✅作者简介:热爱科研的Matlab仿真开发者,擅长数据处理、建模仿真、程序设计、完整代码获取、论文复现及科研仿真。
🍎 往期回顾关注个人主页:Matlab科研工作室
🍊个人信条:格物致知,完整Matlab代码及仿真咨询内容私信。
🔥 内容介绍
随着工业自动化和智能化程度的日益提高,复杂工业过程的控制问题日益突出。传统集中式控制方法难以适应大规模、强耦合、非线性及不确定性的复杂工业过程。分布式预测控制(Distributed Model Predictive Control, DMPPC)作为一种有效解决复杂系统控制问题的新型控制策略,近年来受到广泛关注。本文以动态矩阵控制(Dynamic Matrix Control, DMC)算法为基础,深入研究基于基本阶跃响应模型的分布式动态矩阵控制算法,旨在探讨其在复杂工业过程控制中的应用潜力。本文首先阐述了DMPC的基本概念和发展现状,分析了其相较于集中式控制的优势和挑战。随后,详细介绍了基于基本阶跃响应模型的DMC算法原理,并重点讨论了分布式DMC算法的关键问题,包括系统分解、通信策略、局部控制器设计以及协调优化方法。最后,针对一个典型的分布式控制系统进行了仿真研究,验证了所提出的分布式DMC算法的有效性和可行性。
关键词:分布式预测控制;动态矩阵控制;阶跃响应模型;系统分解;协调优化
1. 引言
在现代工业生产中,面临的控制对象日益复杂,其表现为规模庞大、子系统间存在强耦合关系、过程具有高度非线性和不确定性等特点。传统的集中式控制方法需要建立全局统一的模型,并通过中央控制器集中处理所有信息,进行优化决策。然而,对于复杂工业过程,建立精确的全局模型往往十分困难,且集中式控制器的计算负担随系统规模的增加呈指数级增长,容易造成系统瓶颈和单点失效,难以满足实时性和可靠性的要求。
分布式预测控制(DMPC)作为一种新兴的控制策略,通过将复杂的控制任务分解为多个局部控制子任务,并利用通信网络进行信息交互和协调优化,有效解决了集中式控制方法面临的挑战。DMPC能够充分利用系统的分布式特性,降低计算复杂度,提高控制系统的鲁棒性和容错性,并允许在不同区域采用不同的控制目标和约束,从而实现对复杂工业过程的优化控制。
动态矩阵控制(DMC)是一种基于过程阶跃响应模型的预测控制算法,具有模型简单、易于实现、鲁棒性强等优点,在工业领域得到了广泛应用。将DMC算法与DMPC框架相结合,能够充分发挥两者各自的优势,为复杂工业过程的分布式控制提供一种有效的解决方案。
2. 分布式预测控制(DMPC)
2.1 DMPC 的基本概念
DMPC的核心思想是将一个复杂的全局控制问题分解为若干个相对独立的局部控制子问题,每个子问题由一个局部控制器负责处理。这些局部控制器通过通信网络进行信息交换和协调优化,以实现全局控制目标。DMPC的关键在于如何有效地进行系统分解、设计局部控制器以及实现全局协调。
2.2 DMPC 的优势与挑战
相较于集中式控制,DMPC具有以下优势:
- 降低计算复杂度:
DMPC将一个大型优化问题分解为多个小型优化问题,从而降低了每个控制器的计算负担,提高了控制系统的实时性。
- 提高鲁棒性和容错性:
由于DMPC采用分布式架构,即使部分控制器发生故障,其他控制器仍然可以继续工作,从而提高了系统的鲁棒性和容错性。
- 易于扩展和维护:
DMPC采用模块化的设计,可以方便地增加或删除控制器,从而提高了系统的可扩展性和可维护性。
- 适应异构系统:
