✅作者简介:热爱科研的Matlab仿真开发者,擅长数据处理、建模仿真、程序设计、完整代码获取、论文复现及科研仿真。
🍎 往期回顾关注个人主页:Matlab科研工作室
🍊个人信条:格物致知,完整Matlab代码及仿真咨询内容私信。
🔥 内容介绍
在当今科技飞速发展的时代,信号处理作为众多领域的关键技术,对于从复杂信号中提取有价值信息起着至关重要的作用。非平稳信号广泛存在于自然界和各种工程应用中,如雷达、声纳、通信、生物医学、机械振动等领域。有效分析和处理这些非平稳信号,提取其内在结构和特征,对于深入理解信号的产生机制、实现精确控制和优化决策具有重要意义。
线性调频(Linear Frequency Modulation, LFM)信号,又称 Chirp 信号,是一种频率随时间线性变化的典型非平稳信号。其在众多领域有着广泛的应用,例如在雷达系统中,LFM 信号常用于目标检测与测距,通过发射和接收 LFM 信号,利用其线性调频特性可以精确测量目标的距离和速度;在声纳系统中,LFM 信号可用于水下目标探测和定位,其良好的抗干扰性能有助于在复杂的水下环境中准确识别目标;在通信领域,LFM 信号也被应用于扩频通信等技术中,提高通信系统的可靠性和抗噪声能力。许多复杂的非平稳信号可以被看作是多个 LFM 成分的叠加,因此,对 LFM 信号的分解与重构成为了信号处理领域的研究热点。
传统的信号分解方法,如傅里叶变换、小波变换等,在处理高度非线性、时变特性显著的信号时存在一定的局限性。傅里叶变换基于信号的平稳性假设,将信号分解为不同频率的正弦和余弦波的叠加,然而对于非平稳信号,其频谱会随时间变化,傅里叶变换无法准确反映信号的时变特性。小波变换虽然在一定程度上能够处理非平稳信号,通过选择合适的小波基函数对信号进行多分辨率分析,但它仍然依赖于预先选定的小波基,缺乏对信号的自适应性。当面对复杂多变的实际信号时,这些传统方法往往难以准确提取信号的特征,导致分解精度和效率无法满足实际需求。
近年来,随着数据量的快速增长和计算能力的不断提升,数据驱动的自适应信号分解方法应运而生,并受到了越来越多的关注。这类方法的优势在于无需预先假设信号模型,能够直接从大量的实际信号数据中挖掘信号的内在特征和规律,通过自适应算法自动调整模型参数,以适应不同信号的特点,从而实现更精准、高效的信号分解。数据驱动的自适应线性调频模式分解研究具有重要的理论意义和实际应用价值,它为解决复杂非平稳信号的处理问题提供了新的思路和方法,有望推动相关领域的技术发展和创新。
二、LFM 模式分解的意义与挑战
2.1 LFM 模式分解的意义
LFM 模式分解旨在将一个复杂的信号分解成若干个具有不同 LFM 特性的分量,每个分量都对应着信号中一个特定的频率变化模式。这种分解方式为信号分析和处理带来了诸多重要意义。
- 特征提取:通过将信号分解为不同的 LFM 分量,可以精确提取信号的瞬时频率、调频斜率等关键参数。这些参数能够深入反映信号的本质特征,为模式识别和分类提供了极为有效的信息。例如在机械故障诊断中,不同类型的故障所产生的振动信号往往具有特定的 LFM 特征,通过提取这些特征参数,可以准确判断设备的运行状态和故障类型。
