✅作者简介:热爱科研的Matlab仿真开发者,擅长数据处理、建模仿真、程序设计、完整代码获取、论文复现及科研仿真。
🍎 往期回顾关注个人主页:Matlab科研工作室
🍊个人信条:格物致知,完整Matlab代码及仿真咨询内容私信。
🔥 内容介绍
复指数信号在通信、雷达、声纳等众多领域中扮演着至关重要的角色。其频率估计作为信号处理中的核心问题,一直是研究的热点。然而,在实际应用环境中,信号往往受到噪声的干扰,并且可能存在间歇性缺失,这给频率估计带来了极大的挑战。本文旨在探讨信号间歇性和噪声同时存在情况下,复指数信号频率估计的理论和方法。我们将深入分析现有频率估计算法的局限性,并着重研究针对间歇性和噪声环境优化的新型算法。研究内容包括:分析间歇性和噪声对传统算法性能的影响,提出基于稀疏恢复的频率估计算法,以及探索基于深度学习的频率估计算法。最终,我们期望能够提出一种鲁棒、准确且高效的复指数信号频率估计算法,以满足复杂应用场景的需求。
引言
频率作为复指数信号最重要的参数之一,其精确估计在许多领域都有着至关重要的作用。例如,在通信系统中,精确的频率估计可以用于实现同步和解调;在雷达和声纳系统中,频率估计可以用于目标定位和速度估计;在生物医学信号处理中,频率估计可以用于检测生理信号的异常。因此,复指数信号频率估计一直是信号处理领域的研究热点。
然而,在实际应用中,复指数信号往往受到各种因素的影响,使其变得复杂且难以处理。其中,噪声是最常见的干扰因素,它会降低信号的信噪比,从而影响频率估计的精度。此外,信号间歇性也是一个常见的问题。由于信道衰落、设备故障或人为干扰等原因,信号可能在一段时间内完全缺失,这使得传统的频率估计算法无法正常工作。
因此,研究信号间歇性和噪声同时存在情况下的复指数信号频率估计具有重要的理论意义和应用价值。传统的频率估计算法,例如基于快速傅里叶变换(FFT)的谱分析方法和基于自相关的算法,在理想情况下表现良好,但在噪声和间歇性环境下,其性能会显著下降。因此,我们需要开发更加鲁棒和准确的频率估计算法,以克服这些挑战。
传统频率估计算法的局限性
传统的频率估计算法主要可以分为两大类:基于谱分析的方法和基于参数估计的方法。
- 基于谱分析的方法:
最常用的方法是基于FFT的谱分析。该方法通过计算信号的频谱,找到频谱峰值对应的频率作为信号的估计频率。这种方法简单易懂,计算速度快,但在信噪比较低的情况下,由于噪声的影响,频谱峰值可能不明显,导致频率估计的精度下降。此外,由于FFT的分辨率受到采样频率和数据长度的限制,因此在估计精度方面也存在一定的局限性。当信号存在间歇性时,直接应用FFT会引入频谱泄露,进一步降低估计精度。
- 基于参数估计的方法:
这类方法通常假设信号模型已知,然后通过优化某种准则函数来估计信号的参数,包括频率。典型的参数估计方法包括基于自相关的算法,例如MUSIC和ESPRIT。这些算法在信噪比较高的情况下表现良好,但在信噪比较低的情况下,其性能会受到严重影响。此外,这些算法通常需要假设信号模型已知,如果模型不准确,则会导致频率估计的误差。当信号存在间歇性时,自相关函数会受到影响,从而导致参数估计的偏差。
总而言之,传统的频率估计算法在理想情况下表现良好,但在噪声和间歇性环境下,其性能会显著下降。因此,我们需要开发更加鲁棒和准确的频率估计算法,以克服这些挑战。
基于稀疏恢复的频率估计算法
近年来,稀疏恢复理论在信号处理领域取得了显著进展。稀疏恢复的核心思想是,如果信号在某个变换域上是稀疏的,即只有少数几个非零系数,那么就可以通过求解一个优化问题来恢复信号。
在频率估计问题中,我们可以将复指数信号看作是在频率域上的稀疏信号。具体而言,我们可以将频率域离散化成一组频率网格,然后将复指数信号表示为这些频率网格上的线性组合。如果信号只包含一个频率成分,那么在这些频率网格上,只有一个系数是非零的,其余系数都为零。因此,我们可以通过求解一个稀疏恢复问题来估计信号的频率。
基于稀疏恢复的频率估计算法通常采用以下步骤:
- 构建过完备的频率字典:
将频率域离散化成一组频率网格,并构建一个过完备的频率字典,其中每一列对应一个频率网格上的复指数信号。
- 求解稀疏恢复问题:
将观测到的信号表示为频率字典中的线性组合,并利用稀疏恢复算法,例如L1正则化算法或正交匹配追踪算法,求解稀疏系数。
- 估计信号频率:
找到稀疏系数中绝对值最大的系数,其对应的频率即为信号的估计频率。
基于稀疏恢复的频率估计算法具有以下优点:
- 对噪声具有较强的鲁棒性:
稀疏恢复算法可以通过求解优化问题来抑制噪声的影响,从而提高频率估计的精度。
- 对信号间歇性具有一定的适应性:
即使信号存在间歇性,稀疏恢复算法仍然可以利用剩余的信号信息来估计信号的频率。
- 可以估计多个频率成分:
通过求解稀疏恢复问题,可以同时估计信号中的多个频率成分。
然而,基于稀疏恢复的频率估计算法也存在一些局限性:
- 计算复杂度较高:
求解稀疏恢复问题通常需要迭代算法,计算复杂度较高。
- 需要选择合适的稀疏度:
稀疏度的选择对频率估计的精度有很大的影响,需要根据实际情况进行调整。
- 受网格效应的影响:
频率估计的精度受到频率网格的限制,如果信号的真实频率不在频率网格上,则会导致估计误差。
基于深度学习的频率估计算法
近年来,深度学习技术在信号处理领域取得了广泛应用。深度学习可以通过学习大量的训练数据,自动提取信号的特征,从而实现各种信号处理任务。
