文章目录
- 一、理论基础
-
- 1、算法原理
- 2、算法过程
- 二、仿真实验
- 三、参考文献
- 四、Matlab仿真程序
1、算法原理


2、算法过程
WDO算法的实现流程:
1) 初始化空气质点的个数和维度,定义最大迭代次数和相关的参数常量,设置搜索边界(位置和速度),设置相应的测试函数。
2) 随机初始化各个质点的初始信息(位置和速度),计算初始的压力值并根据压力值的大小升序排列。
3) 开始迭代。更新空气质点的速度和位置,计算质点压力值并以升序方式重新排列种群顺序。
4) 迭代终止。判断是否满足终止条件,如果不满足就返回步骤3),否则就终止迭代,最后搜索到的最优位置就是最优解。
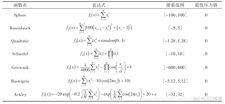
对表2列出的七个测试函数进行测试,每个函数维度均为30。
表2 测试函数简介
在实验过程中,各个算法的种群个数N NN设置为30,最大迭代次数设置为500,测试函数的相应搜索范围如表2所示,搜索速度的范围对应于位置搜索范围的百分之一。在WDO算法中,常量参数α = 0.4 , g = 0.2 , R T = 3 , c = 0.4 \alpha=0.4,g=0.2,RT=3,c=0.4α=0.4,g=0.2,RT=3,c=0.4。迭代收敛曲线如下图所示:






[1] Bayraktar Z , Komurcu M , Werner D H . Wind Driven Optimization (WDO): A novel nature-inspired optimization algorithm and its application to electromagnetics[C]// IEEE. IEEE, 2010.
[2] 杜进生, 张天能, 周赤伟. 基于二阶泰勒级数展开和风驱动优化算法的结构有限元模型修正[J]. 建筑结构学报, 2019, 040(002):206-214.
[3] 朱祥兵,李垣江,王建华,武汉卿. 基于Levy飞行机制的风驱动优化算法[J]. 计算机与数字工程, 2018, 46(10): 1943-1950,1956.
WDO算法详解与应用
23万+

被折叠的 条评论
为什么被折叠?



