✅作者简介:热爱科研的Matlab仿真开发者,擅长数据处理、建模仿真、程序设计、完整代码获取、论文复现及科研仿真。
🍎 往期回顾关注个人主页:Matlab科研工作室
🍊个人信条:格物致知,完整Matlab代码及仿真咨询内容私信。
🔥 内容介绍
可再生能源,如太阳能和风能,在全球能源结构转型中扮演着日益重要的角色。然而,这些能源的间歇性和不确定性给电网的稳定运行带来了严峻挑战。为了应对这些挑战,需要建立可靠的可再生能源发电场景,以用于电力系统规划、调度和风险评估。传统的场景生成方法往往依赖于概率模型,这些模型在刻画可再生能源复杂的时空相关性方面存在局限性。近年来,深度学习技术的快速发展,特别是生成对抗网络(GAN)的出现,为数据驱动的可再生能源场景生成提供了新的思路。本文旨在探讨一种基于GAN的数据驱动场景生成方法,并将其与基于概率模型的现有方法进行比较,以突出其优势和潜在应用价值。
1. 可再生能源场景生成的重要性与挑战
可再生能源发电场景的准确生成对于电力系统的各个环节都至关重要。在规划阶段,合理的场景可以帮助电力公司评估不同可再生能源接入方案的经济性和可靠性,优化电网基础设施的投资决策。在调度阶段,准确的场景可以用于预测未来一段时间内的发电量,从而优化发电机组的组合和负荷分配,降低运行成本,提高系统效率。在风险评估阶段,极端可再生能源发电场景的模拟可以帮助电力公司识别潜在的风险点,制定应急预案,提高系统应对极端事件的能力。
然而,可再生能源发电的波动性和间歇性使得场景生成面临诸多挑战。首先,可再生能源发电量受多种因素影响,如天气状况、地理位置和设备性能等,这些因素之间存在复杂的非线性关系。其次,可再生能源发电具有明显的时空相关性,不同地区的发电量之间存在相互影响,同一地区的发电量在不同时间段也存在关联。传统的概率模型往往难以精确地刻画这些复杂的相关性。此外,可再生能源发电数据往往存在缺失和噪声,对模型的训练和性能产生不利影响。
2. 基于概率模型的可再生能源场景生成方法
目前,基于概率模型的场景生成方法是可再生能源领域应用最为广泛的方法。这类方法通常基于历史数据构建可再生能源发电的概率分布模型,然后通过随机抽样生成模拟的发电场景。常见的概率模型包括:
- 自回归模型 (Autoregressive Model, AR):
AR模型假设当前时刻的发电量与过去若干时刻的发电量相关,通过学习历史数据的自相关系数来预测未来的发电量。AR模型简单易懂,计算效率高,但难以捕捉非线性关系和长期依赖性。
- 马尔可夫模型 (Markov Model):
马尔可夫模型将发电量离散化为若干状态,假设当前状态仅依赖于前一个状态,通过学习状态转移概率来生成发电序列。马尔可夫模型可以捕捉一定的时序相关性,但状态离散化会损失信息,且难以处理连续变量。
- Copula函数:
Copula函数可以将多个变量的边缘分布和联合分布分开建模,从而灵活地处理多变量的相关性。Copula函数可以用于建模不同地区可再生能源发电量的空间相关性,但需要事先假设边缘分布的类型,且计算复杂度较高。