- 噪声抑制:一些噪声信号也可能呈现出 LFM 特性,通过对信号进行 LFM 模式分解,可以有效地将噪声分量与目标信号分量分离,从而实现信号的降噪。在实际应用中,如通信信号传输过程中,会受到各种噪声的干扰,采用 LFM 模式分解技术能够去除噪声,提高信号的质量和可靠性。
- 故障诊断:在机械振动信号分析领域,LFM 模式分解发挥着重要作用。机械设备在运行过程中,由于轴承故障、齿轮啮合异常等原因会产生具有特定 LFM 特性的振动信号。通过对这些振动信号进行 LFM 模式分解,提取相应的 LFM 分量,可以实现对设备状态的实时监测和故障诊断。例如,当轴承出现故障时,其振动信号中会包含特定频率和调频斜率的 LFM 成分,通过检测这些成分的变化,能够及时发现轴承故障并采取相应的维修措施,避免设备进一步损坏。
- 信号重构:通过对分解后的 LFM 分量进行重构,可以得到原信号的近似表示。这一过程在信号压缩、编码以及数据传输等方面具有重要意义。在信号压缩中,根据信号的 LFM 特征,可以对信号进行有效的压缩编码,减少数据量,提高数据传输效率;在数据传输过程中,即使部分数据丢失,也可以通过重构算法利用已传输的 LFM 分量信息恢复出近似的原始信号,保证数据的完整性和准确性。
2.2 LFM 模式分解面临的挑战
尽管 LFM 模式分解具有重要意义,但在实际应用中实现高效、准确的 LFM 模式分解面临着诸多严峻挑战。
- 信号非线性:实际信号往往具有高度非线性特性,其频率变化规律并非简单的线性关系,而是呈现出复杂的非线性变化。这种非线性使得简单的线性模型难以准确描述信号的真实结构,从而导致 LFM 模式分解的精度大幅下降。例如在生物医学信号中,如心电图、脑电图等信号,受到人体生理系统复杂非线性机制的影响,其信号特征具有很强的非线性,给 LFM 模式分解带来了极大的困难。
- 模式数量不确定:在很多情况下,我们无法预先确切知道信号中包含的 LFM 分量个数。这就需要一种能够自动、准确确定模式数量的方法。然而,目前大多数分解算法在面对模式数量未知的信号时,往往难以给出准确的分解结果。例如在多径传播的通信信号中,由于传播路径的复杂性,信号中包含的 LFM 分量数量不确定,传统的分解算法可能会出现过分解或欠分解的情况,影响后续信号处理的准确性。
- 分量混叠:当信号中存在频率相近、时域重叠的 LFM 分量时,分解算法极易发生分量混叠现象。即分解得到的结果中,不同 LFM 分量的特征相互混淆,无法准确区分各个分量,导致分解结果严重不准确。在实际的机械振动信号中,由于多个部件同时工作,不同部件产生的振动信号可能在频率和时域上存在重叠,使得 LFM 模式分解时容易出现分量混叠问题,给故障诊断带来干扰。
- 计算复杂度:一些传统的 LFM 模式分解方法,例如基于时频分析的方法,需要进行大量的复杂计算,计算复杂度较高。这使得在实时性要求较高的应用场景中,这些方法难以满足实际需求。例如在高速通信系统中,需要对大量的实时信号进行快速处理,如果采用计算复杂度高的 LFM 模式分解方法,会导致信号处理延迟,影响通信质量和系统性能。
