支持向量机SVM(2)
前言
整理笔记大部分引用 v_JULY_v
支持向量机通俗导论(理解SVM的三层境界)
二、深入SVM
2.1 从线性可分到线性不可分
2.1.1 从原始问题到对偶问题的求解
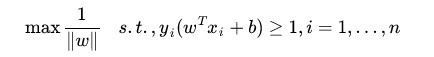
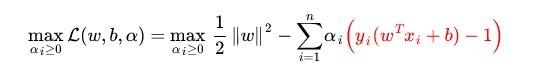
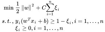
由上一篇文章可得到目标函数:

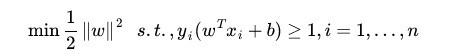
由于求
的最大值相当于求
的最小值,所以上述目标函数等价于:

因为现在的目标函数是二次的,约束条件是线性的,所以它是一个凸二次规划问题。这个问题可以用现成的QP (Quadratic Programming) 优化包进行求解。一言以蔽之:在一定的约束条件下,目标最优,损失最小。
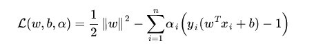
此外,由于这个问题的特殊结构,还可以通过拉格朗日对偶性(Lagrange Duality)变换到对偶变量 (dual variable) 的优化问题,即通过求解与原问题等价的对偶问题(dual problem)得到原始问题的最优解,这就是线性可分条件下支持向量机的对偶算法,这样做的优点在于:一者对偶问题往往更容易求解;二者可以自然的引入核函数,进而推广到非线性分类问题。
拉格朗日对偶性简单来讲,通过给每一个约束条件加上一个拉格朗日乘子
(Lagrange multiplier),定义拉格朗日函数(通过拉格朗日函数将约束条件融合到目标函数里去,从而只用一个函数表达式便能清楚的表达出我们的问题):

再令

容易验证,当某个约束条件不满足时,例如当
那么显然有
(只要令ai取无穷即可)。而当所有约束条件都满足时,则最优值为
亦即最初要最小化的量。实际上等价于直接最小化(α>=0,i=1,2,…,n)
则最终的目标函数为

p为问题的最优值。将最大最小符号交换后的新问题是原始问题的对偶问题,这个新问题的最优值为d,有d*<=p*,在满足一定条件下,d*=p*。即通过求解原始问题的对偶问题来间接求解原始问题。至于为什么转换,一是转换后更容易求解,二是d为p的近似解。
2.1.2 KKT条件
要让两者等价需满足strong duality (强对偶),而后有学者在强对偶下提出了KKT条件,且KKT条件的成立要满足constraint qualifications,而constraint qualifications之一就是Slater条件。所谓Slater 条件,即指:凸优化问题,如果存在一个点x,使得所有等式约束都成立,并且所有不等式约束都严格成立(即取严格不等号,而非等号),则满足Slater 条件。对于此处,Slater 条件成立,所以d≤p可以取等号。
也就是说,原始问题通过满足KKT条件,已经转化成了对偶问题。而求解这个对偶学习问题,分为3个步骤:首先要让L(w,b,a) 关于 w 和 b 最小化,然后求对的极大,最后利用SMO算法求解对偶问题中的拉格朗日乘子。
2.1.3 对偶问题求解三个步骤
2.1.4 线性不可分的情况
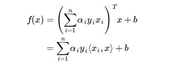
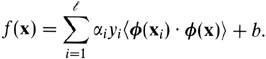
由前面推导得到
因此分类函数为:
这里的形式的有趣之处在于,对于新点 x的预测,只需要计算它与训练数据点的内积即可,这一点至关重要,是之后使用 Kernel 进行非线性推广的基本前提。此外,所谓 Supporting Vector 也在这里显示出来——事实上,所有非Supporting Vector 所对应的系数α都是等于零的,因此对于新点的内积计算实际上只要针对少量的“支持向量”而不是所有的训练数据即可。(支持向量红色部分为0,非支持向量为满足最大化α且大于等于0,故只能为0)这也就是这些非Supporting Vector 的点的局限性。