- 蒙特卡洛模拟 (Monte Carlo Simulation):
蒙特卡洛模拟通过大量随机抽样来逼近复杂的概率分布,可以用于生成各种类型的可再生能源发电场景。蒙特卡洛模拟的精度取决于抽样次数,计算量大,且难以保证场景的多样性。
虽然上述概率模型在一定程度上可以用于可再生能源场景生成,但它们在刻画复杂相关性、处理非线性关系以及生成多样化场景方面存在局限性。
3. 基于生成对抗网络(GAN)的数据驱动场景生成方法
生成对抗网络(GAN)是一种深度学习模型,由生成器(Generator)和判别器(Discriminator)两个神经网络组成。生成器的目标是生成逼真的模拟数据,判别器的目标是区分真实数据和生成数据。通过对抗训练,生成器不断提高生成数据的质量,判别器不断提高辨别真伪数据的能力,最终达到纳什均衡,生成器可以生成与真实数据高度相似的数据。
在可再生能源场景生成中,GAN可以充分利用历史数据,学习可再生能源发电的时空相关性,生成高质量的模拟场景。具体而言,生成器可以接收随机噪声作为输入,输出模拟的发电场景,判别器接收真实发电场景和生成器生成的场景作为输入,判断其真伪。通过不断迭代训练,生成器可以学习到真实发电数据的内在规律,生成与真实数据高度相似的场景。
与传统的概率模型相比,基于GAN的场景生成方法具有以下优势:
- 无需假设概率分布:
GAN通过数据驱动的方式学习真实数据的分布,无需事先假设概率分布的类型,可以更好地适应复杂的数据特征。
- 能够捕捉非线性关系:
深度神经网络具有强大的非线性拟合能力,可以捕捉可再生能源发电量与多种因素之间的复杂非线性关系。
- 能够生成多样化场景:
GAN可以生成与真实数据高度相似但又有所差异的场景,从而保证场景的多样性,满足不同应用的需求。
- 适用于高维数据:
GAN可以处理高维数据,适用于生成多个地区、多个时间段的可再生能源发电场景。
4. 基于互连深度神经网络的GAN模型
为了进一步提高GAN在可再生能源场景生成中的性能,可以采用基于互连深度神经网络的GAN模型。这种模型通过引入额外的神经网络来辅助生成器和判别器的训练,从而提高模型的稳定性和收敛速度。例如,可以使用循环神经网络(RNN)来处理可再生能源发电的时序数据,捕捉发电量的时间相关性。可以使用卷积神经网络(CNN)来处理可再生能源发电的空间数据,捕捉发电量的空间相关性。通过将RNN和CNN与GAN结合,可以构建更强大的场景生成模型。
具体来说,一种可能的互连深度神经网络结构可以如下设计:
- 生成器:
包含一个编码器和一个解码器。编码器将随机噪声映射到一个低维潜在空间,解码器将潜在空间向量映射到一个高维的可再生能源发电场景。可以使用RNN来处理时序数据,使用CNN来处理空间数据。
- 判别器:
包含多个卷积层和全连接层,用于提取可再生能源发电场景的特征,并判断其真伪。
- 辅助网络:
可以是一个分类器,用于判断生成的场景是否属于特定的类别,例如极端天气下的发电场景。辅助网络的输出可以作为生成器和判别器的额外输入,从而提高模型的性能。
