Malmquist指数是一种用于衡量生产效率变化的指标,广泛应用于经济学、管理学等领域。它通过比较不同时间点的生产效率,分析技术进步、技术效率变化等因素对生产效率的影响。SPSSAU(在线SPSS)提供了Malmquist指数的分析功能,帮助用户轻松完成相关分析。
1. Malmquist指数原理
Malmquist指数基于数据包络分析(DEA)模型,主要包括CCR和BCC两种模型。其核心思想是通过比较不同时间点的生产效率,分解出技术进步(Technical Change, TC)和技术效率变化(Efficiency Change, EC)两个部分。
- 技术进步(TC):反映生产技术的改进,即生产前沿的移动。
- 技术效率变化(EC):反映生产单位对现有技术的利用效率,即生产单位与生产前沿的距离变化。
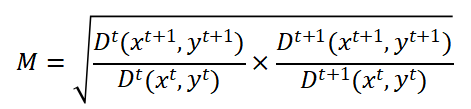
Malmquist指数的计算公式为:

其中,Dt(xt,yt)表示在t时期的技术下,生产单位在t时期的效率。
2. 案例软件操作分析
以下是一个使用SPSSAU(网页SPSS)进行Malmquist指数分析的案例操作步骤:
2.1 数据准备
确保数据为面板数据格式,即每个决策单元(DMU)在不同年份的数据。例如,有10个DMU,5年数据,则数据应为10*5=50行,且每个DMU必须有相同的5个年份数据。

2.2 操作步骤
- 上传数据:将准备好的面板数据上传至SPSSAU系统。
- 选择模型:在分析页面右侧【综合评价】模块选择【Malmquist指数】。
- 设置输入输出项:
- 将输入项(如资本、劳动力等)拖拽到“投入”框中。
- 将输出项(如产量、利润等)拖拽到“输出”框中。
- 设置DMU和年份:
- 将DMU项拖拽到“DMU”框中。
- 将年份项拖拽到“时间项”框中。
- 非负平移:如果某列数据出现小于等于0的情况,SPSSAU会自动进行非负平移处理,确保数据全部大于0。
- 开始分析:点击“开始分析”按钮,SPSSAU将自动计算Malmquist指数。
2.3 结果解读
SPSSAU输出的Malmquist指数结果包括多个表格,表格数量由年份数量决定。例如,有5年数据,则会输出4个表格,分别表示第1年->第2年、第2年->第3年、第3年->第4年、第4年->第5年的效率变化情况。
每个表格中,Malmquist指数(M)、技术进步(TC)和技术效率变化(EC)的值将分别列出。用户可以根据这些值分析生产效率的变化及其原因。
3. 案例分析
假设我们有一个包含3年数据的案例,SPSSAU将输出2个表格,分别表示2010->2011年和2011->2012年的效率变化情况。通过分析这些表格,我们可以了解生产效率的变化趋势,并进一步探讨技术进步和技术效率变化对生产效率的影响。
4. 总结
Malmquist指数是一种强大的工具,能够帮助用户深入分析生产效率的变化及其原因。通过SPSSAU(在线SPSS)的便捷操作,用户可以轻松完成Malmquist指数的分析,并获得详细的解读结果。无论是学术研究还是实际应用,Malmquist指数都能提供有价值的洞察。
1670

被折叠的 条评论
为什么被折叠?



