✅作者简介:热爱科研的Matlab仿真开发者,擅长数据处理、建模仿真、程序设计、完整代码获取、论文复现及科研仿真。
🍎 往期回顾关注个人主页:Matlab科研工作室
🍊个人信条:格物致知,完整Matlab代码及仿真咨询内容私信。
🔥 内容介绍
时间稀疏波数分析(Time-Sparse Wavenumber Analysis)作为现代信号处理领域的一个新兴且至关重要的分支,为复杂波场信号的精确表征与高效处理提供了崭新的视角。本文旨在深入探讨时间稀疏波数分析的基本原理、核心算法、及其在多个应用领域的独特优势。通过对稀疏表示理论、压缩感知技术与传统波数分析方法的融合阐述,本文将揭示时间稀疏波数分析如何有效地克服传统方法在处理非平稳、宽带信号时所面临的挑战,并在数据采集、存储及计算效率方面实现显著提升。文章还将展望其未来的发展趋势与潜在应用。
1. 引言
在地球物理勘探、声纳探测、雷达遥感以及医学成像等众多领域中,信号往往以波的形式传播,携带并传递着丰富的信息。对这些波场信号进行有效的分析是提取有用信息、理解物理过程的关键。波数分析(Wavenumber Analysis)作为一种经典的波场信号处理技术,通过在频率-波数域(f-k域)对信号进行变换,能够有效地揭示波的传播方向、速度等特性,从而实现波场分离、噪声抑制等目标。然而,传统的波数分析方法通常基于傅里叶变换,要求信号满足平稳性假设,并且在处理非平稳、宽带或时变波场时性能受限。此外,高分辨率的波数分析往往需要大量的数据采集,这不仅增加了硬件成本,也带来了巨大的数据存储与计算负担。
近年来,随着稀疏表示理论和压缩感知(Compressed Sensing, CS)技术的飞速发展,为突破传统信号处理的局限性提供了新的契机。稀疏表示的核心思想是,尽管信号本身可能非常复杂,但它在某个特定的变换域中却是稀疏的,即只有少数几个非零或显著非零的系数。压缩感知则进一步指出,如果信号是稀疏的,那么即使在远低于奈奎斯特采样率的条件下,也能够通过非线性优化算法高概率地精确恢复原始信号。将这些先进理念引入波数分析领域,便催生了时间稀疏波数分析这一创新方向。
时间稀疏波数分析旨在利用波场信号在时间-波数域或其它相关域的稀疏特性,通过优化算法在有限甚至欠采样数据的情况下实现高分辨率的波数估计与波场重构,从而克服传统方法的诸多瓶颈。
2. 基本原理与理论基础
时间稀疏波数分析的理论基础主要建立在稀疏表示理论、压缩感知以及传统的波数分析方法之上。
2.1 波数分析概述

2.2 稀疏表示与压缩感知

2.3 时间稀疏波数分析的融合
时间稀疏波数分析的核心思想是将波场信号在时间-波数域(或者通过其他变换如Radon变换后的领域)视为稀疏的。这意味着,在这些变换域中,波场信号的能量主要集中在少数几个频率-波数分量上,而其他分量则接近于零。基于此,时间稀疏波数分析通常包括以下几个关键步骤:

这种方法能够有效处理欠采样数据,提高波数谱的分辨率,并抑制随机噪声。
3. 核心算法与实现
时间稀疏波数分析的实现依赖于一系列先进的优化算法。
3.1 基于L1范数最小化的方法
这是最常用的方法之一。给定观测数据yy、测量矩阵ΦΦ和稀疏字典ΨΨ,目标是求解以下优化问题:

minc∣∣c∣∣1subject toy=ΦΨc
3.2 贪婪算法
贪婪算法,如正交匹配追踪(Orthogonal Matching Pursuit, OMP)和稀疏自适应匹配追踪(Sparse Adaptive Matching Pursuit, SAMP),通过迭代地选择与残差最相关的字典原子来构建信号的稀疏表示。这些算法通常计算速度快,但可能无法保证全局最优解。
3.3 字典学习(Dictionary Learning)
在某些情况下,信号的稀疏变换域可能不是先验已知的,或者现有字典无法很好地捕捉信号的稀疏特性。此时,可以采用字典学习的方法,从训练数据中自适应地学习一个最优的稀疏字典,使得信号在该字典下具有更强的稀疏性。K-SVD算法是经典的字典学习算法之一。
4. 应用领域与优势
时间稀疏波数分析在多个领域展现出强大的应用潜力与独特优势。
4.1 地球物理勘探
在地震数据处理中,时间稀疏波数分析可以用于:
- 地震数据重建与规则化:
补偿不规则采样或缺失数据,提高地震成像质量。
- 波场分离与噪声压制:
有效分离叠前地震记录中的多次波、面波等噪声,提高有效信号的信噪比。
- 高分辨率速度分析:
在欠采样或复杂介质中实现更精确的速度估计,为后续的偏移成像提供更可靠的速度模型。
- 地震采集优化:
允许在满足一定条件下,采用更少的检波器或更稀疏的采集几何,从而降低采集成本。
4.2 声纳与雷达
在声纳和雷达信号处理中,时间稀疏波数分析可以用于:
- 目标检测与识别:
从嘈杂环境中精确提取目标的回波信号。
- 多径效应抑制:
克服水下声波或无线电波传播中的多径干扰。
- 高分辨率成像:
在低信噪比或有限孔径条件下获得清晰的声纳/雷达图像。
4.3 医学成像
虽然直接的“波数”概念在医学成像中可能不常见,但其背后的稀疏表示与压缩感知思想在磁共振成像(MRI)和CT成像中得到了广泛应用。例如,压缩感知MRI允许在更短的扫描时间内获得高质量的图像,从而提高患者舒适度并减少医疗成本。
4.4 优势总结
- 处理欠采样数据:
显著降低数据采集量,减少存储和传输负担。
- 提高分辨率:
即使在有限数据或欠采样情况下也能实现高分辨率的波数谱估计和波场重构。
- 抑制噪声:
稀疏恢复算法对随机噪声具有一定的鲁棒性。
- 适用于非平稳信号:
相比传统傅里叶变换,能够更好地处理非平稳或时变波场信号。
5. 挑战与展望
