✅作者简介:热爱科研的Matlab仿真开发者,擅长数据处理、建模仿真、程序设计、完整代码获取、论文复现及科研仿真。
🍎 往期回顾关注个人主页:Matlab科研工作室
🍊个人信条:格物致知,完整Matlab代码及仿真咨询内容私信。
🔥 内容介绍
在信号处理领域,复指数信号作为一种基本的信号形式,广泛存在于通信、雷达、声呐、地震勘探等众多实际应用场景中。而间歇复指数信号则是指在时间轴上非连续出现的复指数信号,其频率参数的准确估计对于信号检测、参数识别、系统分析等具有至关重要的意义。
然而,实际环境中的信号往往会受到噪声的干扰,其中高斯噪声是一种常见的噪声类型。当高斯噪声呈现出相关混合特性时,即噪声之间存在相关性且可能由多种不同统计特性的高斯噪声成分混合而成,会给间歇复指数信号的频率估计带来极大的挑战。传统的频率估计算法在面对这种复杂噪声环境时,往往难以取得理想的估计精度,甚至会出现严重的偏差。
因此,研究基于高斯噪声相关混合的间歇复指数信号频率估计方法,提高在复杂噪声环境下频率估计的准确性和稳健性,对于提升相关领域的信号处理性能具有重要的理论价值和实际应用意义。
二、相关信号与噪声模型

三、频率估计方法设计
(一)信号间歇段检测
由于间歇复指数信号在时间上具有非连续性,首先需要准确检测出信号的存在时间段,以便在有效数据段上进行频率估计。可以采用基于阈值的能量检测方法,计算观测信号在滑动窗口内的能量,当能量超过设定的阈值时,判定该窗口内存在信号,从而确定信号的间歇段。为了提高检测的准确性,可结合自适应阈值调整策略,根据噪声的统计特性动态调整阈值。

(四)改进的加权估计策略
为了进一步提高频率估计的精度,考虑到不同信号间歇段的信噪比可能存在差异,采用加权估计策略。对于每个检测到的信号间歇段,分别进行频率估计,然后根据各段的信噪比或估计方差为其赋予不同的权重,将各段的估计结果进行加权平均,得到最终的频率估计值。权重的确定可以基于最大似然准则或最小方差准则,使加权后的估计结果具有更高的精度。
四、结论与展望
(一)研究结论
本研究针对高斯噪声相关混合环境中间歇复指数信号的频率估计问题,提出了一种改进的频率估计算法。该算法首先通过信号间歇段检测确定信号的有效存在时间段,然后对混合高斯噪声进行协方差矩阵估计和白化处理,消除噪声的相关性,再利用 MUSIC 算法进行频率估计,并结合加权策略提高估计精度。实验结果表明,该算法相比传统的 MUSIC 算法,在低信噪比、高噪声相关性以及信号间歇特性复杂的情况下,均能获得更高的频率估计精度和更好的稳健性,同时计算复杂度在可接受范围内。
(二)未来展望
尽管本文提出的算法取得了较好的频率估计效果,但仍存在一些可以进一步改进和拓展的方向。一是可以研究更高效的信号间歇段检测方法,提高在低信噪比下间歇段检测的准确性;二是探索自适应的噪声协方差矩阵估计方法,使其能够更好地适应噪声统计特性随时间变化的情况;三是将深度学习等新兴技术与传统的频率估计算法相结合,利用神经网络强大的特征学习和拟合能力,进一步提高复杂噪声环境下间歇复指数信号频率估计的性能,拓展其在更广泛实际场景中的应用。
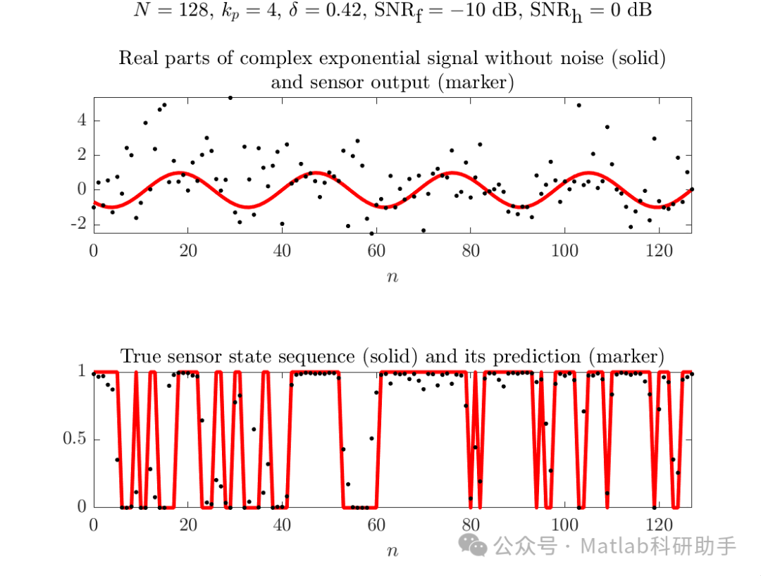
⛳️ 运行结果


