,此时,将不再适用了。而对于这种区间修改,单点修改,可以使用差分。
四、差分
差分表示相邻元素的差。
预处理:
P[i]=A[i]−A[i−1],i>1P[i]=A[i]-A[i-1],i>1P[i]=A[i]−A[i−1],i>1
P[1]=A[1],i=1P[1]=A[1],i=1P[1]=A[1],i=1
差分适用于区间的修改。
现在对区间[x,y]中所有数同时增加一个数Z。实际上,对于差分序列,只有两个端点改变:
P[x]+=Z,P[y+1]−=Z。P[x]+=Z , P[y+1]-=Z。P[x]+=Z,P[y+1]−=Z。
因为对于中间的数,同时增加,同时减少,差值不变。
差分把对一个区间的操作转化为左、右两个端点的操作,区间修改的时间复杂度为O(1)。
求解修改序列的A[i]:
A[1]=P[1]
A[2]=P[1]+P[2]
A[3]=P[1]+P[2]+P[3]
…
A[n]=P[1]+P[2]+…+P[n]
因此,修改序列的A[i] = 前缀和P[i]。
可以发现,差分序列P的前缀和序列就是原序列A,前缀和序列S的差分序列也是原序列A,所以前缀和与差分是一对互逆运算。
(扩展)
加法和减法,乘法与除法,异或与异或都是一对互逆运算。
乘法与除法:
前缀积:S[i]=A[1] * … * A[i],A[i]=S[i]/S[i-1]
P[i]=A[i]/A[i-1](i>1),P[1]=A[1](i=1)
A[i]=前缀积P[i]
异或与异或:
前缀异或:S[i]=A[1]A[2]…A[i],A[i]=S[i]S[i-1]
P[i]=A[i]^A[i-1](i>1),P[1]=A[1](i=1)
A[i]=前缀异或P[i]
因此前缀和与差分不光适用于加法和减法,还适用于乘法与除法,异或与异或。
五、典型例题
【FZOJ 2956】【USACO 2016 JAN】Subsequences Summing to Sevens
【题目描述】
给你n个数,分别是a[1],a[2],…,a[n]。求一个最长的区间[x,y],使得区间中的数(a[x],a[x+1],a[x+2],…,a[y-1],a[y])的和能被7整除。输出区间长度。若没有符合要求的区间,输出0。
【输入格式】
第一行一个数n,接下来为n个数,每个数在0~1000000范围内,1 ≤\leq≤ n ≤\leq≤ 50000
【输出格式】
输出最大区间长度
【样例输入】
7
3
5
1
6
2
14
10
【样例输出】
5
【分析】
暴力的方式肯定会超时,我们对求解的问题进行分析一下:
(a[x],a[x+1],a[x+2],…,a[y-1],a[y])% 7=0
那么可以得到:
((a[1],a[2],a[3],…,a[y-1],a[y])-(a[1],a[2],…,a[x-2],a[x-1]))% 7=0
所以有:
(a[1],a[2],a[3],…,a[y-1],a[y])%7 -(a[1],a[2],…,a[x-2],a[x-1])%7=0
即:
(a[1],a[2],a[3],…,a[y-1],a[y])%7 =(a[1],a[2],…,a[x-2],a[x-1])%7
仔细观察,其实就是前缀和:
sum(y)%7=sum(x-1)%7
因此可以得到结论,如果两个前缀和sum(x)和sum(y)能被7整除,则区间[x-1,y]能被7整除。
题目要求最大区间,即求解出前缀和,找出左端第一个整除7的和右端第一个整除7的,就是最大区间。
扩展:树上差分
树有这样两个性质:
(1)树上任意两个点的路径唯一。
(2)任何子节点的父亲节点唯一.(可以认为根节点是没有父亲的,或者用0代替)
树上差分可以处理路径修改。
1.点差分
点差分可以统计每个点经过的次数。
tmp[i]tmp[i]tmp[i]:表示经过点iii和iii的祖先结点的次数。
因此,一个点的经过次数:
tmp[i]=sum(tmp[v]),v为子节点。tmp[i]=sum(tmp[v]),v为子节点。tmp[i]=sum(tmp[v]),v为子节点。
可以递归求解。
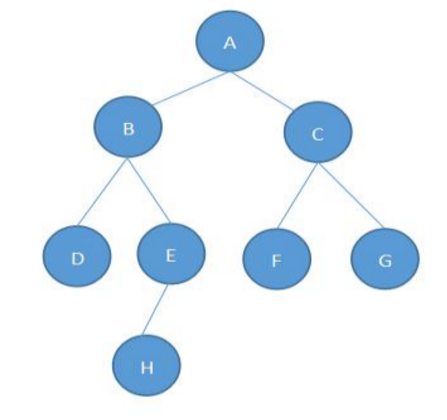
有如下这样一棵树,现在从结点D到结点H:

路径D>B->E->H-经过次数都增加1。在这里只需要修改4个结点:
tmp[D]+ +;
tmp[H]+ +;
tmp[B]- -;
tmp[A]- -;
结点D和结点H的增加效果会施加给公共祖先结点BBB,结点BBB只需要增加111,但是结点DDD和结点HHH分别给结点BBB施加了1次增加效果,共施加了2次,所有tmp[B]tmp[B]tmp[B]需要减111,BBB以上的结点不需要增加,所以tmp[A]tmp[A]tmp[A]减1,将tmp[B]tmp[B]tmp[B]上传的增加效果抵消掉。
因此,如果修改路径xxx->yyy,则:
tmp[x]++;
tmp[y]++;
tmp[lca(x,y)]- -;
tmp[f[lca(x,y)][0]]- -;//(f[u][i]表示u向上走2^i步到达的结点,f[u][0]为lca的父亲结点)
求所有点的经过次数,使用递归求解。
void dfs(int u,int father)
{
for(int i=first[u];i!=-1;i=nex[i])
{
int v=to[i];
if(v==father) continue;
dfs(v,u);
tmp[u]+=tmp[v];
}
}
2.边差分
边差分统计每条边经过的次数。
tmp[i]tmp[i]tmp[i]:表示的是iii到其父亲的边的次数和到根结点路径上的边的次数。
如上图,如果从结点D到结点H:
tmp[D]++;
tmp[H]++;
tmp[B]-=2;
结点BBB到父亲的边未经过,而DDD和HHH分别给了111次增加效果,所以减2抵消增加效果。
因此,如果修改路径x−>yx->yx−>y,只需要 :
tmp[x]++;
tmp[y]++;
tmp[lca(x,y)]-=2;
3.练习
【JLOI 2014】松鼠的新家(点差分)
【POJ 3417】暗的连锁(边差分)
本文详细介绍了前缀和与差分的概念及其在区间查询和修改中的应用,包括一维和二维前缀和,以及前缀和与差分之间的互逆关系。并通过典型例题展示了如何利用这些技巧解决问题。
944

被折叠的 条评论
为什么被折叠?



