✅作者简介:热爱科研的Matlab仿真开发者,擅长数据处理、建模仿真、程序设计、完整代码获取、论文复现及科研仿真。
🍎 往期回顾关注个人主页:Matlab科研工作室
🍊个人信条:格物致知,完整Matlab代码及仿真咨询内容私信。
🔥 内容介绍
在配电网的运行与规划中,最优潮流(Optimal Power Flow, OPF)计算是实现经济高效、安全稳定供电的核心工具。它旨在在满足网络约束、设备容量约束等条件下,通过优化有功功率、无功功率、节点电压等变量,实现最小化网损、发电成本或最大化供电可靠性等目标。然而,配电网具有辐射状结构、高 R/X 比、节点数量多等特点,使得传统的最优潮流计算面临非线性、非凸性带来的求解困难,而二阶锥松弛(Second-Order Cone Relaxation, SOCR)方法为解决这一难题提供了高效且可靠的途径。
配电网最优潮流的模型与挑战
配电网最优潮流的数学模型以潮流方程为核心约束,同时包含变量上下限约束、功率平衡约束等。潮流方程描述了节点电压与功率之间的关系,对于交流配电网,其潮流方程具有显著的非线性和非凸性,具体表现为包含电压幅值的平方项、相位角的正弦和余弦项等。这种非凸性导致最优潮流问题可能存在多个局部最优解,传统的数值方法(如牛顿 - 拉夫逊法迭代求解)不仅收敛性难以保证,还可能陷入局部最优,无法得到全局最优解。
此外,配电网的辐射状结构使得潮流分布具有单向性,且随着分布式电源(如光伏、风电)的大量接入,节点功率呈现双向流动特征,进一步增加了潮流方程的复杂性。高 R/X 比则导致电压降落对有功功率变化更为敏感,传统基于交流潮流的最优模型求解难度大幅提升。因此,寻求一种能够处理非凸性、保证求解效率和精度的方法,成为配电网最优潮流计算的关键需求。
二阶锥松弛的原理与优势

二阶锥松弛在配电网最优潮流中的应用步骤
将二阶锥松弛应用于配电网最优潮流计算,通常遵循以下步骤:


应用场景与实际价值
二阶锥松弛在配电网最优潮流中的应用场景广泛,尤其适用于以下情况:
- 含高渗透率分布式电源的配电网:分布式电源的随机出力增加了潮流的波动性,二阶锥松弛的高效性可支持实时或准实时最优潮流计算,实现分布式电源的协调控制;
- 主动配电网规划:在配电网扩容、重构等规划问题中,需对大量场景进行最优潮流仿真,二阶锥松弛能够快速给出各场景下的最优解,为规划决策提供依据;
- 网损最小化与电压调节:通过优化无功补偿设备(如电容器)和分布式电源的无功出力,二阶锥松弛可高效求解以网损最小化和电压偏差最小化为目标的最优潮流问题,提升配电网经济性和电能质量。
实际应用中,二阶锥松弛的精度已得到大量验证。例如,在典型的 IEEE 33 节点、69 节点配电网测试系统中,采用二阶锥松弛求解的最优网损与精确解的偏差通常小于 1%,电压幅值误差小于 0.1 pu,完全满足工程需求。同时,对于节点数超过 1000 的大规模配电网,其求解时间可控制在秒级,远快于传统的非凸优化方法。
挑战与未来方向
尽管二阶锥松弛在配电网最优潮流中表现优异,但仍面临一些挑战:一是在某些极端工况(如强环网结构、极低 R/X 比)下,松弛间隙可能增大,导致解的精度下降;二是如何将其与不确定性优化(如考虑负荷、分布式电源出力的随机性)结合,构建鲁棒二阶锥规划模型。
未来,研究方向主要包括:
- 改进松弛方法,如结合半定松弛、线性松弛等,进一步减小松弛间隙;
- 开发适用于大规模配电网的分布式二阶锥优化算法,提升计算效率;
- 融合人工智能技术,通过数据驱动优化松弛参数,提高模型适应性。
总结
二阶锥松弛为配电网最优潮流计算提供了一种兼具效率与精度的解决方案,其通过将非凸潮流方程转化为凸约束,有效克服了传统方法的求解难题。在主动配电网快速发展的背景下,二阶锥松弛凭借其在大规模、高复杂度场景中的优势,必将在配电网优化运行、规划设计等领域发挥越来越重要的作用,为构建经济、可靠、智能的配电网系统提供有力支撑。
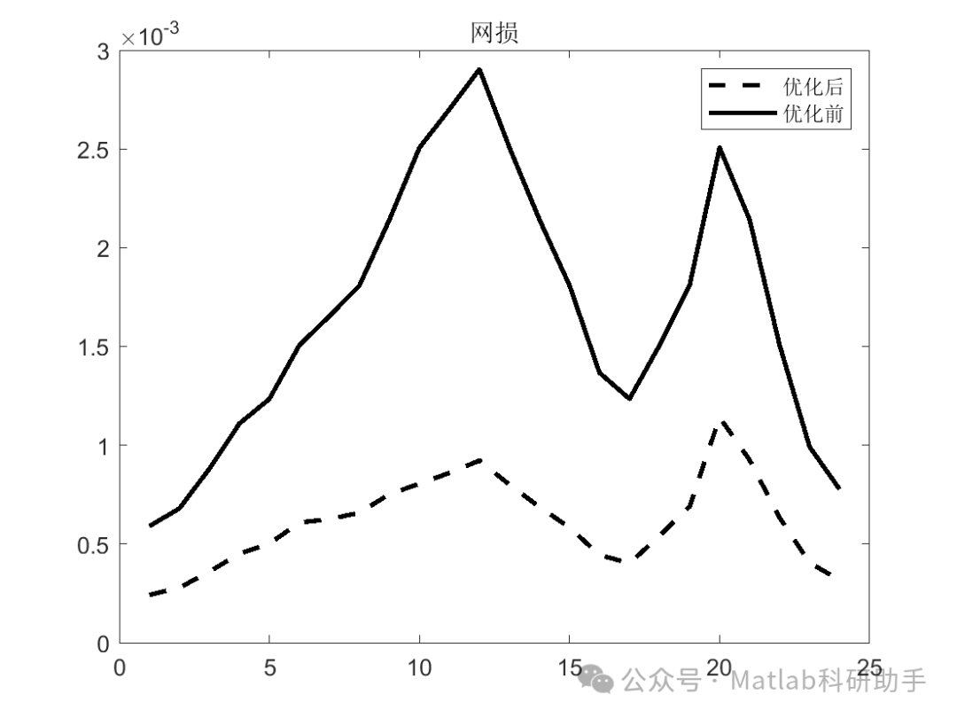
⛳️ 运行结果