🔗 参考文献
[1] 洪飞,吴志美.基于小波的Hurst指数自适应估计方法[J].软件学报, 2005, 16(9):5.DOI:CNKI:SUN:RJXB.0.2005-09-018.
[2] 谷中历,张霞,徐梓桓,等.一种基于sEMG信号多重分形的肌肉疲劳特征分析方法[J].河北科技大学学报, 2023, 44(2):103-111.DOI:10.7535/hbkd.2023yx02001.
[3] 蒯小燕.水声网络中DSSS/OFDM通信技术研究[D].厦门大学,2017.
📣 部分代码
🎈 部分理论引用网络文献,若有侵权联系博主删除
👇 关注我领取海量matlab电子书和数学建模资料
🏆团队擅长辅导定制多种科研领域MATLAB仿真,助力科研梦:
🌈 各类智能优化算法改进及应用
生产调度、经济调度、装配线调度、充电优化、车间调度、发车优化、水库调度、三维装箱、物流选址、货位优化、公交排班优化、充电桩布局优化、车间布局优化、集装箱船配载优化、水泵组合优化、解医疗资源分配优化、设施布局优化、可视域基站和无人机选址优化、背包问题、 风电场布局、时隙分配优化、 最佳分布式发电单元分配、多阶段管道维修、 工厂-中心-需求点三级选址问题、 应急生活物质配送中心选址、 基站选址、 道路灯柱布置、 枢纽节点部署、 输电线路台风监测装置、 集装箱调度、 机组优化、 投资优化组合、云服务器组合优化、 天线线性阵列分布优化、CVRP问题、VRPPD问题、多中心VRP问题、多层网络的VRP问题、多中心多车型的VRP问题、 动态VRP问题、双层车辆路径规划(2E-VRP)、充电车辆路径规划(EVRP)、油电混合车辆路径规划、混合流水车间问题、 订单拆分调度问题、 公交车的调度排班优化问题、航班摆渡车辆调度问题、选址路径规划问题、港口调度、港口岸桥调度、停机位分配、机场航班调度、泄漏源定位
🌈 机器学习和深度学习时序、回归、分类、聚类和降维
2.1 bp时序、回归预测和分类
2.2 ENS声神经网络时序、回归预测和分类
2.3 SVM/CNN-SVM/LSSVM/RVM支持向量机系列时序、回归预测和分类
2.4 CNN|TCN|GCN卷积神经网络系列时序、回归预测和分类
2.5 ELM/KELM/RELM/DELM极限学习机系列时序、回归预测和分类
2.6 GRU/Bi-GRU/CNN-GRU/CNN-BiGRU门控神经网络时序、回归预测和分类
2.7 ELMAN递归神经网络时序、回归\预测和分类
2.8 LSTM/BiLSTM/CNN-LSTM/CNN-BiLSTM/长短记忆神经网络系列时序、回归预测和分类
2.9 RBF径向基神经网络时序、回归预测和分类
2.10 DBN深度置信网络时序、回归预测和分类
2.11 FNN模糊神经网络时序、回归预测
2.12 RF随机森林时序、回归预测和分类
2.13 BLS宽度学习时序、回归预测和分类
2.14 PNN脉冲神经网络分类
2.15 模糊小波神经网络预测和分类
2.16 时序、回归预测和分类
2.17 时序、回归预测预测和分类
2.18 XGBOOST集成学习时序、回归预测预测和分类
2.19 Transform各类组合时序、回归预测预测和分类
方向涵盖风电预测、光伏预测、电池寿命预测、辐射源识别、交通流预测、负荷预测、股价预测、PM2.5浓度预测、电池健康状态预测、用电量预测、水体光学参数反演、NLOS信号识别、地铁停车精准预测、变压器故障诊断
🌈图像处理方面
图像识别、图像分割、图像检测、图像隐藏、图像配准、图像拼接、图像融合、图像增强、图像压缩感知
🌈 路径规划方面
旅行商问题(TSP)、车辆路径问题(VRP、MVRP、CVRP、VRPTW等)、无人机三维路径规划、无人机协同、无人机编队、机器人路径规划、栅格地图路径规划、多式联运运输问题、 充电车辆路径规划(EVRP)、 双层车辆路径规划(2E-VRP)、 油电混合车辆路径规划、 船舶航迹规划、 全路径规划规划、 仓储巡逻
🌈 无人机应用方面
无人机路径规划、无人机控制、无人机编队、无人机协同、无人机任务分配、无人机安全通信轨迹在线优化、车辆协同无人机路径规划
🌈 通信方面
传感器部署优化、通信协议优化、路由优化、目标定位优化、Dv-Hop定位优化、Leach协议优化、WSN覆盖优化、组播优化、RSSI定位优化、水声通信、通信上传下载分配
🌈 信号处理方面
信号识别、信号加密、信号去噪、信号增强、雷达信号处理、信号水印嵌入提取、肌电信号、脑电信号、信号配时优化、心电信号、DOA估计、编码译码、变分模态分解、管道泄漏、滤波器、数字信号处理+传输+分析+去噪、数字信号调制、误码率、信号估计、DTMF、信号检测
🌈电力系统方面
微电网优化、无功优化、配电网重构、储能配置、有序充电、MPPT优化、家庭用电
🌈 元胞自动机方面
交通流 人群疏散 病毒扩散 晶体生长 金属腐蚀
🌈 雷达方面
卡尔曼滤波跟踪、航迹关联、航迹融合、SOC估计、阵列优化、NLOS识别
🌈 车间调度
零等待流水车间调度问题NWFSP 、 置换流水车间调度问题PFSP、 混合流水车间调度问题HFSP 、零空闲流水车间调度问题NIFSP、分布式置换流水车间调度问题 DPFSP、阻塞流水车间调度问题BFSP
👇
3839

被折叠的 条评论
为什么被折叠?