本文探讨了一种基于GAN的数据驱动可再生能源场景生成方法,并将其与基于概率模型的现有方法进行了比较。研究表明,基于GAN的方法具有无需假设概率分布、能够捕捉非线性关系、能够生成多样化场景以及适用于高维数据等优势,可以有效地生成高质量的可再生能源发电场景。
未来,可以进一步研究以下几个方面:
- 提高GAN的稳定性和收敛速度:
GAN的训练过程往往不稳定,容易出现模式崩溃等问题。可以采用更先进的GAN训练技巧,例如Wasserstein GAN、Spectral Normalization等,来提高模型的稳定性和收敛速度。
- 研究更有效的网络结构:
可以尝试不同的网络结构,例如Transformer、Attention Mechanism等,来提高GAN的学习能力和生成能力。
- 结合物理模型:
可以将GAN与物理模型相结合,利用物理模型来约束GAN的生成结果,提高场景的物理可行性。
- 应用于实际电力系统:
可以将基于GAN生成的场景应用于实际电力系统规划、调度和风险评估,验证其应用价值。
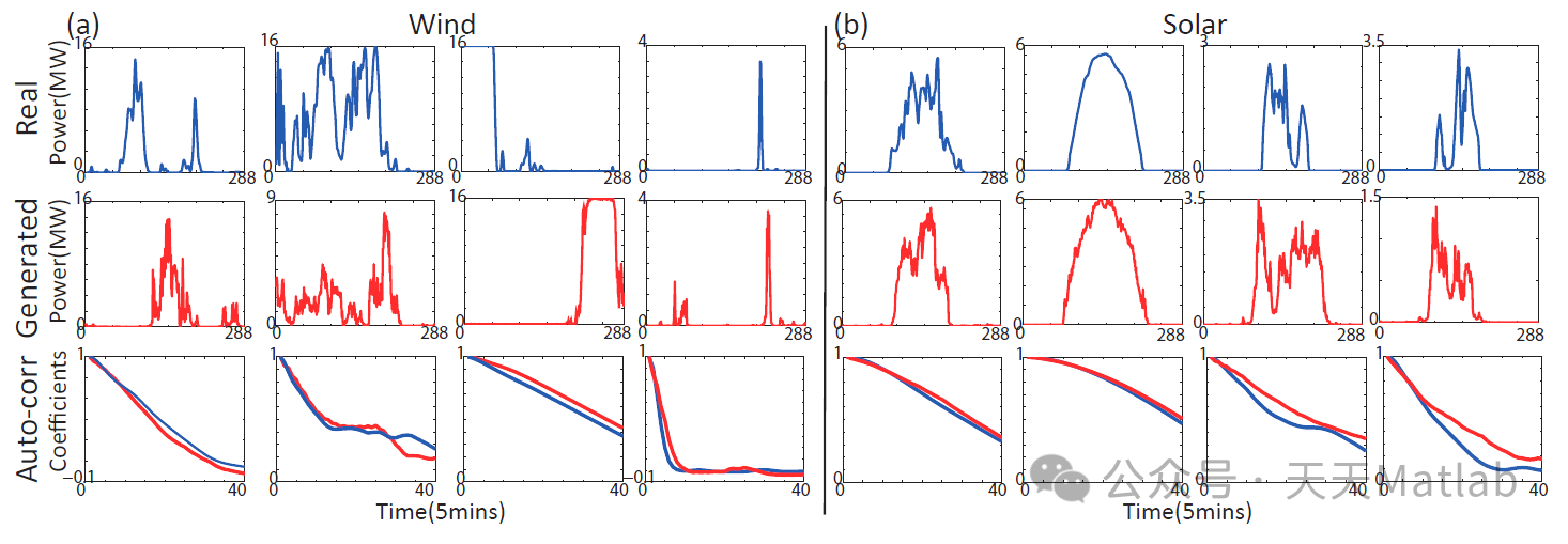
⛳️ 运行结果

正在上传…重新上传取消


🔗 参考文献
📣 部分代码
🎈 部分理论引用网络文献,若有侵权联系博主删除
👇 关注我领取海量matlab电子书和数学建模资料
🏆团队擅长辅导定制多种科研领域MATLAB仿真,助力科研梦:
🌈 各类智能优化算法改进及应用
生产调度、经济调度、装配线调度、充电优化、车间调度、发车优化、水库调度、三维装箱、物流选址、货位优化、公交排班优化、充电桩布局优化、车间布局优化、集装箱船配载优化、水泵组合优化、解医疗资源分配优化、设施布局优化、可视域基站和无人机选址优化、背包问题、 风电场布局、时隙分配优化、 最佳分布式发电单元分配、多阶段管道维修、 工厂-中心-需求点三级选址问题、 应急生活物质配送中心选址、 基站选址、 道路灯柱布置、 枢纽节点部署、 输电线路台风监测装置、 集装箱调度、 机组优化、 投资优化组合、云服务器组合优化、 天线线性阵列分布优化、CVRP问题、VRPPD问题、多中心VRP问题、多层网络的VRP问题、多中心多车型的VRP问题、 动态VRP问题、双层车辆路径规划(2E-VRP)、充电车辆路径规划(EVRP)、油电混合车辆路径规划、混合流水车间问题、 订单拆分调度问题、 公交车的调度排班优化问题、航班摆渡车辆调度问题、选址路径规划问题、港口调度、港口岸桥调度、停机位分配、机场航班调度、泄漏源定位
🌈 机器学习和深度学习时序、回归、分类、聚类和降维
2.1 bp时序、回归预测和分类
2.2 ENS声神经网络时序、回归预测和分类
2.3 SVM/CNN-SVM/LSSVM/RVM支持向量机系列时序、回归预测和分类
2.4 CNN|TCN|GCN卷积神经网络系列时序、回归预测和分类
2.5 ELM/KELM/RELM/DELM极限学习机系列时序、回归预测和分类
