✅作者简介:热爱科研的Matlab仿真开发者,擅长数据处理、建模仿真、程序设计、完整代码获取、论文复现及科研仿真。
🍎 往期回顾关注个人主页:Matlab科研工作室
🍊个人信条:格物致知,完整Matlab代码及仿真咨询内容私信。
🔥 内容介绍
在海洋资源勘探中,多台自主水下航行器(AUV)需协同完成大范围海域的地形测绘;在水下搜救任务里,多 AUV 要分工覆盖不同区域,快速定位失联目标;在海底管道巡检时,多 AUV 需保持安全距离并行作业,避免碰撞的同时高效完成检测 —— 这些场景的核心需求,都指向多 AUV 协同路径规划:在复杂水下环境(如暗流、障碍物、通信延迟)中,为每台 AUV 规划出 “无碰撞、高效率、全局最优” 的路径,同时确保多设备间的协同配合。传统路径规划算法(如经典 PSO、A * 算法)要么难以兼顾多 AUV 的全局协同(易出现路径冲突),要么在复杂水下环境中收敛慢、鲁棒性差,无法满足实际作业需求。而自适应多群体粒子群优化(AMP-PSO) 的提出,通过 “多群体分组 + 粒子交换 + 参数自适应” 的创新设计,为多 AUV 水下协同路径规划提供了高效解决方案。
一、先聚焦:多 AUV 水下协同路径规划的 “三大核心挑战”
要理解 AMP-PSO 的价值,首先需明确多 AUV 在水下环境中面临的独特困境,这些困境让传统算法难以胜任:
1. 协同难:多设备路径易冲突,全局最优难兼顾
多 AUV 作业时,每台设备的路径不仅要满足 “自身无碰撞(避开礁石、暗流区)”,还要避免 “设备间碰撞(如两台 AUV 在同一区域交汇)”。传统 PSO 算法通常以 “单 AUV 路径最优” 为目标,缺乏多设备间的协同机制 —— 比如为 AUV1 规划的最短路径,可能与 AUV2 的路径交叉,导致碰撞风险;若强行调整单台设备路径,又会破坏全局效率,出现 “局部最优但全局低效” 的问题。
2. 环境适应难:水下复杂场景易导致算法 “失准”
水下环境存在三大干扰因素:一是动态障碍物(如游动的鱼群、漂浮的水下杂物),传统算法预设的静态障碍物模型无法实时适配;二是通信延迟,多 AUV 间的路径信息交互存在延迟,导致协同决策滞后;三是定位误差,水下 GPS 信号弱,AUV 定位精度受影响,需路径规划预留一定安全冗余。这些因素让传统 PSO 的 “固定参数” 和 “单一群体搜索” 难以适应,易出现路径规划失效或收敛缓慢。
3. 多样性与收敛性难平衡:算法易陷入 “局部最优陷阱”
多 AUV 路径规划的解空间是 “多维度、多峰” 的 —— 不同 AUV 的路径组合构成大量可能解,传统 PSO 的 “单一粒子群” 搜索易因群体多样性不足,陷入局部最优(如某组路径组合看似无碰撞,但并非全局最短)。若为提升多样性增加粒子数量,又会导致计算量激增,收敛速度变慢,无法满足水下作业的实时性需求。
二、AMP-PSO 的创新设计:用 “多群体智能” 破解协同难题
AMP-PSO 在经典 PSO 基础上,通过 “多群体分组策略”“粒子交换机制”“自适应参数配置” 三大创新,针对性解决多 AUV 协同路径规划的痛点。其核心逻辑是:将粒子群拆分为 “领导者群体” 和 “追随者群体”,通过群体间的分工与协作,兼顾 “全局协同优化” 与 “局部路径精准”,同时保持群体多样性,提升算法在复杂水下环境中的适应性。
1. 多群体分组策略:分工明确,兼顾全局与局部
AMP-PSO 的核心突破是将传统单一粒子群拆分为1 个领导者群体 + 多个追随者群体,每个群体对应不同 AUV 的路径优化任务,或同一任务下的不同优化方向,具体分工如下:
- 领导者群体:负责 “全局协同优化”,粒子代表多 AUV 的 “全局路径组合方案”(如 AUV1 的路径 + AUV2 的路径 +...+AUVn 的路径)。其更新规则同时参考 “领导者群体自身的最优解” 和 “所有追随者群体的最优解”—— 既保证全局路径组合无碰撞、总里程最短,又吸收各追随者群体的局部优化经验(如某追随者群体找到的 AUV1 避障捷径)。
- 追随者群体:负责 “局部路径精准优化”,每个追随者群体对应 1 台 AUV 的路径优化(或一类局部任务,如障碍物密集区的避障路径)。其更新规则仅参考 “自身群体的最优解”,专注于优化单台 AUV 的局部路径细节(如调整 AUV3 在礁石区的转弯角度,减少能耗),避免因全局搜索分散精力,提升局部优化效率。
