支持向量机SVM(1)
前言
整理笔记大部分引用 v_JULY_v
支持向量机通俗导论(理解SVM的三层境界)
一、了解SVM
1.1分类标准的起源:Logistic回归
给定一些数据点,它们分别属于两个不同的类,现在要找到一个线性分类器把这些数据分成两类。如果用x表示数据点,用y表示类别(y可以取1或者-1,分别代表两个不同的类),一个线性分类器的学习目标便是要在n维的数据空间中找到一个超平面(hyper plane)。超平面的方程可以表示为(w 是垂直于超平面的一个向量,定义为法向量,而w^T中的T代表转置):

一维直线空间上的超平面是数轴上的一个点,二维平面空间上的超平面是一条线,三维空间里的超平面是一个面。以此类推。
而y取1或-1的分类标准起源于logistic回归。
Logistic回归目的是从特征学习出一个0/1分类模型,而这个模型是将特性的线性组合作为自变量,由于自变量的取值范围是负无穷到正无穷。因此,使用logistic函数(或称作sigmoid函数)将自变量映射到(0,1)上,映射后的值被认为是属于y=1的概率。
假设函数

其中x是n维特征向量,函数g就是logistic函数。
而
的函数图像为

可以看到,将无穷映射到了(0,1)。而假设函数就是特征属于y=1的概率。

从而,当我们要判别一个新来的特征属于哪个类时,只需求
即可,若大于0.5就是y=1的类,反之属于y=0类。Logistic回归就是要学习得到θ ,使得正例的特征远大于0,负例的特征远小于0,而且要在全部训练实例上达到这个目标。

然后即可做以下映射关系

1.2线性分类的一个例子
如下图所示,现在有一个二维平面,平面上有两种不同的数据,分别用圈和叉表示。由于这些数据是线性可分的,所以可以用一条直线将这两类数据分开,这条直线就相当于一个超平面,超平面一边的数据点所对应的y全是-1 ,另一边所对应的y全是1。

这个超平面可以用分类函数

表示,当f(x) 等于0的时候,x便是位于超平面上的点,而f(x)大于0的点对应 y=1 的数据点,f(x)小于0的点对应y=-1的点,如下图所示:

在进行分类的时候,遇到一个新的数据点x,将x代入f(x) 中,如果f(x)小于0则将x的类别赋为-1,如果f(x)大于0则将x的类别赋为1。
从直观上而言,这个超平面应该是最适合分开两类数据的直线。而判定“最适合”的标准就是这条直线离直线两边的数据的间隔最大。所以,得寻找有着最大间隔的超平面。超平面由此确定。
1.3函数间隔与几何间隔(Functional margin & Geometrical margin)
在超平面wx+b=0确定的情况下,|wx+b|能够表示点x到距离超平面的远近(函数间隔),而通过观察wx+b的符号与类标记y的符号是否一致可判断分类是否正确,所以,可以用(y(w*x+b))的正负性来判定或表示分类的正确性(结果为正则正确)。于此,我们便引出了函数间隔(functional margin)的概念。
定义函数间隔为:

而超平面(w,b)关于T中所有样本点(xi,yi)的函数间隔最小值(其中,x是特征,y是结果标签,i表示第i个样本),便为超平面(w, b)关于训练数据集T的函数间隔:

但这样定义的函数间隔有问题,即如果成比例的改变w和b(如将它们改成2w和2b),则函数间隔的值f(x)却变成了原来的2倍(虽然此时超平面没有改变),所以只有函数间隔还远远不够。事实上,我们可以对法向量w加些约束条件,从而引出真正定义点到超平面的距离–几何间隔(geometrical margin)的概念。

可由三维空间引申,几何间隔就等于函数间隔在超平面法向量上的投影间隔:

从上述函数间隔和几何间隔的定义可以看出:几何间隔就是函数间隔除以||w||,而且函数间隔y*(wx+b) = y*f(x)实际上就是|f(x)|,只是人为定义的一个间隔度量,而几何间隔|f(x)|/||w||才是直观上的点到超平面的距离。其中||w||为w的二阶范数(范数是一个类似于模的表示长度的概念)。
1.4最大间隔分类器(Maximum Margin Classifier)
对一个数据点进行分类,当超平面离数据点的“间隔”越大,分类的确信度(confidence)也越大。所以,为了使得分类的确信度尽量高,需要让所选择的超平面能够最大化这个“间隔”值。这个间隔就是下图中的Gap的一半。

通过由前面的分析可知:函数间隔不适合用来最大化间隔值,而几何间隔在缩放w和b的时候值是不会改变的,它只随着超平面的变动而变动,因此,这是更加合适的一个间隔。换言之,这里要找的最大间隔分类超平面中的“间隔”指的是几何间隔。
几何间隔的定义为:

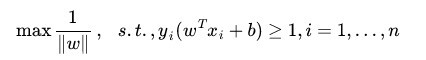
令函数间隔等于1,以方便推倒和优化,目标函数转化为

相当于在相应的约束条件下,最大化这个1/||w||值,即几何间隔。
如下图所示,中间的实线便是寻找到的最优超平面(Optimal Hyper Plane),其到两条虚线边界的距离相等,这个距离便是几何间隔,两条虚线间隔边界之间的距离等于2倍几何间隔,而虚线间隔边界上的点则是支持向量。由于这些支持向量刚好在虚线间隔边界上,所以它们满足
而对于所有不是支持向量的点,则显然有

2124

被折叠的 条评论
为什么被折叠?