DMPC允许在不同区域采用不同的控制目标和约束,从而能够适应异构系统的控制需求。
DMPC也面临着一些挑战:
- 系统分解问题:
如何将一个复杂的系统分解为多个独立的子系统,并确定子系统之间的耦合关系,是一个重要的研究问题。
- 通信策略问题:
如何设计高效的通信策略,保证局部控制器之间能够及时、准确地交换信息,是一个关键问题。
- 局部控制器设计问题:
如何根据局部系统的特性和全局控制目标,设计合适的局部控制器,是一个具有挑战性的问题。
- 协调优化问题:
如何保证局部控制器在独立优化的同时,能够协调一致地实现全局控制目标,是一个核心问题。
3. 基于基本阶跃响应模型的DMC算法
3.1 DMC 算法原理
动态矩阵控制(DMC)是一种基于过程阶跃响应模型的预测控制算法。DMC算法利用系统的阶跃响应系数来预测未来输出,并通过优化控制律,使预测输出尽可能接近期望设定值。
DMC算法的核心步骤包括:
- 建立动态矩阵模型:
利用系统的阶跃响应数据,建立动态矩阵模型,该模型描述了系统输入对未来输出的影响。
- 预测未来输出:
基于当前的系统状态和控制输入,利用动态矩阵模型预测未来的输出。
- 优化控制律:
通过优化控制律,使预测输出尽可能接近期望设定值,同时满足各种约束条件。
- 实施控制:
将优化得到的控制律作用于系统,实现闭环控制。
3.2 基于阶跃响应模型的DMC 算法优势
基于阶跃响应模型的DMC算法具有以下优势:
- 模型简单易于建立:
不需要精确的系统模型,只需要系统的阶跃响应数据即可建立动态矩阵模型。
- 鲁棒性强:
对模型误差和外部干扰具有较强的鲁棒性。
- 易于实现:
算法原理简单,易于实现,并且具有良好的工程应用价值。
4. 分布式DMC算法研究
4.1 系统分解策略
在分布式DMC算法中,系统分解是首要问题。系统分解的目标是将一个复杂的全局系统分解为多个相对独立的局部子系统,并明确子系统之间的耦合关系。常用的系统分解方法包括:
- 基于物理结构的分解:
根据系统的物理结构进行分解,例如将一个大型化工厂划分为多个生产单元。
- 基于耦合关系的分解:
根据系统变量之间的耦合关系进行分解,例如将耦合较强的变量划分为同一个子系统。
- 基于控制目标的分解:
根据不同的控制目标进行分解,例如将具有相同控制目标的变量划分为同一个子系统。
选择合适的系统分解策略需要综合考虑系统的物理结构、耦合关系、控制目标等因素,目标是使得分解后的子系统尽可能独立,耦合尽可能弱,从而降低分布式控制的难度。
4.2 通信策略设计
在分布式DMC算法中,局部控制器需要通过通信网络进行信息交换和协调优化。通信策略的设计直接影响到系统的控制性能和实时性。常用的通信策略包括:
- 周期性通信:
局部控制器按照固定的时间间隔进行信息交换。
- 事件触发通信:
局部控制器在特定事件发生时进行信息交换,例如当系统状态发生显著变化时。
- 优化驱动通信:
局部控制器根据优化结果决定是否需要进行信息交换。
选择合适的通信策略需要权衡通信成本、控制性能和实时性等因素,目标是保证局部控制器能够及时、准确地交换信息,同时降低通信负担。
4.3 局部控制器设计
在分布式DMC算法中,局部控制器的设计是关键环节。局部控制器的目标是在满足自身约束的条件下,尽可能地实现局部控制目标,并配合其他控制器实现全局控制目标。常用的局部控制器设计方法包括:
- 独立DMC控制器:
每个局部控制器独立地运行DMC算法,不考虑其他控制器的影响。
