✅作者简介:热爱科研的Matlab仿真开发者,擅长数据处理、建模仿真、程序设计、完整代码获取、论文复现及科研仿真。
🍎 往期回顾关注个人主页:Matlab科研工作室
🍊个人信条:格物致知,完整Matlab代码及仿真咨询内容私信。
🔥 内容介绍
在诸多科学与工程领域中,数据采集是获取信息的基本手段。这些原始数据往往不可避免地受到各种噪声的污染,这些噪声可能来源于传感器本身的局限性、环境干扰、传输过程中的失真等。噪声的存在会显著降低数据的质量,掩盖真实信号的特征,对后续的数据分析、模式识别、决策制定等工作产生负面影响。因此,对采集到的数据进行有效的滤波处理,去除或抑制噪声,提取有效信号,是数据处理流程中至关重要的一环。
数字滤波技术作为信号处理的核心工具之一,提供了多种去除噪声和增强信号的方法。频率滤波是数字滤波的重要分支,其基本思想是利用不同频率分量在信号与噪声中的分布差异。通过设计滤波器,可以有选择地允许或抑制特定频率范围内的信号通过,从而实现噪声的去除和信号的提取。例如,低通滤波器可以去除高频噪声,高通滤波器可以去除低频噪声,带通滤波器可以提取特定频率范围内的信号。
在频率滤波中,滤波器的相位特性是一个需要重点关注的问题。传统的因果滤波器(即输出仅依赖于当前和过去的输入)往往会引入相位延迟。相位延迟会改变信号不同频率分量之间的相对时间关系,导致信号波形的失真。对于某些应用,如时域分析、特征提取、模式识别等,相位失真是不可接受的。例如,在生物医学信号处理中,心电图(ECG)或脑电图(EEG)信号的波形特征具有重要的诊断意义,相位失真可能会导致波形畸变,影响医生对疾病的判断。
为了解决相位失真问题,零相位滤波技术应运而生。零相位滤波器的核心思想是消除滤波过程中的相位延迟,使得输出信号与输入信号在时间上保持同步,波形形状得到保留。实现零相位滤波的常用方法是对数据进行两次滤波:一次是正向滤波,另一次是反向滤波。正向滤波引入的相位延迟可以通过反向滤波来抵消,从而实现整体的零相位特性。
本文将聚焦于巴特沃兹滤波器在1D零相位频率滤波中的应用。巴特沃兹滤波器因其在通带内的频率响应平坦特性而广受青睐,被广泛应用于各种信号处理场景。本文将深入探讨巴特沃兹滤波器的工作原理、零相位滤波的实现方法,并对使用巴特沃兹滤波器进行1D零相位频率滤波的优势、局限性以及实际应用进行详细论述。
巴特沃兹滤波器及其特性
巴特沃兹滤波器是一种模拟或数字滤波器,其特点是在通带内具有最大的平坦度。这意味着在通带范围内,滤波器的幅度响应尽可能接近于常数,避免了幅度波动,从而能够更好地保留通带内的信号。
巴特沃兹滤波器在通带内的平坦特性是其主要的优势之一。这使得它在需要精确保留通带内信号幅度的应用中表现良好。然而,与其他一些滤波器(如切比雪夫滤波器)相比,巴特沃兹滤波器在过渡带的衰减速度相对较慢,为了获得陡峭的过渡带,通常需要更高的阶数,而高阶滤波器可能会增加计算负担和实现复杂性。