三、数据驱动的 LFM 模式分解方法
为了克服上述挑战,研究者们积极探索并提出了多种数据驱动的自适应 LFM 模式分解方法。这些方法摆脱了对预先假设信号模型的依赖,而是直接通过信号数据本身驱动算法的迭代过程,从而能够自适应地提取信号的 LFM 特征。以下详细介绍几种具有代表性的方法。
3.1 经验模态分解 (Empirical Mode Decomposition, EMD)
EMD 是一种完全基于数据驱动的自适应信号分解方法,其核心思想是将复杂信号分解成一系列本征模态函数 (Intrinsic Mode Function, IMF)。IMF 应满足两个条件:一是在整个数据长度内,极值点的数量与过零点的数量必须相等或最多相差一个;二是在任何时刻,由局部极大值点构成的上包络线和由局部极小值点构成的下包络线的平均值为零。虽然 EMD 并非专门针对 LFM 信号设计,但由于 LFM 信号本身具有类似于 IMF 的一些特性,在一定程度上可以用于 LFM 模式分解。
具体分解过程中,首先通过三次样条插值分别确定信号的上包络线和下包络线,计算上下包络线的均值得到一条平均包络线,将原信号减去平均包络线得到一个新的信号。然后对新信号重复上述过程,直到满足 IMF 的条件,得到第一个 IMF 分量。将原信号减去第一个 IMF 分量,对剩余信号继续进行分解,依次得到各个 IMF 分量。
然而,传统的 EMD 方法存在一些严重的问题,限制了其在 LFM 模式分解中的广泛应用。其中最突出的问题是端点效应,由于在确定包络线时,端点处的数据缺乏足够的信息支撑,导致在端点附近产生较大的波动,影响分解结果的准确性。另一个问题是模态混叠,当信号中存在多个尺度差异较大的特征或噪声干扰时,一个 IMF 分量可能包含不同频率尺度的信号成分,或者一个频率尺度的信号成分被分散到多个 IMF 分量中,使得分解结果难以准确反映信号的真实特征。
为了解决这些问题,研究者们提出了多种改进的 EMD 方法。例如集合经验模态分解 (Ensemble Empirical Mode Decomposition, EEMD),其基本思想是在原始信号中加入不同的白噪声序列,然后对加入噪声后的多个信号分别进行 EMD 分解,最后将多次分解得到的对应 IMF 分量进行平均。由于白噪声具有均匀分布的频谱特性,加入白噪声后可以有效地改善信号在不同尺度上的分布,使得分解过程更加稳定,从而抑制模态混叠现象。互补集合经验模态分解 (Complementary Ensemble Empirical Mode Decomposition, CEEMD) 是在 EEMD 的基础上进一步改进,通过同时加入正负成对的白噪声序列,使得最终分解结果中噪声的影响相互抵消,进一步提高了分解的精度和稳定性。
3.2 变分模态分解 (Variational Mode Decomposition, VMD)
VMD 是一种基于变分理论的自适应信号分解方法,它将信号分解问题巧妙地转化为一个约束变分问题。该方法预先设定模态个数 K,通过迭代求解变分问题来确定每个模态分量的中心频率和带宽,从而将信号分解为 K 个具有不同中心频率和带宽的模态分量。