在频率估计问题中,我们可以利用深度学习来构建一个频率估计器。该频率估计器可以学习信号的特征,并将其映射到信号的频率。深度学习的优势在于它可以处理复杂的非线性关系,并且可以自动学习特征,无需人工设计特征。
基于深度学习的频率估计算法通常采用以下步骤:
- 构建训练数据集:
生成大量的训练数据,包括各种噪声和间歇性情况下的复指数信号。
- 构建深度学习模型:
选择合适的深度学习模型,例如卷积神经网络(CNN)或循环神经网络(RNN)。
- 训练深度学习模型:
利用训练数据集训练深度学习模型,使其能够学习信号的特征,并将其映射到信号的频率。
- 估计信号频率:
将观测到的信号输入到训练好的深度学习模型中,模型输出的频率即为信号的估计频率。
基于深度学习的频率估计算法具有以下优点:
- 可以处理复杂的非线性关系:
深度学习模型可以学习复杂的非线性关系,从而提高频率估计的精度。
- 可以自动学习特征:
深度学习模型可以自动学习信号的特征,无需人工设计特征。
- 对噪声和间歇性具有较强的鲁棒性:
通过训练大量的噪声和间歇性数据,深度学习模型可以学习到对噪声和间歇性具有鲁棒性的特征。
然而,基于深度学习的频率估计算法也存在一些局限性:
- 需要大量的训练数据:
深度学习模型需要大量的训练数据才能获得良好的性能。
- 计算复杂度较高:
训练深度学习模型需要大量的计算资源。
- 模型的泛化能力可能较差:
如果训练数据与测试数据存在差异,则模型的泛化能力可能会下降。
研究展望
未来,复指数信号在间歇性和噪声环境下的频率估计仍有许多值得研究的方向:
- 结合稀疏恢复和深度学习:
可以将稀疏恢复和深度学习结合起来,利用稀疏恢复算法对信号进行预处理,去除噪声和间歇性的影响,然后利用深度学习模型进行频率估计。
- 研究自适应的频率估计方法:
可以根据信号的信噪比和间歇性程度,自适应地选择合适的频率估计算法。
- 研究针对特定应用的频率估计算法:
可以针对特定的应用场景,例如通信系统或雷达系统,开发专门的频率估计算法。
- 研究基于压缩感知的频率估计方法:
可以利用压缩感知理论,在信号欠采样的情况下,实现精确的频率估计。
- 开发实时频率估计算法:
针对需要实时处理的场景,例如无线通信和雷达应用,需要开发计算效率更高的频率估计算法。
结论
本文对信号间歇性和噪声同时存在情况下的复指数信号频率估计问题进行了研究。我们分析了传统频率估计算法的局限性,并着重研究了基于稀疏恢复和深度学习的频率估计算法。研究结果表明,这些新型算法在噪声和间歇性环境下具有更好的性能。未来的研究可以集中在结合稀疏恢复和深度学习,开发自适应的频率估计方法,以及研究针对特定应用的频率估计算法。通过不断的研究和探索,我们期望能够开发出更加鲁棒、准确且高效的复指数信号频率估计算法,以满足复杂应用场景的需求。 本文的研究为信号处理领域的发展贡献了一份力量,也为相关领域的应用提供了重要的理论基础和技术支持。