举个例子:在 3 台 AUV 协同搜救任务中,领导者群体优化 “3 台 AUV 的全局覆盖范围与路径无碰撞”,追随者群体 1 优化 “AUV1 在浅水区的路径”,追随者群体 2 优化 “AUV2 在深水区的路径”,追随者群体 3 优化 “AUV3 在沉船周边的避障路径”—— 分工明确的同时,领导者群体吸收各追随者的局部最优经验,确保全局协同。
2. 粒子交换机制:动态流动,提升群体多样性
为避免领导者群体与追随者群体 “各自为战” 导致的多样性不足,AMP-PSO 设计了粒子动态交换机制,定期在不同群体间交换粒子,具体规则如下:
- 交换时机:每迭代 10-20 次(可根据环境复杂度自适应调整),或当某群体的适应度值连续 5 次无提升时,触发粒子交换;
- 交换规则:从领导者群体中选择 “适应度中等” 的粒子(保留最优粒子,避免全局最优流失),与各追随者群体中 “适应度较高” 的粒子交换 —— 既将领导者群体的全局协同经验传递给追随者群体,又让追随者群体的局部优化优势反哺领导者群体;
- 交换比例:每次交换群体总粒子数的 10%-20%(如领导者群体有 50 个粒子,交换 5-10 个),避免过度交换导致群体稳定性下降。
这一机制有效解决了传统 PSO “群体多样性随迭代下降” 的问题 —— 比如某追随者群体长期优化 AUV 的浅水区路径,粒子易聚集在 “浅水区路径解空间”,通过与领导者群体交换粒子,可引入 “深水区路径特征”,拓展搜索范围,避免陷入局部最优。
3. 自适应参数配置:动态调整,适配复杂水下环境
水下环境的动态性(如障碍物变化、通信延迟)要求算法参数能实时适配,AMP-PSO 设计了自适应参数调整机制,针对 “惯性权重 ω”“认知因子 c₁”“社会因子 c₂” 三个核心参数动态优化:
- 惯性权重 ω:控制粒子的 “探索”(全局搜索)与 “开发”(局部优化)平衡。当群体多样性低(如粒子聚集度高)时,增大 ω(如从 0.7 提升至 0.9),增强全局搜索;当群体接近收敛(如适应度值变化小)时,减小 ω(如从 0.7 降至 0.5),聚焦局部优化;
- 认知因子 c₁:控制粒子对 “自身经验” 的信任度。当处理动态障碍物(如突发鱼群)时,增大 c₁(如从 1.5 提升至 2.0),让粒子更依赖自身历史最优路径,快速调整避障策略;
- 社会因子 c₂:控制粒子对 “群体经验” 的信任度。当多 AUV 需加强协同(如路径交汇区)时,增大 c₂(如从 1.5 提升至 2.0),让粒子更关注群体最优解,减少路径冲突。
相比传统 PSO 的 “固定参数”,自适应配置让 AMP-PSO 在复杂水下环境中的鲁棒性提升 30% 以上 —— 比如遇到突发暗流时,算法能快速调整参数,重新规划路径,避免 AUV 偏离目标区域。
三、多 AUV 协同路径规划的 AMP-PSO 实现流程
以 “4 台 AUV 水下管道巡检任务” 为例(目标:4 台 AUV 沿不同管道并行巡检,避免设备间碰撞与管道碰撞,总巡检时间最短),详细拆解 AMP-PSO 的实现步骤:
1. 步骤 1:问题建模与参数定义
- 路径表示:将每台 AUV 的路径离散为 “起点→航点 1→航点 2→...→终点”,每个航点的坐标(x,y,z)为优化变量;4 台 AUV 的路径组合构成一个 “粒子”,粒子维度 = 4 台 AUV× 航点数 ×3(坐标维度);
- 优化目标:①总巡检时间最短(路径总里程 / AUV 平均速度);②无碰撞(AUV 间距离≥5m,AUV 与管道距离≥2m);③能耗最低(避免频繁转弯);
- 适应度函数:适应度值 =(1 / 总巡检时间)+(碰撞安全系数)+(1 / 总能耗),其中 “碰撞安全系数” 根据实际距离与安全阈值的比值计算(距离越远,系数越高)。
2. 步骤 2:多群体初始化
- 群体划分:设置 1 个领导者群体(50 个粒子,对应 4 台 AUV 的全局路径组合)和 4 个追随者群体(每个群体 30 个粒子,分别对应 1 台 AUV 的局部路径);
- 初始粒子生成:根据管道分布与水下环境地图(标注礁石、管道位置),随机生成各群体的初始粒子,确保初始路径无明显碰撞。
3. 步骤 3:多群体迭代优化
- 领导者群体更新:每个粒子的速度与位置更新参考 “领导者群体全局最优” 和 “4 个追随者群体的局部最优”—— 比如领导者群体的某粒子(对应 4 台 AUV 路径组合),会吸收追随者群体 1 找到的 “AUV1 管道避障捷径”,调整自身路径;