🔗 参考文献
[1] 刘斌,刘锋,梅生伟,等.基于二阶锥优化的含有载调压变压器主动配电网最优潮流[J].电力系统自动化, 2015(19):8.DOI:10.7500/AEPS20150104003.
[2] 刘斌,刘锋,梅生伟,等.基于二阶锥优化的含有载调压变压器主动配电网最优潮流[J].电力系统自动化, 2015, 000(019):40-47.
[3] 巨云涛,黄炎,张若思.基于二阶锥规划凸松弛的三相交直流混合主动配电网最优潮流[J].电工技术学报, 2021, 36(9):10.DOI:10.19595/j.cnki.1000-6753.tces.200248.
📣 部分代码
🎈 部分理论引用网络文献,若有侵权联系博主删除
👇 关注我领取海量matlab电子书和数学建模资料
🏆团队擅长辅导定制多种科研领域MATLAB仿真,助力科研梦:
🌈 各类智能优化算法改进及应用
生产调度、经济调度、装配线调度、充电优化、车间调度、发车优化、水库调度、三维装箱、物流选址、货位优化、公交排班优化、充电桩布局优化、车间布局优化、集装箱船配载优化、水泵组合优化、解医疗资源分配优化、设施布局优化、可视域基站和无人机选址优化、背包问题、 风电场布局、时隙分配优化、 最佳分布式发电单元分配、多阶段管道维修、 工厂-中心-需求点三级选址问题、 应急生活物质配送中心选址、 基站选址、 道路灯柱布置、 枢纽节点部署、 输电线路台风监测装置、 集装箱调度、 机组优化、 投资优化组合、云服务器组合优化、 天线线性阵列分布优化、CVRP问题、VRPPD问题、多中心VRP问题、多层网络的VRP问题、多中心多车型的VRP问题、 动态VRP问题、双层车辆路径规划(2E-VRP)、充电车辆路径规划(EVRP)、油电混合车辆路径规划、混合流水车间问题、 订单拆分调度问题、 公交车的调度排班优化问题、航班摆渡车辆调度问题、选址路径规划问题、港口调度、港口岸桥调度、停机位分配、机场航班调度、泄漏源定位
🌈 机器学习和深度学习时序、回归、分类、聚类和降维
2.1 bp时序、回归预测和分类
2.2 ENS声神经网络时序、回归预测和分类
2.3 SVM/CNN-SVM/LSSVM/RVM支持向量机系列时序、回归预测和分类
2.4 CNN|TCN|GCN卷积神经网络系列时序、回归预测和分类
2.5 ELM/KELM/RELM/DELM极限学习机系列时序、回归预测和分类
2.6 GRU/Bi-GRU/CNN-GRU/CNN-BiGRU门控神经网络时序、回归预测和分类
2.7 ELMAN递归神经网络时序、回归\预测和分类
2.8 LSTM/BiLSTM/CNN-LSTM/CNN-BiLSTM/长短记忆神经网络系列时序、回归预测和分类
2.9 RBF径向基神经网络时序、回归预测和分类
2.10 DBN深度置信网络时序、回归预测和分类
2.11 FNN模糊神经网络时序、回归预测
2.12 RF随机森林时序、回归预测和分类
2.13 BLS宽度学习时序、回归预测和分类
2.14 PNN脉冲神经网络分类
2.15 模糊小波神经网络预测和分类
2.16 时序、回归预测和分类
2.17 时序、回归预测预测和分类
2.18 XGBOOST集成学习时序、回归预测预测和分类
2.19 Transform各类组合时序、回归预测预测和分类
方向涵盖风电预测、光伏预测、电池寿命预测、辐射源识别、交通流预测、负荷预测、股价预测、PM2.5浓度预测、电池健康状态预测、用电量预测、水体光学参数反演、NLOS信号识别、地铁停车精准预测、变压器故障诊断
🌈图像处理方面
图像识别、图像分割、图像检测、图像隐藏、图像配准、图像拼接、图像融合、图像增强、图像压缩感知
🌈 路径规划方面
旅行商问题(TSP)、车辆路径问题(VRP、MVRP、CVRP、VRPTW等)、无人机三维路径规划、无人机协同、无人机编队、机器人路径规划、栅格地图路径规划、多式联运运输问题、 充电车辆路径规划(EVRP)、 双层车辆路径规划(2E-VRP)、 油电混合车辆路径规划、 船舶航迹规划、 全路径规划规划、 仓储巡逻
🌈 无人机应用方面
无人机路径规划、无人机控制、无人机编队、无人机协同、无人机任务分配、无人机安全通信轨迹在线优化、车辆协同无人机路径规划
🌈 通信方面
传感器部署优化、通信协议优化、路由优化、目标定位优化、Dv-Hop定位优化、Leach协议优化、WSN覆盖优化、组播优化、RSSI定位优化、水声通信、通信上传下载分配
🌈 信号处理方面
信号识别、信号加密、信号去噪、信号增强、雷达信号处理、信号水印嵌入提取、肌电信号、脑电信号、信号配时优化、心电信号、DOA估计、编码译码、变分模态分解、管道泄漏、滤波器、数字信号处理+传输+分析+去噪、数字信号调制、误码率、信号估计、DTMF、信号检测
🌈电力系统方面
微电网优化、无功优化、配电网重构、储能配置、有序充电、MPPT优化、家庭用电
🌈 元胞自动机方面
交通流 人群疏散 病毒扩散 晶体生长 金属腐蚀
🌈 雷达方面
卡尔曼滤波跟踪、航迹关联、航迹融合、SOC估计、阵列优化、NLOS识别
🌈 车间调度
零等待流水车间调度问题NWFSP 、 置换流水车间调度问题PFSP、 混合流水车间调度问题HFSP 、零空闲流水车间调度问题NIFSP、分布式置换流水车间调度问题 DPFSP、阻塞流水车间调度问题BFSP
👇

2433

被折叠的 条评论
为什么被折叠?



