目录

VCU扭矩有非常多的输入来源,那么到底该输出哪一个扭矩请求呢?这就涉及到扭矩控制的第二个部分,扭矩仲裁。
1、功率限制
电池能够提供的最大功率决定了电机在特定转速下可能输出的扭矩上限,所以通常会计算出一个最大可用功率,根据BMS传递的电流和电压信号计算出非充电时的最大可用功率、能量回收功率。
非充电时的最大可用功率➖DCDC功率➖行车附件功率=最大行车功率
能量回收功率➕DCDC功率➖回收附件功率=最大回收功率
1.1、行车最大扭矩的计算
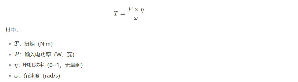
最大行车功率有了,怎么计算最大行车功率下的最大输出扭矩呢?
首先看一下扭矩、功率、电机效率和角速度的原始公式:

在实际情况下,转速更好获取,角速度和转速的转换如下:

所以得到的公式就是

1.2、回收最大扭矩的计算
能量回收和行车扭矩计算逻辑不一样,因为此时的能量流动方向是:
![]()
此时电机作为发电机,其效率 η表示 机械能→电能的转换效率

所以回收最大扭矩的计算公式如下:

2、档位限制
不同档位输出的扭矩要求也不同。
2.1、不同档位的输出
当档位处于N挡时,输出扭矩为0
D挡:
驱动时,电机输出正向扭矩(定义为正),车辆加速前进
回收时,电机输出反向扭矩(定义为负),表现为制动力
R挡:
驱动时,电机输出反向扭矩(定义为负),车辆加速前进
回收时,电机输出正向扭矩(定义为正),表现为制动力
2.2、限速扭矩
无论是R挡还是D挡,都会有限速控制,限速控制一般使用PI调节

Kp和Ki可以是固定值,也可以是Map表,具体需要看项目需求。
2.3、不同工况的优先级
最大行车扭矩、限速扭矩>能量回收扭矩>蠕行扭矩、油门踏板扭矩
2.4、扭矩滤波
从D挡切换到R挡,或者R挡切换到D挡时,输出的目标扭矩会产生突变,输出会有较强的顿挫感,需要对扭矩进行滤波
将上一时的输出扭矩作为当前扭矩,期望输出的扭矩作为目标扭矩,进行滤波,减小顿挫感。
1364

被折叠的 条评论
为什么被折叠?