2.6 GRU/Bi-GRU/CNN-GRU/CNN-BiGRU门控神经网络时序、回归预测和分类
2.7 ELMAN递归神经网络时序、回归\预测和分类
2.8 LSTM/BiLSTM/CNN-LSTM/CNN-BiLSTM/长短记忆神经网络系列时序、回归预测和分类
2.9 RBF径向基神经网络时序、回归预测和分类
2.10 DBN深度置信网络时序、回归预测和分类
2.11 FNN模糊神经网络时序、回归预测
2.12 RF随机森林时序、回归预测和分类
2.13 BLS宽度学习时序、回归预测和分类
2.14 PNN脉冲神经网络分类
2.15 模糊小波神经网络预测和分类
2.16 时序、回归预测和分类
2.17 时序、回归预测预测和分类
2.18 XGBOOST集成学习时序、回归预测预测和分类
2.19 Transform各类组合时序、回归预测预测和分类
方向涵盖风电预测、光伏预测、电池寿命预测、辐射源识别、交通流预测、负荷预测、股价预测、PM2.5浓度预测、电池健康状态预测、用电量预测、水体光学参数反演、NLOS信号识别、地铁停车精准预测、变压器故障诊断
🌈图像处理方面
图像识别、图像分割、图像检测、图像隐藏、图像配准、图像拼接、图像融合、图像增强、图像压缩感知
🌈 路径规划方面
旅行商问题(TSP)、车辆路径问题(VRP、MVRP、CVRP、VRPTW等)、无人机三维路径规划、无人机协同、无人机编队、机器人路径规划、栅格地图路径规划、多式联运运输问题、 充电车辆路径规划(EVRP)、 双层车辆路径规划(2E-VRP)、 油电混合车辆路径规划、 船舶航迹规划、 全路径规划规划、 仓储巡逻
🌈 无人机应用方面
无人机路径规划、无人机控制、无人机编队、无人机协同、无人机任务分配、无人机安全通信轨迹在线优化、车辆协同无人机路径规划
🌈 通信方面
传感器部署优化、通信协议优化、路由优化、目标定位优化、Dv-Hop定位优化、Leach协议优化、WSN覆盖优化、组播优化、RSSI定位优化、水声通信、通信上传下载分配
🌈 信号处理方面
信号识别、信号加密、信号去噪、信号增强、雷达信号处理、信号水印嵌入提取、肌电信号、脑电信号、信号配时优化、心电信号、DOA估计、编码译码、变分模态分解、管道泄漏、滤波器、数字信号处理+传输+分析+去噪、数字信号调制、误码率、信号估计、DTMF、信号检测
🌈电力系统方面
微电网优化、无功优化、配电网重构、储能配置、有序充电、MPPT优化、家庭用电
🌈 元胞自动机方面
交通流 人群疏散 病毒扩散 晶体生长 金属腐蚀
🌈 雷达方面
卡尔曼滤波跟踪、航迹关联、航迹融合、SOC估计、阵列优化、NLOS识别
🌈 车间调度
零等待流水车间调度问题NWFSP 、 置换流水车间调度问题PFSP、 混合流水车间调度问题HFSP 、零空闲流水车间调度问题NIFSP、分布式置换流水车间调度问题 DPFSP、阻塞流水车间调度问题BFSP
👇
734

被折叠的 条评论
为什么被折叠?