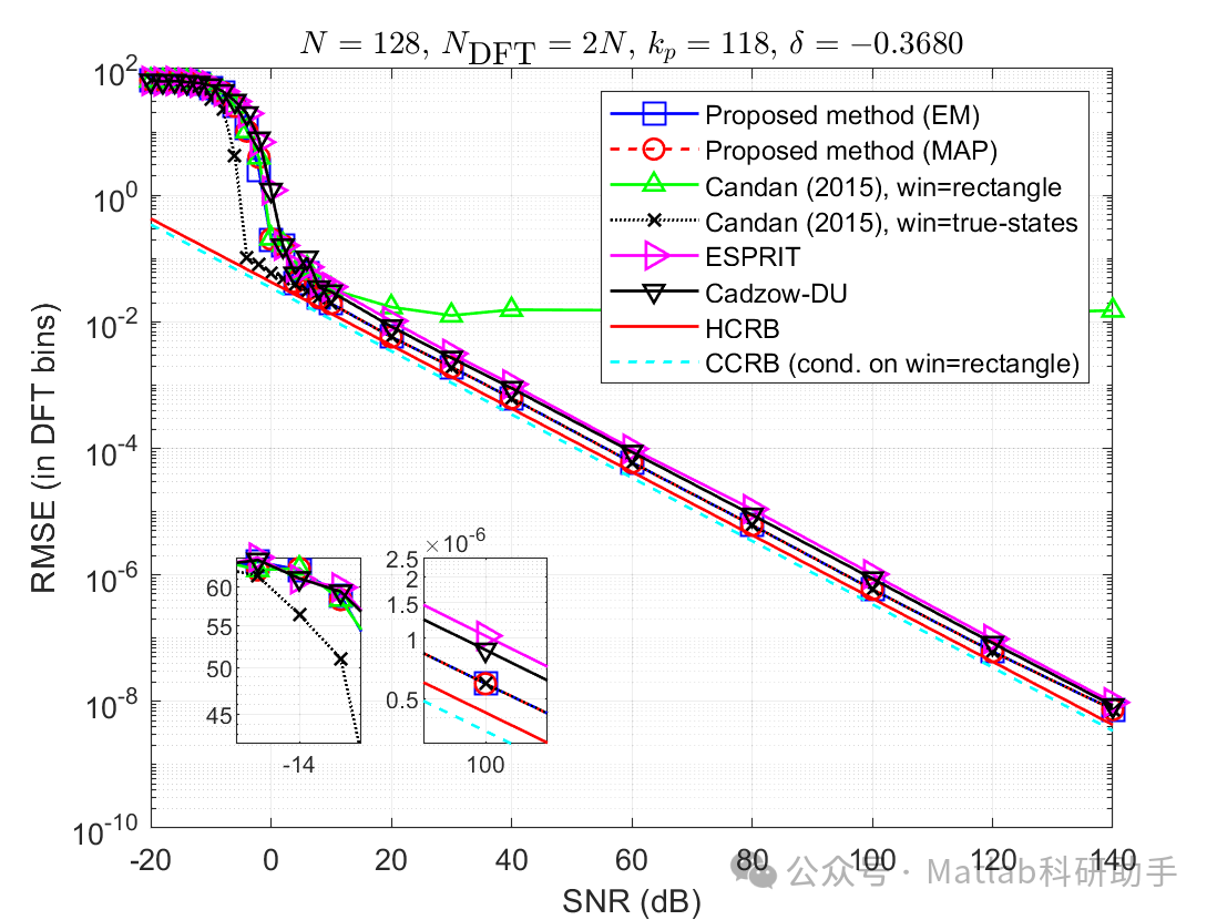
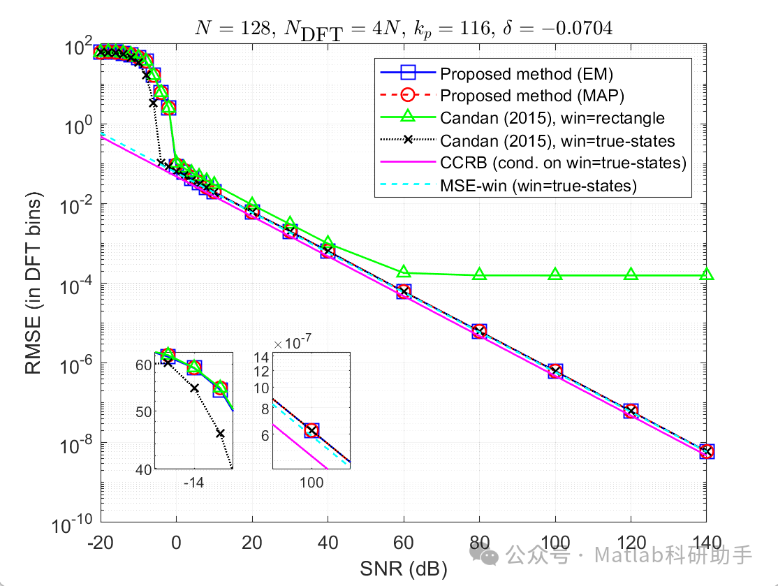
⛳️ 运行结果



🔗 参考文献
[1] 邢彦丽.基于自适应回声状态网络的负荷频率控制研究[D].东北大学,2021.
[2] 赵琳琳.频谱分析的MATLAB实现[J].科教文汇, 2009(36):1.DOI:10.3969/j.issn.1672-7894.2009.36.212.
[3] 杨蓉.复杂噪声环境下时滞非对称双稳系统的随机共振现象研究[D].西安理工大学[2025-04-11].
📣 部分代码
🎈 部分理论引用网络文献,若有侵权联系博主删除
👇 关注我领取海量matlab电子书和数学建模资料
🏆团队擅长辅导定制多种科研领域MATLAB仿真,助力科研梦:
🌈 各类智能优化算法改进及应用
生产调度、经济调度、装配线调度、充电优化、车间调度、发车优化、水库调度、三维装箱、物流选址、货位优化、公交排班优化、充电桩布局优化、车间布局优化、集装箱船配载优化、水泵组合优化、解医疗资源分配优化、设施布局优化、可视域基站和无人机选址优化、背包问题、 风电场布局、时隙分配优化、 最佳分布式发电单元分配、多阶段管道维修、 工厂-中心-需求点三级选址问题、 应急生活物质配送中心选址、 基站选址、 道路灯柱布置、 枢纽节点部署、 输电线路台风监测装置、 集装箱调度、 机组优化、 投资优化组合、云服务器组合优化、 天线线性阵列分布优化、CVRP问题、VRPPD问题、多中心VRP问题、多层网络的VRP问题、多中心多车型的VRP问题、 动态VRP问题、双层车辆路径规划(2E-VRP)、充电车辆路径规划(EVRP)、油电混合车辆路径规划、混合流水车间问题、 订单拆分调度问题、 公交车的调度排班优化问题、航班摆渡车辆调度问题、选址路径规划问题、港口调度、港口岸桥调度、停机位分配、机场航班调度、泄漏源定位
🌈 机器学习和深度学习时序、回归、分类、聚类和降维
2.1 bp时序、回归预测和分类
2.2 ENS声神经网络时序、回归预测和分类
2.3 SVM/CNN-SVM/LSSVM/RVM支持向量机系列时序、回归预测和分类
2.4 CNN|TCN|GCN卷积神经网络系列时序、回归预测和分类
2.5 ELM/KELM/RELM/DELM极限学习机系列时序、回归预测和分类
2.6 GRU/Bi-GRU/CNN-GRU/CNN-BiGRU门控神经网络时序、回归预测和分类
2.7 ELMAN递归神经网络时序、回归\预测和分类