具体实现过程中,首先构建一个变分模型,该模型包含信号保真项和各个模态分量的带宽约束项。通过引入拉格朗日乘子将约束变分问题转化为无约束变分问题,然后利用交替方向乘子法(ADMM)对变分模型进行迭代求解。在每次迭代中,固定其他模态分量,更新当前模态分量的参数,直到满足收敛条件。
与 EMD 相比,VMD 具有更强的理论基础和更稳定的分解性能。由于其基于变分原理,通过优化变分模型来确定模态分量,能够有效地抑制模态混叠现象,分解结果更加准确可靠。然而,在处理 LFM 信号时,VMD 也存在一些不足之处。例如,其预先设定的模态个数 K 需要根据经验或额外的判断准则来确定,如果 K 设置不合理,会影响分解效果。此外,VMD 在初始化参数时,对一些参数的选择较为敏感,不同的参数设置可能会导致不同的分解结果。
为了适应 LFM 信号的特点,一些研究者将 VMD 与时频分析方法相结合,提出了基于时频引导的 VMD 方法。该方法利用时频分析结果,如短时傅里叶变换(STFT)、小波变换等得到的时频图,来估计信号中 LFM 分量的大致中心频率和带宽范围,从而初始化 VMD 的参数。通过这种方式,可以充分利用时频分析对信号时变特性的刻画能力,提高 VMD 对 LFM 信号的分解精度,使其更适合处理复杂的 LFM 信号。
3.3 稀疏表示 (Sparse Representation)
稀疏表示是一种基于过完备字典的信号表示方法,其基本思想是利用少数几个基向量来线性表示信号,使得信号在该表示下具有稀疏性。在 LFM 模式分解中,可以构建一个包含各种 LFM 基函数的过完备字典,该字典中的基函数具有不同的调频斜率、起始频率和终止频率等参数,以覆盖各种可能的 LFM 信号特征。然后,通过稀疏编码算法,在这个过完备字典中寻找最能稀疏表示输入信号的基向量组合,将信号表示为这些 LFM 基函数的线性组合,从而实现对信号的 LFM 模式分解。
稀疏表示方法具有较强的抗噪声能力,由于其通过寻找稀疏解来表示信号,在一定程度上能够抑制噪声的干扰,提取出信号的真实 LFM 特征。然而,该方法也存在一些问题。首先,其计算复杂度较高,在过完备字典中搜索最优的基向量组合需要进行大量的计算,尤其是当字典规模较大时,计算量呈指数级增长,这限制了其在实时性要求较高的场景中的应用。其次,字典的设计对分解结果影响较大,如果字典中的基函数不能很好地匹配信号的 LFM 特征,会导致分解精度下降。因此,如何设计高效、准确的过完备字典以及降低稀疏编码算法的计算复杂度是稀疏表示方法在 LFM 模式分解中需要解决的关键问题。
3.4 基于深度学习的方法
近年来,深度学习技术凭借其强大的特征学习和数据处理能力,在信号处理领域取得了显著的进展。一些研究者尝试利用深度学习方法来进行 LFM 模式分解,并取得了一定的成果。例如,利用卷积神经网络 (Convolutional Neural Network, CNN) 学习信号的 LFM 特征。CNN 通过构建多层卷积层和池化层,能够自动提取信号中的局部特征和全局特征,对 LFM 信号的时频特征具有很强的学习能力。然后,利用循环神经网络 (Recurrent Neural Network, RNN) 对 LFM 分量进行建模。RNN 具有记忆功能,能够处理时间序列数据,适合对 LFM 信号的动态变化特性进行建模。通过将 CNN 和 RNN 相结合,可以实现对复杂 LFM 信号的有效分解。
