💥💥💞💞欢迎来到本博客❤️❤️💥💥
🏆博主优势:🌞🌞🌞博客内容尽量做到思维缜密,逻辑清晰,为了方便读者。
⛳️座右铭:行百里者,半于九十。
📋📋📋本文目录如下:🎁🎁🎁
目录
💥1 概述
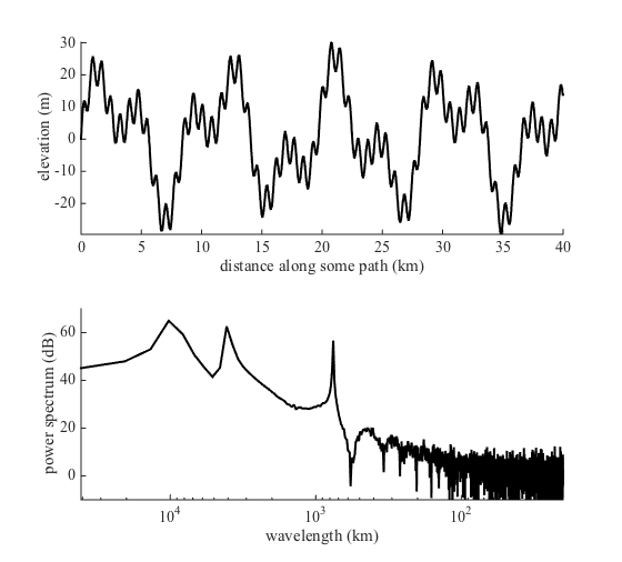
巴特沃兹滤波器是一种常用的数字滤波器,它被广泛应用于信号处理和通信领域。使用巴特沃兹滤波器的1D零相位频率滤波,可以有效地对一维信号进行频率或波长过滤,从而实现信号的频域处理。
这种滤波器的优势在于其简化了滤波过程,使得滤波器的设计和实现更加方便快捷。通过调整滤波器的参数,可以实现不同类型的滤波效果,包括低通、高通、带通和带阻滤波器。
低通滤波器可以通过滤除高频成分,使得信号中的低频成分得以保留。这种滤波器常用于去除信号中的噪声或不需要的高频干扰。
高通滤波器则相反,它通过滤除低频成分,使得信号中的高频成分得以保留。这种滤波器常用于突出信号中的高频特征,如边缘检测和图像增强等应用。
带通滤波器可以同时滤除低频和高频成分,只保留中间的频率范围。这种滤波器常用于突出信号中的特定频段,如音频信号中的人声频率范围。
带阻滤波器则相反,它可以滤除特定的频率范围,而保留其他频率成分。这种滤波器常用于去除信号中的特定频率干扰,如陷波器。
总之,巴特沃兹滤波器的1D零相位频率滤波提供了多种滤波效果,可以根据具体需求选择不同类型的滤波器,从而实现对一维信号的频率或波长过滤。这种滤波器的应用广泛,并且具有设计简单、实现方便的优势,因此在信号处理和通信领域得到了广泛的应用。
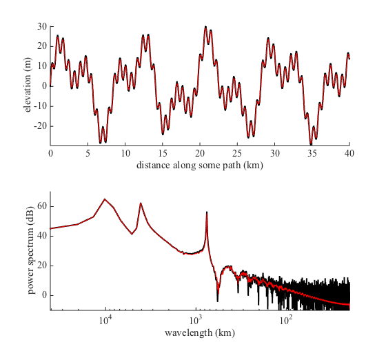
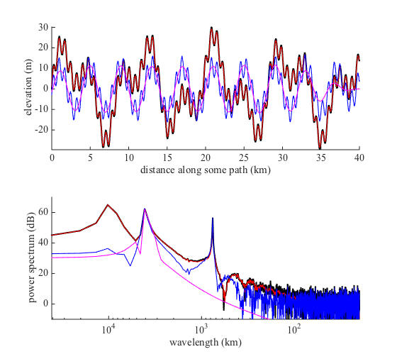
📚2 运行结果










部分代码:
%
% Perhaps you want to remove high-frequency noise and the low frequencies.
% You can do that by filtering the signal twice, or with a bandpass filter.
% We can retain only that middle peak in the power spectrum by bandpass
% filtering out all wavelengths shorter than 3000 meters or longer than
ybp = filter1('bp',y,'x',x,'lambdac',[3000 5000],'order',3);
subplot(211)
plot(x/1000,ybp,'m')
subplot(212)
plotpsd(ybp,x,'m','db','log','lambda')
%%
% Perhaps you want to remove only a range of frequencies. You can do that
% by subtracting a bandpassed signal from the original signal a la:
ybs = y - ybp;
%%
% or you can create a bandstop filter directly with using the same syntax
% as we did with the bandpass filter:
ybs = filter1('bs',y,'x',x,'lambdac',[3000 5000],'order',3);
subplot(211)
plot(x/1000,ybs,'color',[.98 .45 .02])
subplot(212)
plotpsd(ybs,x,'color',[.98 .45 .02],'db','log','lambda')
legend('original','lowpass','highpass',...
'bandpass','bandstop','location','northeast')
legend boxoff
🎉3 参考文献
文章中一些内容引自网络,会注明出处或引用为参考文献,难免有未尽之处,如有不妥,请随时联系删除。
[1]赵晓群,张洁.巴特沃斯低通滤波器的实现方法研究[J].大连民族学院学报, 2013, 15(1):4.DOI:10.3969/j.issn.1009-315X.2013.01.017.
[2]孔祥伟.巴特沃兹有源滤波器设计中的灵敏度分析[J].莱阳农学院学报, 2004.DOI:CNKI:SUN:LYXI.0.2004-03-022.
[3]李彦哲,关恩明,张显民.巴特沃兹有源低通滤波器设计[J].黑龙江科技信息, 2011(22):1.DOI:CNKI:SUN:HLKX.0.2011-22-017.
巴特沃兹滤波器在1D信号处理中的应用与Matlab实现,
本文介绍了巴特沃兹滤波器在信号处理中的应用,重点讲解了1D零相位频率滤波如何实现低通、高通、带通和带阻滤波,以及Matlab代码示例。滤波器设计简便,适用于噪声去除和特定频段选择。

1059

被折叠的 条评论
为什么被折叠?