1D零相位频率滤波的实现
如前所述,实现零相位滤波的常用方法是使用非因果滤波技术,最典型的是通过对数据进行正向和反向滤波的组合。
将巴特沃兹滤波器应用于零相位滤波时,首先需要设计一个巴特沃兹滤波器(通常是数字滤波器),确定其阶数和截止频率。然后按照上述正向和反向滤波的步骤对数据进行处理。值得注意的是,由于零相位滤波是对整个数据序列进行处理,因此它是一种离线滤波方法,需要先采集完整的数据才能进行处理。这与实时滤波不同,实时滤波可以在数据采集的同时进行。
使用巴特沃兹滤波器进行1D零相位频率滤波的优势与考量
使用巴特沃兹滤波器进行1D零相位频率滤波具有以下优势:
- 零相位特性:
这是最重要的优势。通过正向和反向滤波,消除了滤波过程中的相位延迟,保留了信号的波形形状,这对于时域分析和特征提取至关重要。
- 通带平坦性:
巴特沃兹滤波器在通带内具有最大的平坦度,能够最大限度地保留通带内信号的幅度,避免了幅度波动对信号的失真。
- 易于设计和实现:
巴特沃兹滤波器的设计相对简单,有成熟的设计方法和工具可供使用。在数字信号处理中,可以使用标准的滤波函数(如 Matlab 中的
butter和filtfilt函数)轻松实现。 - 幅度响应可控:
通过选择滤波器的阶数和截止频率,可以精确控制滤波器的幅度响应,从而有效地分离不同频率的信号和噪声。
然而,使用巴特沃兹滤波器进行零相位滤波也存在一些需要考虑的方面:
- 离线处理:
零相位滤波是一种离线处理方法,需要对整个数据序列进行处理。这使得它不适用于需要实时滤波的应用。
- 边缘效应:
在正向和反向滤波过程中,由于滤波器具有有限的冲击响应长度,会在数据序列的起始和结束部分产生边缘效应。这些边缘效应可能会导致滤波结果在数据两端的失真。可以通过对数据进行适当的填充(如零填充、对称填充等)来减轻边缘效应,但这也会增加处理的复杂性。
- 计算量增加:
零相位滤波需要进行两次滤波操作,因此计算量是单次滤波的两倍。对于处理大量数据或在计算资源受限的环境中,这可能是一个需要考虑的因素。
- 过渡带特性:
相对于其他类型的滤波器(如切比雪夫滤波器),巴特沃兹滤波器在过渡带的衰减速度相对较慢。在需要非常陡峭的过渡带来实现严格的频率分离时,可能需要较高的滤波器阶数,这会增加计算负担和边缘效应的程度。
- 幅度响应平方:
零相位滤波后的幅度响应是原滤波器幅度响应的平方。这会使得通带的幅度衰减变小(更接近于1),而阻带的衰减变大。虽然通常这是有利的,但在某些需要精确控制幅度增益的应用中,需要额外进行幅度校正。
实际应用示例
巴特沃兹滤波器在1D零相位频率滤波中的应用非常广泛,涵盖了多种科学与工程领域。以下是一些典型的应用示例:
- 生物医学信号处理:
在 ECG、EEG、肌电图(EMG)等生物医学信号处理中,经常需要去除工频干扰(50/60 Hz)或其他频率范围的噪声。使用零相位滤波器可以去除噪声的同时保留信号的波形特征,这对于疾病诊断和信号分析至关重要。例如,使用低通巴特沃兹滤波器去除高频肌电噪声,同时保持QRS波的形态。