基于深度学习的方法具有较强的适应性和泛化能力,能够自动学习信号的复杂特征,在处理大量不同类型的 LFM 信号时表现出良好的性能。然而,该方法也存在一些局限性。一方面,深度学习方法需要大量的训练数据来训练模型,以保证模型的准确性和泛化能力。而获取大量高质量的 LFM 信号数据往往需要耗费大量的时间和资源,并且在某些实际应用场景中,数据的获取可能受到各种限制。另一方面,深度学习模型的结构复杂,其内部的参数和运算过程难以直观理解,模型的解释性较差。这在一些对结果解释性要求较高的领域,如医疗诊断、故障诊断等,可能会影响其应用效果。
四、关键技术与发展趋势
数据驱动的自适应 LFM 模式分解研究涉及到多个关键技术,这些技术相互关联、相互影响,共同决定了分解方法的性能和效果。同时,随着科技的不断发展和应用需求的不断提高,该领域也呈现出一些新的发展趋势。
4.1 关键技术
- 信号预处理:信号预处理是 LFM 模式分解的重要前置环节,其目的是消除信号中的噪声、趋势项等干扰因素,提高信号的质量,从而为后续的分解算法提供更可靠的数据基础,提高分解算法的精度和稳定性。常用的信号预处理方法包括滤波、平滑、去趋势等。滤波方法如低通滤波、高通滤波、带通滤波等,可以根据信号的频率特性,去除噪声或不需要的频率成分。平滑方法如移动平均法、高斯平滑等,可以减少信号的波动,使信号更加平稳。去趋势方法如最小二乘法拟合去趋势、多项式拟合去趋势等,可以去除信号中的线性或非线性趋势项。然而,传统的信号预处理方法在面对复杂多变的实际信号时,可能存在适应性不足的问题。未来的研究方向是开发更加鲁棒、自适应的信号预处理方法,例如基于深度学习的信号增强方法。利用深度学习模型强大的学习能力,自动学习信号中的噪声特征和信号特征,从而实现对信号的自适应增强和去噪,提高信号预处理的效果。
- 模态分解算法设计:模态分解算法是 LFM 模式分解的核心,其目标是将信号准确地分解成若干个具有不同 LFM 特性的分量。目前已经提出了多种模态分解算法,如前面介绍的 EMD、VMD 等。然而,这些算法在面对复杂信号时,仍然存在一些不足。未来的研究方向是开发更加高效、准确的模态分解算法。例如基于变分推理的贝叶斯模态分解方法,该方法将变分推理与贝叶斯理论相结合,通过构建贝叶斯模型来描述信号的分解过程,利用变分推理方法求解模型参数,能够更加准确地估计信号的 LFM 分量,同时具有较好的不确定性估计能力。另外,基于张量分解的多维 LFM 模式分解方法也是一个研究热点。在实际应用中,信号往往具有多维特性,如多通道信号、时频空多维信号等。张量分解方法能够充分利用信号的多维结构信息,对多维 LFM 信号进行分解,提高分解的精度和效率,为处理复杂的多维信号提供了新的思路和方法。