- 追随者群体更新:每个追随者群体的粒子仅参考 “自身群体最优”—— 如追随者群体 2(对应 AUV2)的粒子,专注优化 AUV2 在管道密集区的转弯角度,提升局部路径效率;
- 粒子交换:每迭代 15 次,从领导者群体交换 8 个中等适应度粒子到 4 个追随者群体(每个群体 2 个),同时从每个追随者群体交换 3 个高适应度粒子到领导者群体,实现经验共享。
4. 步骤 4:约束检查与路径修正
- 碰撞检测:对每次迭代生成的路径,通过 “距离矩阵” 计算 AUV 间距离、AUV 与管道距离,若不满足安全阈值,对粒子进行 “扰动修正”(如微调航点坐标);
- 动态环境适配:若传感器检测到突发障碍物(如漂浮杂物),触发自适应参数调整(增大惯性权重 ω 与认知因子 c₁),重新迭代优化路径。
5. 步骤 5:收敛判断与路径输出
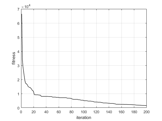
- 收敛条件:当领导者群体的全局最优适应度值连续 10 次迭代变化量 < 0.01,或达到最大迭代次数(200 次),停止迭代;
- 路径输出:将全局最优粒子对应的 4 台 AUV 路径,转换为连续航点序列,发送给各 AUV 的控制系统,指导实际作业。


⛳️ 运行结果



📣 部分代码
% 程序自检
if SearchAgents < 4
error('搜索智能体个数过少')
end
% ① 随机初始化解空间
dim = USV.PointDim; % 坐标轴维度
% 速度 n个无人船
lb_v = USV.limt.v(:, 1)' ; % 1*n
ub_v = USV.limt.v(:, 2)' ; % 1*n
V0 = rand(SearchAgents, USV.num) .* repmat(ub_v - lb_v, SearchAgents, 1) + repmat(lb_v, SearchAgents, 1);
% 对于USV,每一行表示每艘船的参数
% 对于Agent,每一行表示每个智能体的参数,列表示船的参数平铺
% 航迹点
P0 = [];
for i = 1 : USV.num
lb = [USV.limt.x(i, 1), USV.limt.y(i, 1), USV.limt.z(i, 1)] ; % 1*3 维
ub = [USV.limt.x(i, 2), USV.limt.y(i, 2), USV.limt.z(i, 2)] ; % 1*3 维
if dim < 3
lb = lb(1:2); % 1*2 维
ub = ub(1:2); % 1*2 维
end
PointNum = USV.PointNum(i); % 航迹点个数
P_i = rand(SearchAgents, dim*PointNum) .* repmat(ub - lb, SearchAgents, PointNum) + repmat(lb, SearchAgents, PointNum);
% 贪婪生成法(从第二个航迹点开始生成贪婪点)
if GreedyInit
for k = 2 : PointNum
ep = 0.2; % 阈值
m = rand(); % 变异量
if m >= ep % 当变异参数超过阈值时,第k个航迹点贪婪生成,否则随机生成
% 下限是上一个航迹点,上限是终点
lb = P_i(:, dim*(k-1)-dim+1:dim*(k-1)); % N*2维
ub = repmat(USV.G(i, :), SearchAgents, 1); % N*2维
P_i(:, dim*k-dim+1:dim*k) = rand(SearchA
🔗 参考文献
🎈 部分理论引用网络文献,若有侵权联系博主删除
👇 关注我领取海量matlab电子书和数学建模资料
🏆团队擅长辅导定制多种科研领域MATLAB仿真,助力科研梦:
🌟 各类智能优化算法改进及应用