- 地球物理勘探:
在地震数据处理中,需要去除低频噪声(如地面滚振)和高频噪声。零相位滤波可以提高地震记录的信噪比,并保持地震波的旅行时和波形特征,这对于地下结构的成像和解释至关重要。
- 语音信号处理:
在语音增强或特征提取中,可能需要去除环境噪声或特定频率的干扰。零相位滤波可以帮助去除噪声,同时保留语音信号的时域波形和频谱特征。
- 机械振动分析:
在分析机械设备的振动信号时,需要去除背景噪声或提取特定频率的振动成分。零相位滤波可以用于过滤掉不需要的频率分量,同时保留振动信号的真实波形,有助于故障诊断和状态监测。
- 金融数据分析:
在对金融时间序列数据进行分析时,可能需要去除高频波动或低频趋势。零相位滤波可以用于平滑数据或提取特定周期的成分,但需要注意的是,在处理金融数据时,过度滤波可能会导致信息损失。
在这些应用中,选择合适的巴特沃兹滤波器阶数和截止频率是关键。通常需要结合信号的频谱特性、噪声的频谱分布以及具体应用的需求来确定滤波器的参数。例如,在去除工频干扰时,截止频率应设置在工频附近,并且滤波器的过渡带应足够窄以有效衰减工频信号。
结论
巴特沃兹滤波器在1D零相位频率滤波中扮演着重要的角色。其通带平坦性和易于实现的零相位特性使其成为许多需要保留信号波形形状的信号处理应用的理想选择。通过对数据进行正向和反向滤波,可以有效地去除噪声,提高信号质量,并消除滤波引入的相位延迟,从而保留信号的时域特征。
然而,使用巴特沃兹滤波器进行零相位滤波也需要考虑其离线处理、边缘效应、计算量以及过渡带特性等方面的局限性。在实际应用中,需要根据具体的信号特性、噪声类型和应用需求,权衡滤波器的优势和局限性,选择合适的滤波器参数和处理策略。
未来的研究可以进一步探索如何优化零相位滤波过程中的边缘效应处理方法,以及如何将巴特沃兹滤波器与其他滤波技术相结合,以应对更复杂的噪声环境和信号特性。此外,随着实时信号处理需求的不断增加,研究如何近似实现巴特沃兹滤波器的实时零相位特性也是一个重要的研究方向。
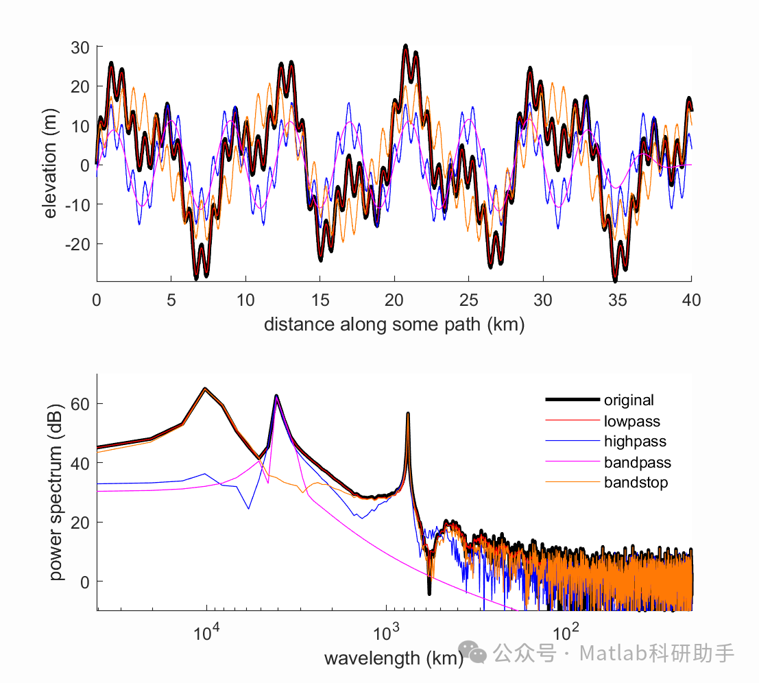
⛳️ 运行结果




🔗 参考文献
[1] 田桂珍,卢栋,刘广忱,等.基于零相位低通滤波器的混合储能平抑直驱风电机组功率波动控制策略的研究[J].太阳能学报, 2021, 42(6):7.DOI:10.19912/j.0254-0096.tynxb.2020-0267.
[2] 吕洋.振动机械中偏心转子旋转相位控制研究[D].辽宁科技大学,2023.
[3] 邢园丁,邹虹,杨德猛,等.零相位滤波器在基于激光多普勒效应的动态位移信号处理中的应用[J].电子测量技术, 2009(6):3.DOI:10.3969/j.issn.1002-7300.2009.06.013.