- 参数优化:许多数据驱动的自适应 LFM 模式分解方法都需要进行参数优化,以获得最佳的分解效果。例如 VMD 中的模态个数 K、稀疏表示中的字典参数等。参数的选择对分解结果的影响较大,如果参数设置不合理,可能导致分解结果不准确或计算效率低下。常用的参数优化方法包括网格搜索、遗传算法、粒子群优化等。网格搜索是一种简单直观的参数优化方法,它通过在预先设定的参数范围内,遍历所有可能的参数组合,选择使目标函数最优的参数组合。然而,网格搜索计算量较大,尤其是当参数空间较大时,计算效率较低。遗传算法是一种模拟生物进化过程的优化算法,通过选择、交叉和变异等操作,在参数空间中搜索最优解。粒子群优化算法是一种基于群体智能的优化算法,通过模拟鸟群觅食行为,使粒子在参数空间中不断迭代搜索最优解。这些传统的参数优化方法在一定程度上能够解决参数优化问题,但在面对复杂的高维
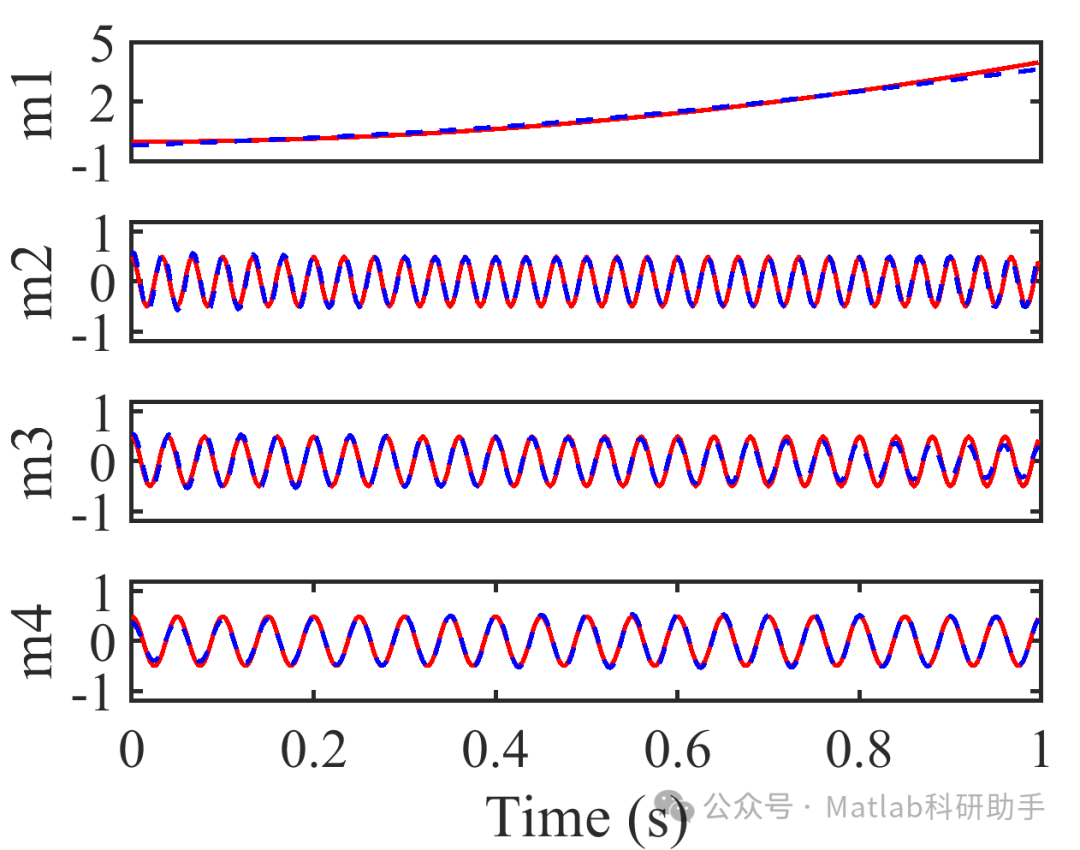
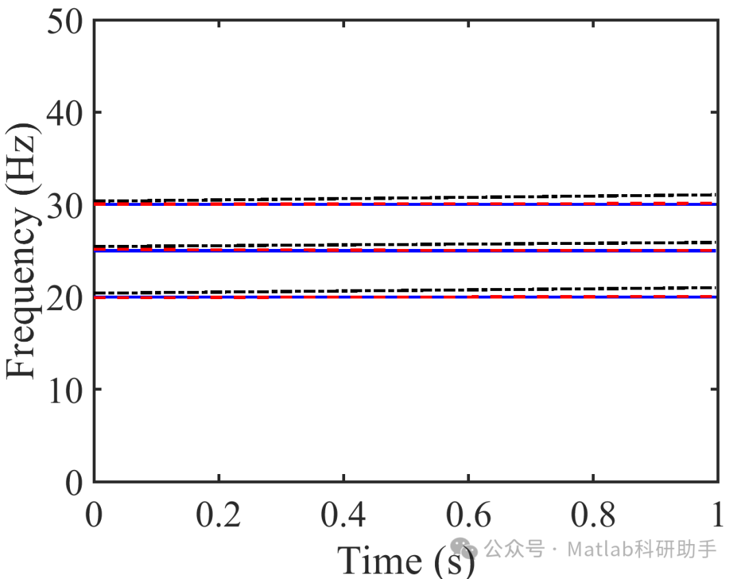
⛳️ 运行结果









🔗 参考文献
[1] 张丽娟.线性调频信号的自适应处理算法研究[D].南京理工大学[2025-08-13].
[2] 付银娟.基于Matlab的LFM信号的正交变换和脉冲压缩[J].现代电子技术, 2007, 30(15):3.DOI:10.3969/j.issn.1004-373X.2007.15.020.
[3] 张旭,李巍.线性调频信号基于FPGAIP核的脉冲压缩设计[J].现代电子技术, 2011, 34(10):4.DOI:10.3969/j.issn.1004-373X.2011.10.023.
📣 部分代码
🎈 部分理论引用网络文献,若有侵权联系博主删除
👇 关注我领取海量matlab电子书和数学建模资料
🏆团队擅长辅导定制多种科研领域MATLAB仿真,助力科研梦:
🌈 各类智能优化算法改进及应用
生产调度、经济调度、装配线调度、充电优化、车间调度、发车优化、水库调度、三维装箱、物流选址、货位优化、公交排班优化、充电桩布局优化、车间布局优化、集装箱船配载优化、水泵组合优化、解医疗资源分配优化、设施布局优化、可视域基站和无人机选址优化、背包问题、 风电场布局、时隙分配优化、 最佳分布式发电单元分配、多阶段管道维修、 工厂-中心-需求点三级选址问题、 应急生活物质配送中心选址、 基站选址、 道路灯柱布置、 枢纽节点部署、 输电线路台风监测装置、 集装箱调度、 机组优化、 投资优化组合、云服务器组合优化、 天线线性阵列分布优化、CVRP问题、VRPPD问题、多中心VRP问题、多层网络的VRP问题、多中心多车型的VRP问题、 动态VRP问题、双层车辆路径规划(2E-VRP)、充电车辆路径规划(EVRP)、油电混合车辆路径规划、混合流水车间问题、 订单拆分调度问题、 公交车的调度排班优化问题、航班摆渡车辆调度问题、选址路径规划问题、港口调度、港口岸桥调度、停机位分配、机场航班调度、泄漏源定位
🌈 机器学习和深度学习时序、回归、分类、聚类和降维
2.1 bp时序、回归预测和分类
2.2 ENS声神经网络时序、回归预测和分类
2.3 SVM/CNN-SVM/LSSVM/RVM支持向量机系列时序、回归预测和分类