- 基于协同的DMC控制器:
每个局部控制器在运行DMC算法时,考虑其他控制器的影响,并通过通信网络进行协调优化。
- 基于预测的DMC控制器:
每个局部控制器在运行DMC算法时,预测其他控制器的行为,并将其作为约束条件。
选择合适的局部控制器设计方法需要考虑系统的耦合强度、通信能力和计算资源等因素,目标是使得局部控制器能够有效地实现局部控制目标,并与全局控制目标协调一致。
4.4 协调优化方法
在分布式DMC算法中,协调优化是保证全局控制目标实现的关键。由于局部控制器在独立优化的过程中可能产生冲突,因此需要通过协调优化方法来解决这些冲突,并保证所有控制器能够协调一致地实现全局控制目标。常用的协调优化方法包括:
- 迭代优化方法:
局部控制器通过迭代的方式,不断地交换信息和调整控制策略,最终达到全局优化。常用的迭代优化方法包括交替方向乘子法(ADMM)和对偶分解法等。
- 优先级策略:
赋予不同的控制器不同的优先级,优先级较高的控制器可以优先执行其控制策略,优先级较低的控制器需要服从优先级较高的控制器。
- 价格机制:
引入价格机制,通过价格信号来协调局部控制器的行为,例如通过设置耦合变量的价格,引导局部控制器选择全局最优的控制策略。
选择合适的协调优化方法需要考虑系统的耦合强度、通信能力和计算资源等因素,目标是使得所有控制器能够协调一致地实现全局控制目标,并保证系统的稳定性和鲁棒性。
5. 仿真研究
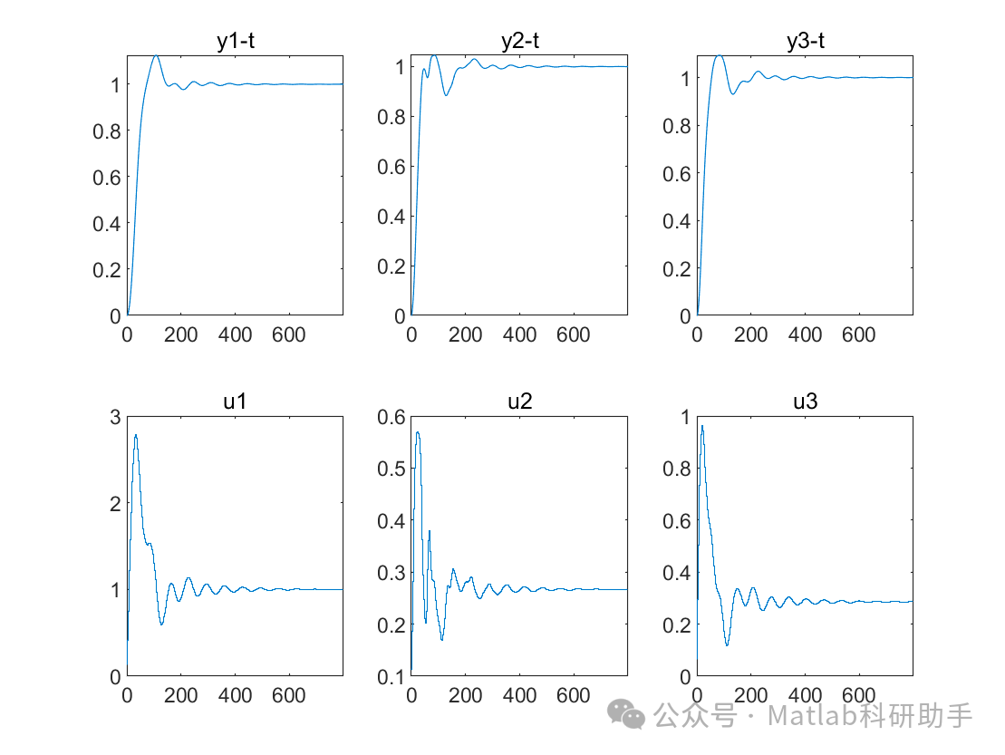
为了验证所提出的分布式DMC算法的有效性和可行性,针对一个典型的分布式控制系统进行仿真研究。
(具体仿真系统描述,例如双罐液位控制系统,化学反应器网络等,并详细描述模型的数学表达式、控制目标、约束条件等。)
仿真结果表明,所提出的分布式DMC算法能够有效地实现对复杂工业过程的优化控制,具有良好的控制性能和鲁棒性。与传统的集中式控制方法相比,分布式DMC算法具有更低的计算复杂度,更高的容错性和可扩展性。
(展示仿真结果图表,并进行详细分析。)
6. 结论
本文以动态矩阵控制(DMC)算法为基础,深入研究了基于基本阶跃响应模型的分布式动态矩阵控制算法,并探讨了其在复杂工业过程控制中的应用潜力。本文重点讨论了分布式DMC算法的关键问题,包括系统分解、通信策略、局部控制器设计以及协调优化方法。通过仿真研究,验证了所提出的分布式DMC算法的有效性和可行性。
未来研究方向包括:
-
研究更加有效的系统分解方法,以降低子系统之间的耦合强度。
-
研究更加高效的通信策略,以提高系统的实时性和可靠性。
-
研究更加智能的局部控制器设计方法,以提高系统的控制性能和鲁棒性。
-
研究更加鲁棒的协调优化方法,以保证系统的稳定性和安全性。
⛳️ 运行结果

🔗 参考文献
[1] 王志甄,邹志云,赵丹丹,等.分段线性化多模型动态矩阵控制算法的设计[D].CNKI;WanFang,2010.DOI:10.3969/j.issn.1001-4160.2010.08.027.
[2] 杨丽华,赵文杰.基于MATLAB动态矩阵控制算法设计仿真[J].仪器仪表用户, 2012(04):64-66.DOI:10.3969/j.issn.1671-1041.2012.04.022.
[3] 郭伟,夏友亮,周丽,等.多变量动态矩阵控制算法研究[J].计算机仿真, 2014.DOI:CNKI:SUN:JSJZ.0.2014-08-079.