至此,我们便得到了一个maximum margin hyper plane classifier,这就是所谓的支持向量机(Support Vector Machine)。当然,到目前为止,我们的 SVM 还比较弱,只能处理线性的情况,不过,在得到了对偶dual 形式之后,通过 Kernel 推广到非线性的情况就变成了一件非常容易的事情了。通过求解对偶问题得到最优解,这就是线性可分条件下支持向量机的对偶算法,这样做的优点在于:一者对偶问题往往更容易求解;二者可以自然的引入核函数,进而推广到非线性分类问题。
2.2 核函数Kernel
2.2.1 特征空间的隐式映射:核函数
事实上,大部分时候数据并不是线性可分的,这个时候满足这样条件的超平面就根本不存在。在上文中,我们已经了解到了SVM处理线性可分的情况,那对于非线性的数据SVM咋处理呢?对于非线性的情况,SVM 的处理方法是选择一个核函数 κ(⋅,⋅) ,通过将数据映射到高维空间,来解决在原始空间中线性不可分的问题。
具体来说,在线性不可分的情况下,支持向量机首先在低维空间中完成计算,然后通过核函数将输入空间映射到高维特征空间,最终在高维特征空间中构造出最优分离超平面,从而把平面上本身不好分的非线性数据分开。如图所示,一堆数据在二维空间无法划分,从而映射到三维空间里划分:
而在我们遇到核函数之前,如果用原始的方法,那么在用线性学习器学习一个非线性关系,需要选择一个非线性特征集,并且将数据写成新的表达形式,这等价于应用一个固定的非线性映射,将数据映射到特征空间,在特征空间中使用线性学习器,因此,考虑的假设集是这种类型的函数:
这里ϕ:X->F是从输入空间到某个特征空间的映射,这意味着建立非线性学习器分为两步:
1.首先使用一个非线性映射将数据变换到一个特征空间F,
2.然后在特征空间使用线性学习器分类。
而由于对偶形式就是线性学习器的一个重要性质,这意味着假设可以表达为训练点的线性组合,因此决策规则可以用测试点和训练点的内积来表示:
如果有一种方式可以在特征空间中直接计算内积〈φ(xi · φ(x)〉,就像在原始输入点的函数中一样,就有可能将两个步骤融合到一起建立一个非线性的学习器,这样直接计算法的方法称为核函数方法:
核是一个函数K,对所有x,z(-X,满足
这里φ是从X到内积特征空间F的映射。
2.2.2 核函数:如何处理非线性数据
如果直接映射到高维空间中,然后再根据内积的公式进行计算,则新的空间维度是呈指数级爆炸式增长的;
而另一个采用Kernel则直接在原来的低维空间中进行计算,而不需要显式地写出映射后的结果。
我们把这里的计算两个向量在隐式映射过后的空间中的内积的函数叫做核函数 (Kernel Function) 。
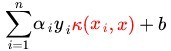
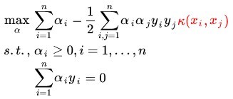
核函数能简化映射空间中的内积运算——刚好“碰巧”的是,在我们的 SVM 里需要计算的地方数据向量总是以内积的形式出现的。对比刚才我们上面写出来的式子,现在我们的分类函数为:
其中 α 由如下 dual 问题计算而得:

2.2.3 几个常用核函数
常人们会从一些常用的核函数中选择(根据问题和数据的不同,选择不同的参数,实际上就是得到了不同的核函数),例如:
1.多项式核

显然刚才我们举的例子是这里多项式核的一个特例(R = 1,d = 2)。
2.高斯核

这个核就是最开始提到过的会将原始空间映射为无穷维空间的那个家伙。不过,如果σ选得很大的话,高次特征上的权重实际上衰减得非常快,所以实际上(数值上近似一下)相当于一个低维的子空间;反过来,如果σ选得很小,则可以将任意的数据映射为线性可分——当然,这并不一定是好事,因为随之而来的可能是非常严重的过拟合问题。不过,总的来说,通过调控参数,高斯核实际上具有相当高的灵活性,也是使用最广泛的核函数之一。下图所示的例子便是把低维线性不可分的数据通过高斯核函数映射到了高维空间:

3.线性核
线性核,
这实际上就是原始空间中的内积。这个核存在的主要目的是使得“映射后空间中的问题”和“映射前空间中的问题”两者在形式上统一起来了(意思是说,咱们有的时候,写代码,或写公式的时候,只要写个模板或通用表达式,然后再代入不同的核,便可以了,于此,便在形式上统一了起来,不用再分别写一个线性的,和一个非线性的)。
2.2.4 核函数的本质
1.实际中,我们会经常遇到线性不可分的样例,此时,我们的常用做法是把样例特征映射到高维空间中去(如上文2.2节最开始的那幅图所示,映射到高维空间后,相关特征便被分开了,也就达到了分类的目的);
2.但进一步,如果凡是遇到线性不可分的样例,一律映射到高维空间,那么这个维度大小是会高到可怕的;
3.核函数的价值在于它虽然也是将特征进行从低维到高维的转换,但核函数它可以事先在低维上进行计算,而将实质上的分类效果表现在了高维上,也就如上文所说的避免了直接在高维空间中的复杂计算。
最后引用这里的一个例子举例说明下核函数解决非线性问题的直观效果。假设现在你是一个农场主,圈养了一批牛群,但为预防狼群袭击牛群,你需要搭建一个篱笆来把牛群围起来。但是篱笆应该建在哪里呢?你很可能需要依据牛群和狼群的位置建立一个“分类器”,比较下图这几种不同的分类器,我们可以看到SVM完成了一个很完美的解决方案。

这个例子从侧面简单说明了SVM使用非线性分类器的优势,而逻辑模式以及决策树模式都是使用了直线方法。
2.3 使用松弛变量处理outliers方法
在本文第一节最开始讨论支持向量机的时候,我们就假定,数据是线性可分的,亦即我们可以找到一个可行的超平面将数据完全分开。后来为了处理非线性数据,在上文2.2节使用 Kernel 方法对原来的线性 SVM 进行了推广,使得非线性的的情况也能处理。虽然通过映射将原始数据映射到高维空间之后,能够线性分隔的概率大大增加,但是对于某些情况还是很难处理。
例如可能并不是因为数据本身是非线性结构的,而只是因为数据有噪音。对于这种偏离正常位置很远的数据点,我们称之为 outlier ,在我们原来的 SVM 模型里,outlier 的存在有可能造成很大的影响,因为超平面本身就是只有少数几个 support vector 组成的,如果这些 support vector 里又存在 outlier 的话,其影响就很大了。例如下图:

用黑圈圈起来的那个蓝点是一个 outlier ,它偏离了自己原本所应该在的那个半空间,如果直接忽略掉它的话,原来的分隔超平面还是挺好的,但是由于这个 outlier 的出现,导致分隔超平面不得不被挤歪了,变成途中黑色虚线所示(这只是一个示意图,并没有严格计算精确坐标),同时 margin 也相应变小了。当然,更严重的情况是,如果这个 outlier 再往右上移动一些距离的话,我们将无法构造出能将数据分开的超平面来。
为了处理这种情况,SVM 允许数据点在一定程度上偏离一下超平面。例如上图中,黑色实线所对应的距离,就是该 outlier 偏离的距离,如果把它移动回来,就刚好落在原来的 超平面 蓝色间隔边界上,而不会使得超平面发生变形了。
我们,原来的约束条件为:
现在考虑到outlier问题,约束条件变成了:

其中
称为松弛变量 (slack variable) ,对应数据点xi允许偏离的 functional margin 的量。当然,如果我们允许
任意大的话,那任意的超平面都是符合条件的了。所以,我们在原来的目标函数后面加上一项,使得这些ξi 的总和也要最小:

C是一个控制目标函数中的一个权重,在寻找margin最大的超平面和保证数据点偏差最小之间权衡,是事先确定好的常量。

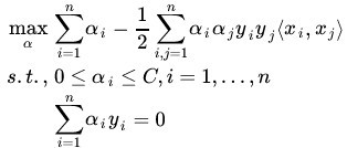
经前文相同的分析可得,dual问题可以写作


可以看到唯一的区别就是现在 dual variable α 多了一个上限 C 。
行文至此,可以做个小结,不准确的说,SVM它本质上即是一个分类方法,用w^T+b 定义分类函数,于是求w、b,为寻最大间隔,引出1/2||w||^2,继而引入拉格朗日因子,化为对拉格朗日乘子a的求解(求解过程中会涉及到一系列最优化或凸二次规划等问题),如此,求w.b与求a等价,而a的求解可以用一种快速学习算法SMO,至于核函数,是为处理非线性情况,若直接映射到高维计算恐维度爆炸,故在低维计算,等效高维表现。
290

被折叠的 条评论
为什么被折叠?