2.4 CNN|TCN|GCN卷积神经网络系列时序、回归预测和分类
2.5 ELM/KELM/RELM/DELM极限学习机系列时序、回归预测和分类
2.6 GRU/Bi-GRU/CNN-GRU/CNN-BiGRU门控神经网络时序、回归预测和分类
2.7 ELMAN递归神经网络时序、回归\预测和分类
2.8 LSTM/BiLSTM/CNN-LSTM/CNN-BiLSTM/长短记忆神经网络系列时序、回归预测和分类
2.9 RBF径向基神经网络时序、回归预测和分类
2.10 DBN深度置信网络时序、回归预测和分类
2.11 FNN模糊神经网络时序、回归预测
2.12 RF随机森林时序、回归预测和分类
2.13 BLS宽度学习时序、回归预测和分类
2.14 PNN脉冲神经网络分类
2.15 模糊小波神经网络预测和分类
2.16 时序、回归预测和分类
2.17 时序、回归预测预测和分类
2.18 XGBOOST集成学习时序、回归预测预测和分类
2.19 Transform各类组合时序、回归预测预测和分类
方向涵盖风电预测、光伏预测、电池寿命预测、辐射源识别、交通流预测、负荷预测、股价预测、PM2.5浓度预测、电池健康状态预测、用电量预测、水体光学参数反演、NLOS信号识别、地铁停车精准预测、变压器故障诊断
🌈图像处理方面
图像识别、图像分割、图像检测、图像隐藏、图像配准、图像拼接、图像融合、图像增强、图像压缩感知
🌈 路径规划方面
旅行商问题(TSP)、车辆路径问题(VRP、MVRP、CVRP、VRPTW等)、无人机三维路径规划、无人机协同、无人机编队、机器人路径规划、栅格地图路径规划、多式联运运输问题、 充电车辆路径规划(EVRP)、 双层车辆路径规划(2E-VRP)、 油电混合车辆路径规划、 船舶航迹规划、 全路径规划规划、 仓储巡逻
🌈 无人机应用方面
无人机路径规划、无人机控制、无人机编队、无人机协同、无人机任务分配、无人机安全通信轨迹在线优化、车辆协同无人机路径规划
🌈 通信方面
传感器部署优化、通信协议优化、路由优化、目标定位优化、Dv-Hop定位优化、Leach协议优化、WSN覆盖优化、组播优化、RSSI定位优化、水声通信、通信上传下载分配
🌈 信号处理方面
信号识别、信号加密、信号去噪、信号增强、雷达信号处理、信号水印嵌入提取、肌电信号、脑电信号、信号配时优化、心电信号、DOA估计、编码译码、变分模态分解、管道泄漏、滤波器、数字信号处理+传输+分析+去噪、数字信号调制、误码率、信号估计、DTMF、信号检测
🌈电力系统方面
微电网优化、无功优化、配电网重构、储能配置、有序充电、MPPT优化、家庭用电
🌈 元胞自动机方面
交通流 人群疏散 病毒扩散 晶体生长 金属腐蚀
🌈 雷达方面
卡尔曼滤波跟踪、航迹关联、航迹融合、SOC估计、阵列优化、NLOS识别
🌈 车间调度
零等待流水车间调度问题NWFSP 、 置换流水车间调度问题PFSP、 混合流水车间调度问题HFSP 、零空闲流水车间调度问题NIFSP、分布式置换流水车间调度问题 DPFSP、阻塞流水车间调度问题BFSP
👇
703

被折叠的 条评论
为什么被折叠?