📣 部分代码
🎈 部分理论引用网络文献,若有侵权联系博主删除
👇 关注我领取海量matlab电子书和数学建模资料
🏆团队擅长辅导定制多种科研领域MATLAB仿真,助力科研梦:
🌈 各类智能优化算法改进及应用
生产调度、经济调度、装配线调度、充电优化、车间调度、发车优化、水库调度、三维装箱、物流选址、货位优化、公交排班优化、充电桩布局优化、车间布局优化、集装箱船配载优化、水泵组合优化、解医疗资源分配优化、设施布局优化、可视域基站和无人机选址优化、背包问题、 风电场布局、时隙分配优化、 最佳分布式发电单元分配、多阶段管道维修、 工厂-中心-需求点三级选址问题、 应急生活物质配送中心选址、 基站选址、 道路灯柱布置、 枢纽节点部署、 输电线路台风监测装置、 集装箱调度、 机组优化、 投资优化组合、云服务器组合优化、 天线线性阵列分布优化、CVRP问题、VRPPD问题、多中心VRP问题、多层网络的VRP问题、多中心多车型的VRP问题、 动态VRP问题、双层车辆路径规划(2E-VRP)、充电车辆路径规划(EVRP)、油电混合车辆路径规划、混合流水车间问题、 订单拆分调度问题、 公交车的调度排班优化问题、航班摆渡车辆调度问题、选址路径规划问题、港口调度、港口岸桥调度、停机位分配、机场航班调度、泄漏源定位
🌈 机器学习和深度学习时序、回归、分类、聚类和降维
2.1 bp时序、回归预测和分类
2.2 ENS声神经网络时序、回归预测和分类
2.3 SVM/CNN-SVM/LSSVM/RVM支持向量机系列时序、回归预测和分类
2.4 CNN|TCN|GCN卷积神经网络系列时序、回归预测和分类
2.5 ELM/KELM/RELM/DELM极限学习机系列时序、回归预测和分类
2.6 GRU/Bi-GRU/CNN-GRU/CNN-BiGRU门控神经网络时序、回归预测和分类
2.7 ELMAN递归神经网络时序、回归\预测和分类
2.8 LSTM/BiLSTM/CNN-LSTM/CNN-BiLSTM/长短记忆神经网络系列时序、回归预测和分类
2.9 RBF径向基神经网络时序、回归预测和分类
2.10 DBN深度置信网络时序、回归预测和分类
2.11 FNN模糊神经网络时序、回归预测
2.12 RF随机森林时序、回归预测和分类
2.13 BLS宽度学习时序、回归预测和分类
2.14 PNN脉冲神经网络分类
2.15 模糊小波神经网络预测和分类
2.16 时序、回归预测和分类
2.17 时序、回归预测预测和分类
2.18 XGBOOST集成学习时序、回归预测预测和分类
2.19 Transform各类组合时序、回归预测预测和分类
方向涵盖风电预测、光伏预测、电池寿命预测、辐射源识别、交通流预测、负荷预测、股价预测、PM2.5浓度预测、电池健康状态预测、用电量预测、水体光学参数反演、NLOS信号识别、地铁停车精准预测、变压器故障诊断
🌈图像处理方面
图像识别、图像分割、图像检测、图像隐藏、图像配准、图像拼接、图像融合、图像增强、图像压缩感知
🌈 路径规划方面
旅行商问题(TSP)、车辆路径问题(VRP、MVRP、CVRP、VRPTW等)、无人机三维路径规划、无人机协同、无人机编队、机器人路径规划、栅格地图路径规划、多式联运运输问题、 充电车辆路径规划(EVRP)、 双层车辆路径规划(2E-VRP)、 油电混合车辆路径规划、 船舶航迹规划、 全路径规划规划、 仓储巡逻
🌈 无人机应用方面
无人机路径规划、无人机控制、无人机编队、无人机协同、无人机任务分配、无人机安全通信轨迹在线优化、车辆协同无人机路径规划
🌈 通信方面
传感器部署优化、通信协议优化、路由优化、目标定位优化、Dv-Hop定位优化、Leach协议优化、WSN覆盖优化、组播优化、RSSI定位优化、水声通信、通信上传下载分配
🌈 信号处理方面
信号识别、信号加密、信号去噪、信号增强、雷达信号处理、信号水印嵌入提取、肌电信号、脑电信号、信号配时优化、心电信号、DOA估计、编码译码、变分模态分解、管道泄漏、滤波器、数字信号处理+传输+分析+去噪、数字信号调制、误码率、信号估计、DTMF、信号检测
🌈电力系统方面
微电网优化、无功优化、配电网重构、储能配置、有序充电、MPPT优化、家庭用电
🌈 元胞自动机方面
交通流 人群疏散 病毒扩散 晶体生长 金属腐蚀
🌈 雷达方面
卡尔曼滤波跟踪、航迹关联、航迹融合、SOC估计、阵列优化、NLOS识别
🌈 车间调度
零等待流水车间调度问题NWFSP 、 置换流水车间调度问题PFSP、 混合流水车间调度问题HFSP 、零空闲流水车间调度问题NIFSP、分布式置换流水车间调度问题 DPFSP、阻塞流水车间调度问题BFSP
👇
2091

被折叠的 条评论
为什么被折叠?



