题面
给你一个非负整数数组 nums 和一个整数 target 。
向数组中的每个整数前添加 '+' 或 '-' ,然后串联起所有整数,可以构造一个 表达式 :
- 例如,
nums = [2, 1],可以在2之前添加'+',在1之前添加'-',然后串联起来得到表达式"+2-1"。
返回可以通过上述方法构造的、运算结果等于 target 的不同 表达式 的数目。
思路
做了一小部分动态规划题目,初步印象是其难点就在于五部曲中的第一步:
确定dp数组结构、含义以及其下标的含义。

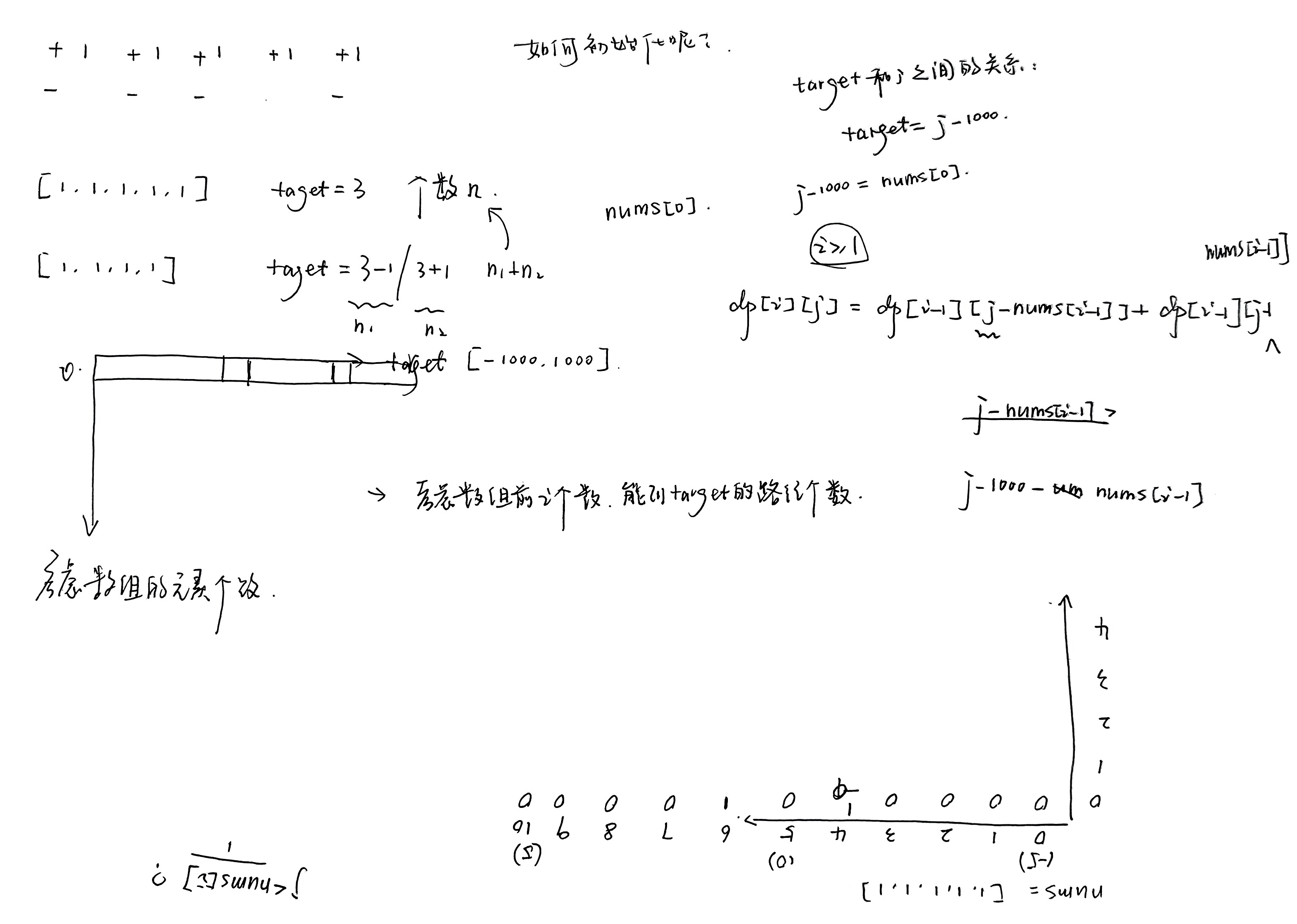
在这里我按照Carl说的,在寻找怎么样构造dp数组(aka Step1),而怎样构造dp数组也根本取决于能不能产生出一个可以递推迭代的子问题/子表达式。
我的演草纸的左上角便是这一部分的一些探索痕迹。即:target为3的前五个数的表达式个数可以表示为target为2或4的前四个数表达式个数之和。
那接下来其实怎样构造一个dp数组也不成问题了。可以看作一个0-1背包问题,构造一个二维dp数组。而之后的:如何初始化、遍历顺序的确定也就呼之欲出。
调试
其实在这一篇我真正想传达的,是Carl所说的动态规划的调试方法——举例演算。
思路的清晰设计让我在编码过程中十分顺利,但是一次编码就ac对我来说还是很困难的。有一些大大小小的问题,我都是通过实际举例去手动演算,发现我的代码逻辑和真实的算法逻辑之间的差异。
- 初始化。我最开始是将dp数组所有初始化为INT_MIN,然后对第一排(i = 0)初始化:nums[i]为正负的时候,dp值为1。这就忽略了±0皆为0的情况,后面就改成了所有初始化为0,满足条件则++。
- 边界设置。最开始设置边界为题目中规定的[-1000, 1000],后面发现最大最小也就取决于数组总和,为了控制空间大小,也做了改进。
- dp数组更新时的边界处理。最开始我直接把dp数组中超限的元素给置为0,但是调试过程中发现只需要将超限的一半边置为0即可,另一边一样是可以得来的。这也是通过实际模拟发现的逻辑失误。
题解
class Solution {
public:
int findTargetSumWays(vector<int>& nums, int target) {
int totalSum = 0;
for(int i = 0; i < nums.size(); i++){
totalSum += nums[i];
}
vector<vector<int>> dp(nums.size(), vector<int>(2 * totalSum + 1, 0));
for(int j = 0; j < dp[0].size(); j++){
if(j == totalSum - nums[0]) dp[0][j]++;
if(j == totalSum + nums[0]) dp[0][j]++;
}
for(int i = 1; i < nums.size(); i++){
for(int j = 0; j < dp[0].size(); j++){
int left, right;
if(j < nums[i]) left = 0;
else left = dp[i - 1][j - nums[i]];
if(j >= dp[0].size() - nums[i]) right = 0;
else right = dp[i - 1][j + nums[i]];
dp[i][j] = left + right;
}
}
if(target + totalSum < 0 || target + totalSum >= dp[0].size()) return 0;
return dp[nums.size() - 1][target + totalSum];
}
};
时间复杂度:O(n*totalSum),空间复杂度:O(n*totalSum)

889

被折叠的 条评论
为什么被折叠?