2.8 LSTM/BiLSTM/CNN-LSTM/CNN-BiLSTM/长短记忆神经网络系列时序、回归预测和分类
2.9 RBF径向基神经网络时序、回归预测和分类
2.10 DBN深度置信网络时序、回归预测和分类
2.11 FNN模糊神经网络时序、回归预测
2.12 RF随机森林时序、回归预测和分类
2.13 BLS宽度学习时序、回归预测和分类
2.14 PNN脉冲神经网络分类
2.15 模糊小波神经网络预测和分类
2.16 时序、回归预测和分类
2.17 时序、回归预测预测和分类
2.18 XGBOOST集成学习时序、回归预测预测和分类
2.19 Transform各类组合时序、回归预测预测和分类
方向涵盖风电预测、光伏预测、电池寿命预测、辐射源识别、交通流预测、负荷预测、股价预测、PM2.5浓度预测、电池健康状态预测、用电量预测、水体光学参数反演、NLOS信号识别、地铁停车精准预测、变压器故障诊断
🌈图像处理方面
图像识别、图像分割、图像检测、图像隐藏、图像配准、图像拼接、图像融合、图像增强、图像压缩感知
🌈 路径规划方面
旅行商问题(TSP)、车辆路径问题(VRP、MVRP、CVRP、VRPTW等)、无人机三维路径规划、无人机协同、无人机编队、机器人路径规划、栅格地图路径规划、多式联运运输问题、 充电车辆路径规划(EVRP)、 双层车辆路径规划(2E-VRP)、 油电混合车辆路径规划、 船舶航迹规划、 全路径规划规划、 仓储巡逻
🌈 无人机应用方面
无人机路径规划、无人机控制、无人机编队、无人机协同、无人机任务分配、无人机安全通信轨迹在线优化、车辆协同无人机路径规划
🌈 通信方面
传感器部署优化、通信协议优化、路由优化、目标定位优化、Dv-Hop定位优化、Leach协议优化、WSN覆盖优化、组播优化、RSSI定位优化、水声通信、通信上传下载分配
🌈 信号处理方面
信号识别、信号加密、信号去噪、信号增强、雷达信号处理、信号水印嵌入提取、肌电信号、脑电信号、信号配时优化、心电信号、DOA估计、编码译码、变分模态分解、管道泄漏、滤波器、数字信号处理+传输+分析+去噪、数字信号调制、误码率、信号估计、DTMF、信号检测
🌈电力系统方面
微电网优化、无功优化、配电网重构、储能配置、有序充电、MPPT优化、家庭用电
🌈 元胞自动机方面
交通流 人群疏散 病毒扩散 晶体生长 金属腐蚀
🌈 雷达方面
卡尔曼滤波跟踪、航迹关联、航迹融合、SOC估计、阵列优化、NLOS识别
🌈 车间调度
零等待流水车间调度问题NWFSP 、 置换流水车间调度问题PFSP、 混合流水车间调度问题HFSP 、零空闲流水车间调度问题NIFSP、分布式置换流水车间调度问题 DPFSP、阻塞流水车间调度问题BFSP
👇
941

被折叠的 条评论
为什么被折叠?