尽管时间稀疏波数分析展现出巨大的潜力,但仍面临一些挑战:
- 稀疏性假设的有效性:
并非所有波场信号在所有变换域中都具有理想的稀疏性。如何找到更合适的稀疏变换域,或者如何处理非完全稀疏的信号,是一个持续研究的方向。
- 算法复杂度:
稀疏恢复算法,特别是基于L1范数最小化的算法,通常计算复杂度较高,对于大规模实时应用仍需进一步优化。
- 鲁棒性问题:
在实际应用中,数据通常受到各种噪声和模型误差的影响。稀疏恢复算法在面对这些不确定性时的鲁棒性需要进一步研究。
- 过完备字典的构建:
如何构建一个既能很好地表示信号,又不过于庞大导致计算量过大的过完备字典,是一个关键问题。
展望未来,时间稀疏波数分析的研究将可能集中在以下几个方向:
- 深度学习与稀疏表示的结合:
结合深度学习强大的特征提取和表示能力,设计端到端的稀疏恢复网络,提高恢复精度和效率。
- 多维稀疏性利用:
探索波场信号在多维度(如时间、空间、频率、角度等)上的联合稀疏性,设计更有效的多维稀疏恢复算法。
- 实时处理技术:
开发更高效、更并行的稀疏恢复算法,以满足实时数据处理的需求。
- 物理先验知识的融入:
将波场传播的物理机制和先验知识融入到稀疏恢复模型中,以提高算法的精度和鲁棒性。
- 硬件加速:
利用FPGA、GPU等硬件平台对稀疏恢复算法进行加速,进一步提升计算效率。
6. 结论
时间稀疏波数分析作为一种融合了稀疏表示、压缩感知和传统波数分析的先进信号处理技术,为波场信号的分析与处理提供了革命性的解决方案。它不仅有效地克服了传统方法在处理非平稳、宽带信号和欠采样数据方面的局限性,而且在降低数据采集成本、提高处理效率和增强分辨率方面展现出显著优势。尽管仍面临一些挑战,但随着理论和算法的不断发展以及与其他前沿技术的融合,时间稀疏波数分析必将在地球物理勘探、声纳雷达、医学成像等领域发挥越来越重要的作用,为我们理解和利用复杂波场信号提供强大的工具。
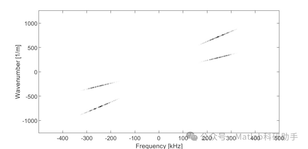
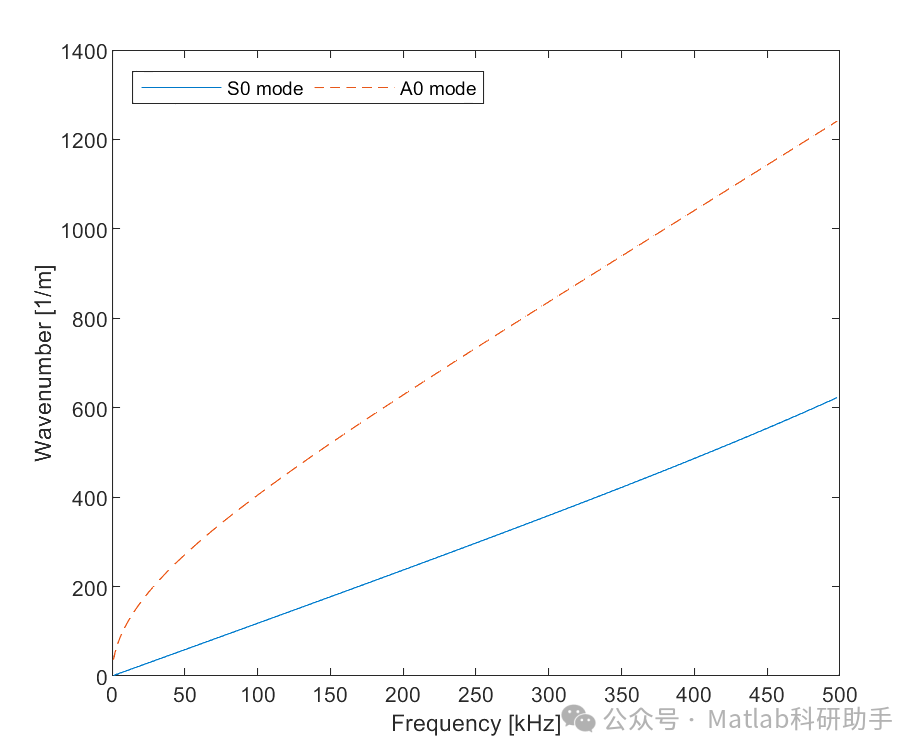
⛳️ 运行结果



🔗 参考文献
[1] 肖锋,孟令顺,吴燕冈.在波数域计算一维重磁异常导数的Matlab语言算法[J].物探与化探, 2008, 032(003):316-320.
[2] 张方涛,郑勤红,向泰,等.各向异性介质填充矩形波导的FDTD分析[J].云南师范大学学报:自然科学版, 2012, 32(3):4.DOI:10.3969/j.issn.1007-9793.2012.03.011.
[3] 曹艳梅,夏禾.波数-频率域内地基土表面位移Green函数的理论分析[J].计算力学学报, 2008, 25(6):6.DOI:CNKI:SUN:JSJG.0.2008-06-016.