生产调度、经济调度、装配线调度、充电优化、车间调度、发车优化、水库调度、三维装箱、物流选址、货位优化、公交排班优化、充电桩布局优化、车间布局优化、集装箱船配载优化、水泵组合优化、解医疗资源分配优化、设施布局优化、可视域基站和无人机选址优化、背包问题、 风电场布局、时隙分配优化、 最佳分布式发电单元分配、多阶段管道维修、 工厂-中心-需求点三级选址问题、 应急生活物质配送中心选址、 基站选址、 道路灯柱布置、 枢纽节点部署、 输电线路台风监测装置、 集装箱调度、 机组优化、 投资优化组合、云服务器组合优化、 天线线性阵列分布优化、CVRP问题、VRPPD问题、多中心VRP问题、多层网络的VRP问题、多中心多车型的VRP问题、 动态VRP问题、双层车辆路径规划(2E-VRP)、充电车辆路径规划(EVRP)、油电混合车辆路径规划、混合流水车间问题、 订单拆分调度问题、 公交车的调度排班优化问题、航班摆渡车辆调度问题、选址路径规划问题、港口调度、港口岸桥调度、停机位分配、机场航班调度、泄漏源定位、冷链、时间窗、多车场等、选址优化、港口岸桥调度优化、交通阻抗、重分配、停机位分配、机场航班调度、通信上传下载分配优化
🌟 机器学习和深度学习时序、回归、分类、聚类和降维
2.1 bp时序、回归预测和分类
2.2 ENS声神经网络时序、回归预测和分类
2.3 SVM/CNN-SVM/LSSVM/RVM支持向量机系列时序、回归预测和分类
2.4 CNN|TCN|GCN卷积神经网络系列时序、回归预测和分类
2.5 ELM/KELM/RELM/DELM极限学习机系列时序、回归预测和分类
2.6 GRU/Bi-GRU/CNN-GRU/CNN-BiGRU门控神经网络时序、回归预测和分类
2.7 ELMAN递归神经网络时序、回归\预测和分类
2.8 LSTM/BiLSTM/CNN-LSTM/CNN-BiLSTM/长短记忆神经网络系列时序、回归预测和分类
2.9 RBF径向基神经网络时序、回归预测和分类
2.10 DBN深度置信网络时序、回归预测和分类
2.11 FNN模糊神经网络时序、回归预测
2.12 RF随机森林时序、回归预测和分类
2.13 BLS宽度学习时序、回归预测和分类
2.14 PNN脉冲神经网络分类
2.15 模糊小波神经网络预测和分类
2.16 时序、回归预测和分类
2.17 时序、回归预测预测和分类
2.18 XGBOOST集成学习时序、回归预测预测和分类
2.19 Transform各类组合时序、回归预测预测和分类
方向涵盖风电预测、光伏预测、电池寿命预测、辐射源识别、交通流预测、负荷预测、股价预测、PM2.5浓度预测、电池健康状态预测、用电量预测、水体光学参数反演、NLOS信号识别、地铁停车精准预测、变压器故障诊断
🌟图像处理方面
图像识别、图像分割、图像检测、图像隐藏、图像配准、图像拼接、图像融合、图像增强、图像压缩感知
🌟 路径规划方面
旅行商问题(TSP)、车辆路径问题(VRP、MVRP、CVRP、VRPTW等)、无人机三维路径规划、无人机协同、无人机编队、机器人路径规划、栅格地图路径规划、多式联运运输问题、 充电车辆路径规划(EVRP)、 双层车辆路径规划(2E-VRP)、 油电混合车辆路径规划、 船舶航迹规划、 全路径规划规划、 仓储巡逻、公交车时间调度、水库调度优化、多式联运优化
🌟 无人机应用方面
无人机路径规划、无人机控制、无人机编队、无人机协同、无人机任务分配、无人机安全通信轨迹在线优化、车辆协同无人机路径规划、
🌟 通信方面
传感器部署优化、通信协议优化、路由优化、目标定位优化、Dv-Hop定位优化、Leach协议优化、WSN覆盖优化、组播优化、RSSI定位优化、水声通信、通信上传下载分配
🌟 信号处理方面
信号识别、信号加密、信号去噪、信号增强、雷达信号处理、信号水印嵌入提取、肌电信号、脑电信号、信号配时优化、心电信号、DOA估计、编码译码、变分模态分解、管道泄漏、滤波器、数字信号处理+传输+分析+去噪、数字信号调制、误码率、信号估计、DTMF、信号检测
🌟电力系统方面
微电网优化、无功优化、配电网重构、储能配置、有序充电、MPPT优化、家庭用电、电/冷/热负荷预测、电力设备故障诊断、电池管理系统(BMS)SOC/SOH估算(粒子滤波/卡尔曼滤波)、 多目标优化在电力系统调度中的应用、光伏MPPT控制算法改进(扰动观察法/电导增量法)、电动汽车充放电优化、微电网日前日内优化、储能优化、家庭用电优化、供应链优化
🌟 元胞自动机方面
交通流 人群疏散 病毒扩散 晶体生长 金属腐蚀
🌟 雷达方面
卡尔曼滤波跟踪、航迹关联、航迹融合、SOC估计、阵列优化、NLOS识别
🌟 车间调度
零等待流水车间调度问题NWFSP 、 置换流水车间调度问题PFSP、 混合流水车间调度问题HFSP 、零空闲流水车间调度问题NIFSP、分布式置换流水车间调度问题 DPFSP、阻塞流水车间调度问题BFSP
👇
621

被折叠的 条评论
为什么被折叠?