📣 部分代码
🎈 部分理论引用网络文献,若有侵权联系博主删除
👇 关注我领取海量matlab电子书和数学建模资料
🏆团队擅长辅导定制多种科研领域MATLAB仿真,助力科研梦:
🌈 各类智能优化算法改进及应用
生产调度、经济调度、装配线调度、充电优化、车间调度、发车优化、水库调度、三维装箱、物流选址、货位优化、公交排班优化、充电桩布局优化、车间布局优化、集装箱船配载优化、水泵组合优化、解医疗资源分配优化、设施布局优化、可视域基站和无人机选址优化、背包问题、 风电场布局、时隙分配优化、 最佳分布式发电单元分配、多阶段管道维修、 工厂-中心-需求点三级选址问题、 应急生活物质配送中心选址、 基站选址、 道路灯柱布置、 枢纽节点部署、 输电线路台风监测装置、 集装箱调度、 机组优化、 投资优化组合、云服务器组合优化、 天线线性阵列分布优化、CVRP问题、VRPPD问题、多中心VRP问题、多层网络的VRP问题、多中心多车型的VRP问题、 动态VRP问题、双层车辆路径规划(2E-VRP)、充电车辆路径规划(EVRP)、油电混合车辆路径规划、混合流水车间问题、 订单拆分调度问题、 公交车的调度排班优化问题、航班摆渡车辆调度问题、选址路径规划问题、港口调度、港口岸桥调度、停机位分配、机场航班调度、泄漏源定位
🌈 机器学习和深度学习时序、回归、分类、聚类和降维
2.1 bp时序、回归预测和分类
2.2 ENS声神经网络时序、回归预测和分类
2.3 SVM/CNN-SVM/LSSVM/RVM支持向量机系列时序、回归预测和分类
2.4 CNN|TCN|GCN卷积神经网络系列时序、回归预测和分类
2.5 ELM/KELM/RELM/DELM极限学习机系列时序、回归预测和分类
2.6 GRU/Bi-GRU/CNN-GRU/CNN-BiGRU门控神经网络时序、回归预测和分类
2.7 ELMAN递归神经网络时序、回归\预测和分类
2.8 LSTM/BiLSTM/CNN-LSTM/CNN-BiLSTM/长短记忆神经网络系列时序、回归预测和分类
2.9 RBF径向基神经网络时序、回归预测和分类
2.10 DBN深度置信网络时序、回归预测和分类
2.11 FNN模糊神经网络时序、回归预测
2.12 RF随机森林时序、回归预测和分类
2.13 BLS宽度学习时序、回归预测和分类
2.14 PNN脉冲神经网络分类
2.15 模糊小波神经网络预测和分类
2.16 时序、回归预测和分类
2.17 时序、回归预测预测和分类
2.18 XGBOOST集成学习时序、回归预测预测和分类
2.19 Transform各类组合时序、回归预测预测和分类
方向涵盖风电预测、光伏预测、电池寿命预测、辐射源识别、交通流预测、负荷预测、股价预测、PM2.5浓度预测、电池健康状态预测、用电量预测、水体光学参数反演、NLOS信号识别、地铁停车精准预测、变压器故障诊断
🌈图像处理方面
图像识别、图像分割、图像检测、图像隐藏、图像配准、图像拼接、图像融合、图像增强、图像压缩感知
🌈 路径规划方面
旅行商问题(TSP)、车辆路径问题(VRP、MVRP、CVRP、VRPTW等)、无人机三维路径规划、无人机协同、无人机编队、机器人路径规划、栅格地图路径规划、多式联运运输问题、 充电车辆路径规划(EVRP)、 双层车辆路径规划(2E-VRP)、 油电混合车辆路径规划、 船舶航迹规划、 全路径规划规划、 仓储巡逻
🌈 无人机应用方面
无人机路径规划、无人机控制、无人机编队、无人机协同、无人机任务分配、无人机安全通信轨迹在线优化、车辆协同无人机路径规划
🌈 通信方面
传感器部署优化、通信协议优化、路由优化、目标定位优化、Dv-Hop定位优化、Leach协议优化、WSN覆盖优化、组播优化、RSSI定位优化、水声通信、通信上传下载分配
🌈 信号处理方面
信号识别、信号加密、信号去噪、信号增强、雷达信号处理、信号水印嵌入提取、肌电信号、脑电信号、信号配时优化、心电信号、DOA估计、编码译码、变分模态分解、管道泄漏、滤波器、数字信号处理+传输+分析+去噪、数字信号调制、误码率、信号估计、DTMF、信号检测
🌈电力系统方面
微电网优化、无功优化、配电网重构、储能配置、有序充电、MPPT优化、家庭用电
🌈 元胞自动机方面
交通流 人群疏散 病毒扩散 晶体生长 金属腐蚀
🌈 雷达方面
卡尔曼滤波跟踪、航迹关联、航迹融合、SOC估计、阵列优化、NLOS识别
🌈 车间调度
零等待流水车间调度问题NWFSP 、 置换流水车间调度问题PFSP、 混合流水车间调度问题HFSP 、零空闲流水车间调度问题NIFSP、分布式置换流水车间调度问题 DPFSP、阻塞流水车间调度问题BFSP
👇
1万+

被折叠的 条评论
为什么被折叠?