📣 部分代码
🎈 部分理论引用网络文献,若有侵权联系博主删除
👇 关注我领取海量matlab电子书和数学建模资料
🏆团队擅长辅导定制多种科研领域MATLAB仿真,助力科研梦:
🌈 各类智能优化算法改进及应用
生产调度、经济调度、装配线调度、充电优化、车间调度、发车优化、水库调度、三维装箱、物流选址、货位优化、公交排班优化、充电桩布局优化、车间布局优化、集装箱船配载优化、水泵组合优化、解医疗资源分配优化、设施布局优化、可视域基站和无人机选址优化、背包问题、 风电场布局、时隙分配优化、 最佳分布式发电单元分配、多阶段管道维修、 工厂-中心-需求点三级选址问题、 应急生活物质配送中心选址、 基站选址、 道路灯柱布置、 枢纽节点部署、 输电线路台风监测装置、 集装箱调度、 机组优化、 投资优化组合、云服务器组合优化、 天线线性阵列分布优化、CVRP问题、VRPPD问题、多中心VRP问题、多层网络的VRP问题、多中心多车型的VRP问题、 动态VRP问题、双层车辆路径规划(2E-VRP)、充电车辆路径规划(EVRP)、油电混合车辆路径规划、混合流水车间问题、 订单拆分调度问题、 公交车的调度排班优化问题、航班摆渡车辆调度问题、选址路径规划问题、港口调度、港口岸桥调度、停机位分配、机场航班调度、泄漏源定位
🌈 机器学习和深度学习时序、回归、分类、聚类和降维
2.1 bp时序、回归预测和分类
2.2 ENS声神经网络时序、回归预测和分类
2.3 SVM/CNN-SVM/LSSVM/RVM支持向量机系列时序、回归预测和分类
2.4 CNN|TCN|GCN卷积神经网络系列时序、回归预测和分类
2.5 ELM/KELM/RELM/DELM极限学习机系列时序、回归预测和分类
2.6 GRU/Bi-GRU/CNN-GRU/CNN-BiGRU门控神经网络时序、回归预测和分类
2.7 ELMAN递归神经网络时序、回归\预测和分类
2.8 LSTM/BiLSTM/CNN-LSTM/CNN-BiLSTM/长短记忆神经网络系列时序、回归预测和分类
2.9 RBF径向基神经网络时序、回归预测和分类
2.10 DBN深度置信网络时序、回归预测和分类
2.11 FNN模糊神经网络时序、回归预测
2.12 RF随机森林时序、回归预测和分类
2.13 BLS宽度学习时序、回归预测和分类
2.14 PNN脉冲神经网络分类
2.15 模糊小波神经网络预测和分类
2.16 时序、回归预测和分类
2.17 时序、回归预测预测和分类
2.18 XGBOOST集成学习时序、回归预测预测和分类
2.19 Transform各类组合时序、回归预测预测和分类
方向涵盖风电预测、光伏预测、电池寿命预测、辐射源识别、交通流预测、负荷预测、股价预测、PM2.5浓度预测、电池健康状态预测、用电量预测、水体光学参数反演、NLOS信号识别、地铁停车精准预测、变压器故障诊断
🌈图像处理方面
图像识别、图像分割、图像检测、图像隐藏、图像配准、图像拼接、图像融合、图像增强、图像压缩感知
🌈 路径规划方面
旅行商问题(TSP)、车辆路径问题(VRP、MVRP、CVRP、VRPTW等)、无人机三维路径规划、无人机协同、无人机编队、机器人路径规划、栅格地图路径规划、多式联运运输问题、 充电车辆路径规划(EVRP)、 双层车辆路径规划(2E-VRP)、 油电混合车辆路径规划、 船舶航迹规划、 全路径规划规划、 仓储巡逻
🌈 无人机应用方面
无人机路径规划、无人机控制、无人机编队、无人机协同、无人机任务分配、无人机安全通信轨迹在线优化、车辆协同无人机路径规划
🌈 通信方面
传感器部署优化、通信协议优化、路由优化、目标定位优化、Dv-Hop定位优化、Leach协议优化、WSN覆盖优化、组播优化、RSSI定位优化、水声通信、通信上传下载分配
🌈 信号处理方面
信号识别、信号加密、信号去噪、信号增强、雷达信号处理、信号水印嵌入提取、肌电信号、脑电信号、信号配时优化、心电信号、DOA估计、编码译码、变分模态分解、管道泄漏、滤波器、数字信号处理+传输+分析+去噪、数字信号调制、误码率、信号估计、DTMF、信号检测
🌈电力系统方面
微电网优化、无功优化、配电网重构、储能配置、有序充电、MPPT优化、家庭用电
🌈 元胞自动机方面
交通流 人群疏散 病毒扩散 晶体生长 金属腐蚀
🌈 雷达方面
卡尔曼滤波跟踪、航迹关联、航迹融合、SOC估计、阵列优化、NLOS识别
🌈 车间调度
零等待流水车间调度问题NWFSP 、 置换流水车间调度问题PFSP、 混合流水车间调度问题HFSP 、零空闲流水车间调度问题NIFSP、分布式置换流水车间调度问题 DPFSP、阻塞流水车间调度问题BFSP
👇
890

被折叠的 条评论
为什么被折叠?



